Đề thi thử THPT Quốc gia 2022 môn Toán Nguyễn Đình Chiểu - Tiền Giang Đề thi thử THPT Quốc gia 2022
Đề thi thử THPT Quốc gia 2022 môn Toán Nguyễn Đình Chiểu - Tiền Giang được Khoahoc sưu tầm và đăng tải. Đề thi gồm 50 câu hỏi trắc nghiệm, với thời gian 90 phút sẽ là tài liệu hay để các em tham khảo, trau dồi kỹ năng giải đề thi. Dưới đây là nội dung chi tiết, các em tham khảo nhé.
Đề thi thử THPT Quốc gia 2022 môn Toán
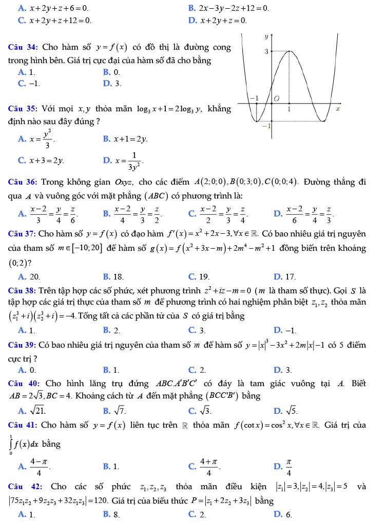
1. Đề thi thử THPT Quốc gia 2022 môn Toán Nguyễn Đình Chiểu - Tiền Giang





2. Tham khảo Đề thi thử THPT Quốc Gia 2022 môn Toán
- Đề thi thử THPT Quốc gia 2022 môn Toán Sở GD&ĐT Ninh Bình (lần 2)
- Đề thi thử THPT Quốc gia 2022 môn Toán Hồ Nghinh - Quảng Nam (lần 2)
- Đề thi thử THPT Quốc gia 2022 môn Toán Đề số 1
- Đề thi thử THPT Quốc gia 2022 môn Toán Đề số 2
- Đề thi thử THPT Quốc gia 2022 môn Toán Đề số 3
- Đề thi thử THPT Quốc gia 2022 môn Toán Đề số 4
- Đề thi thử THPT Quốc gia 2022 môn Toán Đề số 5
- Đề thi thử THPT Quốc gia 2022 môn Toán Đề số 6
- Đề thi thử THPT Quốc gia 2022 môn Toán Đề số 7
- Đề thi thử THPT Quốc gia 2022 môn Toán Đề số 8
- Đề thi thử THPT Quốc gia 2022 môn Toán Đề số 9
- Đề thi thử THPT Quốc gia 2022 môn Toán Đề số 10
- Đề thi thử THPT Quốc gia 2022 môn Toán Đề số 11
- Đề thi thử THPT Quốc gia 2022 môn Toán Đề số 12
- Đề thi thử THPT Quốc gia 2022 môn Toán Đề số 13
- Đề thi thử THPT Quốc gia 2022 môn Toán Đề số 14
- Đề thi thử THPT Quốc gia 2022 môn Toán Đề số 15
- Đề thi thử THPT Quốc gia 2022 môn Toán Đề số 16
- Đề thi thử THPT Quốc gia 2022 môn Toán Đề số 17
- Đề thi thử THPT Quốc gia 2022 môn Toán Đề số 18
- Đề thi thử THPT Quốc gia 2022 môn Toán Đề số 20
- Đề thi thử THPT Quốc gia 2022 môn Toán Chuyên Võ Nguyên Giáp
Đề thi thử THPT Quốc gia 2022 môn Toán Nguyễn Đình Chiểu - Tiền Giang được Khoahoc chia sẻ trên đây. Hy vọng với tài liệu này sẽ là tài liệu hữu ích cho các em ôn tập, rèn luyện thêm tại nhà đồng thời chuẩn bị tốt cho kì thi THPT sắp tới. Chúc các em ôn thi tốt, ngoài ra các em có thể tham khảo thêm các tài liệu khác tại tài liệu học tập lớp 12 này nhé
Xem thêm bài viết khác
- Đề thi học kì 2 Toán 12 Sở GD&ĐT Hậu Giang năm 2021 - 2022 Đề thi học kì 2 Toán 12 - có đáp án
- Đề thi học kì 2 Toán 12 Sở GD&ĐT Tỉnh Lâm Đồng năm 2021 - 2022 Đề thi học kì 2 Toán 12
- Đề thi học kì 2 Toán 12 Sở GD&ĐT Tỉnh Đồng Nai năm 2021 - 2022 Đề thi học kì 2 Toán 12 - có đáp án
- Đề thi học kì 2 Toán 12 Sở GD&ĐT Tỉnh Bình Dương năm 2021 - 2022 Đề thi học kì 2 Toán 12 - có đáp án
- Đề thi đánh giá năng lực năm 2022 của Bộ công An Đề thi đánh giá năng lực năm 2022
- Tả cảnh thiên nhiên trong 8 câu thơ đầu của bài thơ Tây Tiến Bài thơi Tây Tiến
- Phân tích đoạn cuối bài thơ Tây Tiến Phân tích Tây Tiến - Văn 12
Chủ đề liên quan