Lời giải câu số 1, 14, 16 đề thi thử THPT quốc gia môn Hóa Học năm 2017 Đề số 14
Bài làm:
Lời giải câu số 1, 14, 16
Câu 1: Chọn C
(a) Cho SiO2 tác dụng với axit HF: SiO2 + 4HF → SiF4 + 2H2O
(b) Cho SO2 tác dụng với H2S: SO2 + 2H2S → 3S +2H2O
(c) Cho NH3 tác dụng với CuO: 2NH3 + 3CuO → 3Cu + N2 + 3H2O
(d) Cho CaOCl2 tác dụng với HClđặc: CaOCl2 + 2HClđặc → CaCl2 + Cl2 + H2O
(e) Cho Si tác dụng với NaOH∶ Si + 2NaOH+ H2O → Na2SiO3 + 2H2
(f) Cho O3 tác dụng với Ag: O3 + 2Ag → Ag2O +O2
(g) Cho NH4Cl tác dụng với NaNO2 đun nóng:NH4Cl + NaNO2 → NaCl+ N2 +2H2O
Vậy số đơn chất được tạo thành là: 6
Câu 14: Chọn C
Nhỏ từ từ 0,03 mol HCl vào 0,02 mol Na2CO3 và 0,02 mol NaHCO3 thì trước tiên có phản ứng:
H+ + CO32- → HCO3- (1)
H+ + HCO3- → CO2 + H2O (2)
Từ (1) suy ra:
nH+ (1) = nCO32- = 0,02 mol =>nHCl(còn lại ) = 0,03 – 0,02 = 0,01 mol
nHCO3- = 0,02 + 0,02 = 0,04 mol
Từ (2) suy ra sau phản ứng (2) HCO3- dư, H+ hết nên số mol CO2 tính theo
HCl =>nCO2 = nHCl = 0,01 mol.
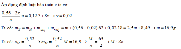
Câu 16: Chọn C


Xem thêm bài viết khác
- Lời giải câu số 12, 15, 18 đề thi thử THPT quốc gia môn Hóa Học năm 2017 Đề số 6
- Lời giải câu số 20, 21, 33 đề thi thử THPT quốc gia môn Hóa Học năm 2017 Đề số 13
- Thi THPTQG 2019: Đề thi và đáp án môn Hóa học mã đề 214
- Đề và đáp án môn Hóa học mã đề 219 thi THPT quốc gia năm 2017 đáp án của bộ GD-ĐT
- Lời giải câu số 2, 7, 31 Đề thi thử THPT quốc gia môn Hóa năm 2017 của trường THPT chuyên ĐH Vinh
- Lời giải câu số 30, 31, 39 Đề thi thử THPT quốc gia môn Hóa năm 2017 của trường THPT chuyên KHTN lần 4
- Đề thi thử THPT quốc gia môn Hóa Học năm 2017 Đề số 17
- Lời giải câu số 36, 22, 40 Đề thi thử THPT quốc gia môn Hóa năm 2017 của trường THPT chuyên KHTN lần 4
- Lời giải câu số 2, 3, 9 đề thi thử THPT quốc gia môn Hóa Học năm 2017 Đề số 6
- Cách làm câu số 26, 36, 38 đề thi thử THPT quốc gia môn Hóa Học năm 2017 Đề số 28
- Đề và đáp án môn Hóa học mã đề 209 thi THPT quốc gia năm 2017 đáp án của bộ GD-ĐT
- Đề và đáp án môn Hóa học mã đề 201 thi THPT quốc gia năm 2017 đáp án của bộ GD-ĐT