Giải vbt toán 5 tập 2 bài 171: luyện tập chung - Trang 126, 127
Giải sách bài tập toán 5 tập 2, giải chi tiết và cụ thể bài 171: luyện tập chung trong SBT toán 5 tập 2 trang Trang 126, 127. Thông qua bài học này, các em học sinh, các bậc phụ huynh sẽ nắm được cách làm bài tập nhanh chóng và dễ hiểu nhất
Bài tập 1: Trang 116 vở bt toán 5 tập 2
Tính

a.
![]()
b.

c.
![]()
d.

e.
1,26 x 3,6 : 0,28 - 6,2 = 4,536 : 0,28 - 6,2 = 16,2 - 6,2 = 10
Bài tập 2: Trang 116 vở bt toán 5 tập 2
Tính bằng cách thuận tiện nhất :

=> Giải:

Bài tập 3: Trang 116 vở bt toán 5 tập 2
Một bể cá dạng hình hộp chữ nhật có chiều dài 0,5m, chiều rộng 0,3m. Trong bể chứa 48l nước và mực nước trong bể lên tới
chiều cao của bể. Hỏi chiều cao của bể bằng bao nhiêu xăng-ti-mét ?
=> Giải:
Diện tích đáy của bể cá là :
0,5 ⨯ 0,3 = 0,15 (m2)
Thể tích nước chứa trong bể là :
Chiều cao của khối nước trong bể là :
0,048 : 0,15 = 0,32 (m)
Chiều cao của bể cá là :
0,32×5 : 4= 0,4 (m)
0,4m = 40cm
Đáp số : 40cm
Bài tập 4: Trang 127 vở bt toán 5 tập 2
Một con thuyền khi ngược dòng có vận tốc là 5,6 km/giờ. Biết vận tốc của dòng nước là 1,6 km/giờ, tính vận tốc của thuyền khi xuôi dòng.
=> Giải:
Vận tốc của thuyền khi nước yên lặng là :
5,6 + 1,6 = 7,2 (km/giờ)
Vận tốc của thuyền khi xuôi dòng là :
7,2 + 1,6 = 8,8 (km/giờ)
Đáp số : 8,8 km/giờ
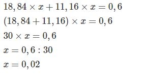
Bài tập 5: Trang 127 vở bt toán 5 tập 2
Tìm x :
18,84 x x + 11,16 x x = 0,6
=> Giải:

Xem thêm bài viết khác
- Giải vbt toán 5 tập 2 bài 130: vận tốc - Trang 60, 61
- Giải vbt toán 5 tập 2 bài 105: diện tích xung quanh và diện tích toàn phần của hình hộp chữ nhật - Trang 23,24
- Giải vbt toán 5 tập 2 bài 142: ôn tập về số thập phân - Trang 79, 80
- Giải vbt toán 5 tập 2 bài 111: xăng-ti-mét khối. đề-xi-mét khối - Trang 31,32
- Giải bài 3 trang 52 vở bài tập toán 5 tập 2
- Giải vbt toán 5 tập 2 bài 116: luyện tập chung - Trang 37,38
- Giải vbt toán 5 tập 2 bài 149: ôn tập về đo thời gian - Trang 87, 88
- Giải vbt toán 5 tập 2 bài 146: ôn tập về đo diện tích - Trang 84, 85
- Giải vbt toán 5 tập 2 bài 163: luyện tập chung - Trang 109, 110, 111
- Giải vbt toán 5 tập 2 bài 169: luyện tập chung - Trang 122, 123
- Giải vbt toán 5 tập 2 bài 165: luyện tập - Trang 113, 114
- Giải bài 2 trang 51 vở bài tập toán 5 tập 22