- Tất cả
-
Tài liệu hay -
Toán Học -
Soạn Văn - Soạn đầy đủ
- Tiếng Việt 2 tập 2 KNTT
- Tiếng Việt 2 CTST
- Tiếng Việt 2 sách Cánh Diều
- Tiếng Việt 3 tập 2
- Tiếng Việt 3 tập 1
- Tiếng Việt 4 tập 2
- Tiếng Việt 4 tập 1
- Tiếng Việt 5 tập 2
- Tiếng Việt 5 tập 1
- Soạn văn 6
- Soạn văn 7
- Soạn văn 8 tập 1
- Soạn văn 8 tập 2
- Soạn văn 9 tâp 1
- Soạn văn 9 tập 2
- Soạn văn 10 tập 1
- Soạn văn 10 tập 2
- Soạn văn 11
- Soạn văn 12
- Soạn ngắn gọn
- Soạn văn 12 ngắn gọn tập 1
- Soạn văn 12 ngắn gọn tập 2
- Soạn văn 11 ngắn gọn tập 1
- Soạn văn 11 ngắn gọn tập 2
- Soạn văn 10 ngắn gọn tập 1
- Soạn văn 10 ngắn gọn tập 2
- Soạn văn 9 ngắn gọn tập 1
- Soạn văn 9 ngắn gọn tập 2
- Soạn văn 8 ngắn gọn tập 1
- Soạn văn 8 ngắn gọn tập 2
- Soạn văn 7 ngắn gọn tập 1
- Soạn văn 7 ngắn gọn tập 2
- Ngữ văn VNEN
- Đề thi THPT QG môn Ngữ Văn
- Soạn đầy đủ
-
Tiếng Anh -
Vật Lý -
Hóa Học -
Sinh Học -
Lịch Sử -
Địa Lý -
GDCD -
Khoa Học Tự Nhiên -
Khoa Học Xã Hội
-
Đáp án đề thi vào lớp 10 môn Toán chuyên Nguyễn Tất Thành, Kon Tum năm 2022 Đề thi môn Toán lớp 10 chuyên Nguyễn Tất Thành năm 2022
Đề thi vào 10 Toán chuyên Nguyễn Tất Thành 2022
KhoaHoc mời các bạn cùng tham khảo Đáp án đề thi vào lớp 10 môn Toán chuyên Nguyễn Tất Thành, Kon Tum năm 2022.
- Đề thi vào 10 môn Văn trường chuyên Nguyễn Tất Thành, Kon Tum năm 2022
- Đề thi vào 10 môn Toán trường chuyên Sư phạm Hà Nội năm 2022
- Đề thi vào lớp 10 môn Văn trường THPT chuyên Lam Sơn, Thanh Hóa năm 2022
Đáp án thi vào 10 Toán chung chuyên Nguyễn Tất Thành
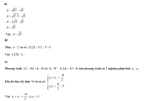
Câu 1

