Giải VBT toán 4 tập 2 bài: Luyện tập Trang 21
Giải toán lớp 4 tập 2 , giải bài Luyện tập Trang 21 vbt toán 4 tập 2, để học tốt toán 4 tập 2. Bài viết này giúp các em nắm vững được lý thuyết cũng như cách giải các bài tập của bài Luyện tập. Lời giải được biên soạn đầy đủ, chi tiết và rõ ràng
Bài tập 1: Trang 21 vbt toán 4 tập 2
Rút gọn các phân số:
![]()
![]()
![]()
![]()
![]()
![]()
Bài tập 2: Trang 21 vbt toán 4 tập 2
Khoanh vào những phân số bằng
:
![]()
Hướng dẫn giải:

Bài tập 3: Trang 21 vbt toán 4 tập 2
Những phân số bằng
:
![]()
Hướng dẫn giải:
![]()
![]()
![]()
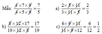
Bài tập 4: Trang 21 vbt toán 4 tập 2
Tính theo mẫu:
Mẫu:

a) ![]()
b) ![]()
c) ![]()
Hướng dẫn giải:

Bài tập 5: Trang 21 vbt toán 4 tập 2
Đúng ghi Đ, sai ghi S:
Hướng dẫn giải:

Xem thêm bài viết khác
- Giải VBT toán 4 tập 2 bài: Phân số và phép chia số tự nhiên Trang 16
- Giải VBT toán 4 tập 2 bài : Ôn tập về phân số Trang 92,93
- Giải VBT toán 4 tập 2 bài: Luyện tập Trang 44
- Giải VBT toán 4 tập 2 bài : Ôn tập về số tự nhiên Trang 83,84
- Giải VBT toán 4 tập 2 bài : Ôn tập các phép tính với số tự nhiên Trang 87,88
- Giải VBT toán 4 tập 2 bài: Dấu hiệu chia hết cho 2 Trang 3
- Đề thi toán học kì 2 lớp 4 số 1
- Giải VBT toán 4 tập 2 bài: Tìm hai số khi biết tổng và tỉ số của hai số đó Trang 62,63
- Giải VBT toán 4 tập 2 bài: Quy đồng mẫu số các phân số Trang 22
- Giải VBT toán 4 tập 2 bài:Phép trừ phân số Trang 40
- Giải VBT toán 4 tập 2 bài : Luyện tập chung Trang 73,74
- Giải VBT toán 4 tập 2 bài: Luyện tập Trang 49