Giải VNEN toán 3 bài 65: Làm quen với chữ số La Mã
Giải VNEN toán 3 bài 65: Làm quen với chữ số La Mã - Sách hướng dân học toán 3 tập 2 trang 37. Sách này nằm trong bộ VNEN của chương trình mới. Dưới đây sẽ hướng dẫn trả lời và giải đáp các câu hỏi trong bài học. Cách làm chi tiết, dễ hiểu. Hi vọng các em học sinh nắm tốt kiến thức bài học.
A. Hoạt động cơ bản
1. Chơi trò chơi "Cách viết số của người La Mã"
a. Quan sát hình vẽ đồng hồ dưới đây, các số ở mặt đồng hồ bên phải, em hãy phát hiện cách sử dụng các chữ số La Mã để viết số.

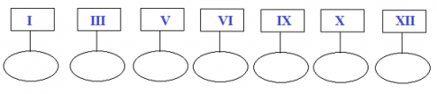
b. Nêu số cần viết vào ô trống:

Trả lời:
a. Cách sử dụng số La Mã để viết số là:
| Số La Mã | I | II | III | IV | V | VI | VII | VIII | IX | X | XI | XII |
| Số | 1 | 2 | 3 | 4 | 5 | 6 | 7 | 8 | 9 | 10 | 11 | 12 |
b. Viết số vào ô trống:

2. Nghe thầy cô hướng dẫn (sgk)
3. Đọc các số viết bằng chữ La Mã dưới đây:
I, II, V, VI, VIII, X, IX, XII, XX, XXI
Trả lời:
I: Một II: Hai VI : Sáu VIII: Tám V: Mười
IX: Chín XII: Mười hai XX: Hai mươi XXI: Hai mươi mốt
B. BÀI TẬP VÀ HƯỚNG DẪN GIẢI
Kiến thức thú vị
B. Hoạt động thực hành
Câu 1: Trang 38 VNEN toán 3 tập 2
Đồng hồ chỉ mấy giờ?

Câu 2: Trang 38 VNEN toán 3 tập 2
Hai bạn đố nhau:
Một bạn nêu một số (chẳng hạn mười một), bạn kia phải viết số bằng chữ số La Mã?
Câu 3: Trang 38 VNEN toán 3 tập 2
Đúng ghi Đ, sai ghi S:

Câu 4: Trang 38 VNEN toán 3 tập 2
Dùng que tính xếp các số dưới đây bằng số La Mã: 8, 9, 19, 21
Câu 5: Trang 38 VNEN toán 3 tập 2
Có 3 que tính xếp thành số 6 như hình bên
Hãy nhấc một que tính và xếp lại để được số 4.

C. Hoạt động ứng dụng
Câu 1: Trang 38 VNEN toán 3 tập 2
Dùng que tính xếp số chỉ tuổi của em ( bằng chữ số la mã)
Xem thêm bài viết khác
- Giải câu 2 trang 84 toán VNEN 3 tập 1
- Giải câu 2 trang 20 VNEN toán 3 tập 1
- Giải câu 1 trang 36 VNEN toán 3 tập 2
- Giải câu 1 trang 72 VNEN toán 3 tập 2
- Giải câu 3 trang 71 toán VNEN 3 tập 1
- Giải câu 4 trang 18 VNEN toán 3 tập 2
- Giải VNEN toán 3 bài 4: Trừ các số có ba chữ số (có nhớ)
- Giải VNEN toán 3 bài 79: Diện tích của một hình. Đơn vị đo diện tích xăng-ti-mét vuông
- Giải câu 1 trang 46 bài 69 VNEN toán 3 tập 2
- Giải câu 1 trang 65 VNEN toán 3 tập 2
- Giải câu 1 trang 94 VNEN toán 3 tập 2
- Giải câu 3 trang 24 VNEN toán 3 tập 2