Câu 2

Câu 3

Câu 4

Câu 5

Câu 6

Câu 7

Đề thi vào 10 Toán chung chuyên Nguyễn Tất Thành

Đáp án, Đề thi vào lớp 10 môn Toán năm 2022 của tất cả các tỉnh thành trên cả nước bao gồm trường chuyên và không chuyên được KhoaHoc tổng hợp và đăng tải nhanh nhất nhằm giúp học sinh ôn thi vào lớp 10 đạt hiệu quả. Các bạn tham khảo chuyên mục Ôn Toán 9 lên 10 tại KhoaHoc để cập nhật mới nhất các đề thi cùng đáp án chi tiết đề tuyển sinh vào lớp 10 môn Toán.
Tài liệu tham khảo khác
- Đề thi vào 10 chuyên Văn tỉnh Vĩnh Long năm 2022 Đề thi chuyên Văn vào lớp 10 năm 2022
- Đề thi vào 10 chuyên Văn tỉnh Bình Phước năm 2022 Đề thi chuyên Văn vào lớp 10 năm 2022
- Đề thi thử vào lớp 10 môn Toán phòng GD Giao Thủy năm 2022 Đề thi thử vào 10 môn Toán 2022
- Đáp án đề thi vào lớp 10 môn Văn Vĩnh Phúc năm 2022 Đề thi môn Văn vào 10 tỉnh Vĩnh Phúc năm 2022
- Đáp án đề thi vào lớp 10 môn Văn Bắc Giang năm 2022 Đề thi môn Văn vào 10 tỉnh Bắc Giang năm 2022
- Đề thi vào 10 chuyên Văn trường Chuyên KHXH&NV năm 2022 Đề thi chuyên Văn vào lớp 10 năm 2022
- Đề thi vào 10 chuyên Toán trường THPT Chuyên KHXH&NV năm 2022 Đề thi vào 10 chuyên Toán năm 2022
- Đề thi thử vào 10 môn Văn phòng GD Cẩm Thủy năm 2022 Đề thi thử vào 10 môn Văn 2022
- Đề thi vào 10 chuyên Toán trường chuyên Hạ Long năm 2022 Đề thi vào 10 chuyên Toán năm 2022
- Đề thi vào 10 chuyên Văn trường chuyên Hạ Long năm 2022 Đề thi chuyên Văn vào lớp 10 năm 2022
- Đề thi vào 10 môn Văn trường chuyên Nguyễn Tất Thành, Kon Tum năm 2022 Đề thi chuyên Văn vào lớp 10
- Bộ Đề thi 6 môn chuyên vào lớp 10 trường Sư phạm Hà Nội Đề thi vào lớp 10 trường Sư phạm Hà Nội
- Đề thi vào 10 môn Toán trường THPT chuyên Lam Sơn, Thanh Hóa năm 2022 Đề thi vào 10 môn Toán 2022
- Đề chuyên Hoá vào lớp 10 trường Sư phạm Hà Nội Đề thi vào 10 chuyên Hóa năm 2022
- Đề thi vào 10 chuyên Sinh trường chuyên Sư phạm Hà Nội năm 2022 Đề chuyên Sinh vào lớp 10 năm 2022
- Đề thi vào 10 môn tiếng Anh trường chuyên Sư phạm Hà Nội năm 2022 Đề thi vào 10 môn tiếng Anh 2022
- Đề thi vào 10 chuyên Lý trường chuyên Sư phạm Hà Nội năm 2022 Đề thi vào lớp 10 môn Vật Lí năm 2022
- Đề thi vào 10 môn Văn trường chuyên Sư phạm Hà Nội năm 2022 Đề thi tuyển sinh vào 10 môn Văn 2022
- Đề thi vào 10 môn Toán trường chuyên Sư phạm Hà Nội năm 2022 Đề thi vào 10 môn Toán 2022
Chủ đề liên quan
Mới nhất trong tuần
- Đáp án đề thi vào lớp 10 môn Toán Ninh Thuận năm 2022 Đề thi môn Toán vào lớp 10 Ninh Thuận năm 2022
- Đáp án đề thi vào lớp 10 môn Toán Kiên Giang năm 2022 Đề thi môn Toán vào lớp 10 Kiên Giang năm 2022
- Đáp án đề thi vào lớp 10 môn Toán Sóc Trăng năm 2022 Đề thi môn Toán vào lớp 10 Sóc Trăng năm 2022
- Đề thi tuyển sinh lớp 10 chuyên Toán Quảng Ngãi năm 2022 Đề thi tuyển sinh lớp 10 chuyên Toán Quảng Ngãi năm 2022
- Đáp án đề thi vào lớp 10 môn Toán Trà Vinh năm 2022 Đề thi môn Toán vào lớp 10 Trà Vinh năm 2022
- Đáp án đề thi vào lớp 10 môn Toán Hòa Bình năm 2022 Đề thi môn Toán vào lớp 10 Hòa Bình năm 2022
- Đáp án đề thi vào lớp 10 môn Toán Quảng Ngãi năm 2022 Đề thi môn Toán vào lớp 10 Quảng Ngãi năm 2022
- Đáp án đề thi vào lớp 10 môn Toán Cà Mau năm 2022 Đề thi môn Toán vào lớp 10 Cà Mau năm 2022
- Đề thi tuyển sinh lớp 10 chuyên Toán Hà Nội năm 2022 Đề thi tuyển sinh lớp 10 chuyên Toán Hà Nội năm 2022
- Đề thi tuyển sinh lớp 10 chuyên Toán Lạng Sơn năm 2022 Đề thi tuyển sinh lớp 10 chuyên Toán Lạng Sơn năm 2022