- Tất cả
-
Tài liệu hay -
Toán Học -
Soạn Văn - Soạn đầy đủ
- Tiếng Việt 2 tập 2 KNTT
- Tiếng Việt 2 CTST
- Tiếng Việt 2 sách Cánh Diều
- Tiếng Việt 3 tập 2
- Tiếng Việt 3 tập 1
- Tiếng Việt 4 tập 2
- Tiếng Việt 4 tập 1
- Tiếng Việt 5 tập 2
- Tiếng Việt 5 tập 1
- Soạn văn 6
- Soạn văn 7
- Soạn văn 8 tập 1
- Soạn văn 8 tập 2
- Soạn văn 9 tâp 1
- Soạn văn 9 tập 2
- Soạn văn 10 tập 1
- Soạn văn 10 tập 2
- Soạn văn 11
- Soạn văn 12
- Soạn ngắn gọn
- Soạn văn 12 ngắn gọn tập 1
- Soạn văn 12 ngắn gọn tập 2
- Soạn văn 11 ngắn gọn tập 1
- Soạn văn 11 ngắn gọn tập 2
- Soạn văn 10 ngắn gọn tập 1
- Soạn văn 10 ngắn gọn tập 2
- Soạn văn 9 ngắn gọn tập 1
- Soạn văn 9 ngắn gọn tập 2
- Soạn văn 8 ngắn gọn tập 1
- Soạn văn 8 ngắn gọn tập 2
- Soạn văn 7 ngắn gọn tập 1
- Soạn văn 7 ngắn gọn tập 2
- Ngữ văn VNEN
- Đề thi THPT QG môn Ngữ Văn
- Soạn đầy đủ
-
Tiếng Anh -
Vật Lý -
Hóa Học -
Sinh Học -
Lịch Sử -
Địa Lý -
GDCD -
Khoa Học Tự Nhiên -
Khoa Học Xã Hội
-
Đáp án đề 5 kiểm tra học kì 2 hóa 8
Bài làm:
I. Trắc nghiệm
Câu 1: chọn B

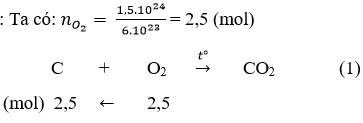
Từ (1) →
= 2,5 (mol) → $m_{C}$ = a = 2,5 x 12 = 30 (gam)
Câu 2: chọn A

Sau phản ứng (1) thì HCl dư
Từ (1) →
= 0,05 (mol) → $V_{H_{2}}$= 0,05 x 22,4 = 1,12 (lít)
Câu 3: chọn B
Câu 4: chọn C
II. Tự luận
Câu 1:
![]()
![]()
![]()
↑
Câu 2:

Cập nhật: 08/09/2021
Xem thêm bài viết khác
- Hóa học 8: Đề kiểm tra học kỳ 2 (Đề 4)
- Đáp án đề 5 kiểm tra học kì 2 hóa 8
- Hóa học 8: Đề kiểm tra học kỳ 2 (Đề 10)
- Hóa học 8: Đề kiểm tra học kỳ 2 (Đề 7)
- Đáp án trắc nghiệm đề 3 kiểm tra học kì 2 hóa 8
- Đáp án trắc nghiệm đề 2 kiểm tra học kì 2 hóa 8
- Đáp án đề 6 kiểm tra học kì 2 hóa 8
- Đáp án câu 3 đề 1 kiểm tra học kì 2 hóa 8
- Đáp án đề 9 kiểm tra học kì 2 hóa 8
- Đáp án câu 2 đề 4 kiểm tra học kì 2 hóa 8
- Đáp án câu 2 đề 2 kiểm tra học kì 2 hóa 8
- Hóa học 8: Đề kiểm tra học kỳ 2 (Đề 9)