Giải vbt toán 5 tập 2 bài 141: ôn tập về phân số (tiếp theo) - Trang 77, 78
Giải sách bài tập toán 5 tập 2, giải chi tiết và cụ thể bài 141: ôn tập về phân số (tiếp theo) trong SBT toán 5 tập 2 trang 77, 78. Thông qua bài học này, các em học sinh, các bậc phụ huynh sẽ nắm được cách làm bài tập nhanh chóng và dễ hiểu nhất
Bài tập 1: Trang 77 vở bt toán 5 tập 2
Khoanh vào chữ đặt trước câu trả lời đúng:
![]()
Phân số chỉ phần đã tô đậm của băng giấy là:

=> Giải:
Có tất cả 9 ô màu trắng và ô được tô đậm
Có 4 ô được tô đậm
Vậy số ô được tô đậm là 4 so với tổng cả ô màu trắng và ô được tô đậm là 9
=> phân số chỉ phần đã tô đậm của băng giấy là ![]()
=> Đáp án C
Bài tập 2: Trang 77 vở bt toán 5 tập 2
Khoanh vào chữ đặt trước câu trả lời đúng:
Có 20 viên bi, trong đó có 3 viên bi nâu, 4 viên bi xanh, 5 viên bi đỏ, 8 viên bi vàng. Như vậy,
số viên bi có màu:
A. Nâu
B. Xanh
C. Đỏ
D. Vàng
Hướng dẫn:
số viên bi trong tổng 20 viên bi là:
20 x
= 4 (viên bi)
Vậy viên bi màu xanh có 4 viên bi hay viên bi màu xanh chiếm
số viên bi trong tổng 20 viên bi
=> Đáp án: B
Bài tập 3: Trang 77 vở bt toán 5 tập 2
Nối
hoặc $\frac{3}{8}$ với từng phân số bằng nó (theo mẫu):

Hướng dẫn:
= $\frac{3}{4}$ (chia hết cho 2)
= $\frac{2}{5}$ (chia hết cho 4)
= $\frac{3}{8}$ (chia hết cho 2)
= $\frac{3}{8}$ (chia hết cho 4)
= $\frac{2}{5}$ (chia hết cho 3)
= $\frac{3}{8}$ (chia hết cho 3)
=> Giải:

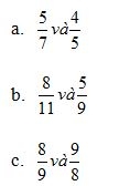
Bài tập 4: Trang 77 vở bt toán 5 tập 2
So sánh các phân số:

=> Giải:
a,

b,

c,
Cách 1:

Cách 2:

Bài tập 5: Trang 78 vở bt toán 5 tập 2
Viết các phân số
$\frac{9}{15}$ $\frac{3}{4}$ theo thứ tự từ bé đến lớn
Hướng dẫn:
Ta có:
> $\frac{9}{15}$ (vì với hai phân số có cùng tử, phân số nào mẫu lớn hơn thì phân số đó nhỏ hơn).
Nên ta cần so sánh hai phân số
và $\frac{3}{4}$
MSC: 14 ⨯ 4 = 56

(với 2 phân số có cùng mẫu, phân số nào có tử lớn hơn thì lớn hơn)
Xem thêm bài viết khác
- Đề thi toán học kì 2 lớp 5 số 5
- Giải vở bt toán 5 bài 101: Luyện tập về tính diện tích
- Giải vbt toán 5 tập 2 bài 165: luyện tập - Trang 113, 114
- Giải vở bt toán 5 bài 102: Luyện tập về tính diện tích (tiếp theo)
- Giải vbt toán 5 tập 2 bài 122: bảng đơn vị đo thời gian - Trang 49, 50
- Giải vbt toán 5 tập 2 bài 107: diện tích xung quanh và diện tích toàn phần của hình lập phương - Trang 26,27
- Giải vbt toán 5 tập 2 bài 148: ôn tập về đo diện tích và đo thể tích (tiếp theo) - Trang 86, 87
- Giải vbt toán 5 tập 2 bài 147: ôn tập về đo thể tích - Trang 85, 86
- Giải vbt toán 5 tập 2 bài 162: luyện tập - Trang 107, 108
- Giải vbt toán 5 tập 2 bài 127: Chia số đo thời gian cho một số - Trang 56, 57
- Giải vbt toán 5 tập 2 bài 101: luyện tập về tính diện tích - Trang 17,18
- Đề thi toán học kì 2 lớp 5 số 2