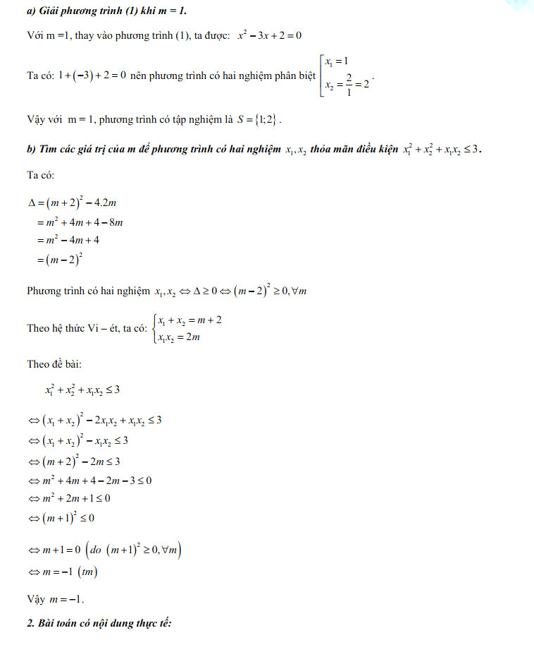
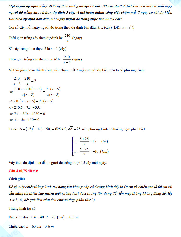
- Tất cả
-
Tài liệu hay -
Toán Học -
Soạn Văn - Soạn đầy đủ
- Tiếng Việt 2 tập 2 KNTT
- Tiếng Việt 2 CTST
- Tiếng Việt 2 sách Cánh Diều
- Tiếng Việt 3 tập 2
- Tiếng Việt 3 tập 1
- Tiếng Việt 4 tập 2
- Tiếng Việt 4 tập 1
- Tiếng Việt 5 tập 2
- Tiếng Việt 5 tập 1
- Soạn văn 6
- Soạn văn 7
- Soạn văn 8 tập 1
- Soạn văn 8 tập 2
- Soạn văn 9 tâp 1
- Soạn văn 9 tập 2
- Soạn văn 10 tập 1
- Soạn văn 10 tập 2
- Soạn văn 11
- Soạn văn 12
- Soạn ngắn gọn
- Soạn văn 12 ngắn gọn tập 1
- Soạn văn 12 ngắn gọn tập 2
- Soạn văn 11 ngắn gọn tập 1
- Soạn văn 11 ngắn gọn tập 2
- Soạn văn 10 ngắn gọn tập 1
- Soạn văn 10 ngắn gọn tập 2
- Soạn văn 9 ngắn gọn tập 1
- Soạn văn 9 ngắn gọn tập 2
- Soạn văn 8 ngắn gọn tập 1
- Soạn văn 8 ngắn gọn tập 2
- Soạn văn 7 ngắn gọn tập 1
- Soạn văn 7 ngắn gọn tập 2
- Ngữ văn VNEN
- Đề thi THPT QG môn Ngữ Văn
- Soạn đầy đủ
-
Tiếng Anh -
Vật Lý -
Hóa Học -
Sinh Học -
Lịch Sử -
Địa Lý -
GDCD -
Khoa Học Tự Nhiên -
Khoa Học Xã Hội
-
Đáp án đề thi vào lớp 10 môn Toán Hải Phòng năm 2022 Đề thi môn Toán vào lớp 10 tỉnh Hải Phòng năm 2022
Đề thi vào 10 Toán Hải Phòng 2022
KhoaHoc mời các bạn cùng tham khảo và so kết quả bài thi tuyển sinh vào 10 của bản thân tại Đáp án đề thi vào lớp 10 môn Toán Hải Phòng năm 2022.
- Đáp án đề thi tuyển sinh lớp 10 môn Anh Hải Phòng năm 2022
- Đáp án đề thi vào lớp 10 môn Văn Hải Phòng năm 2022
- Đáp án đề thi vào lớp 10 môn Toán Lai Châu năm 2022
- Đáp án đề thi vào lớp 10 môn Toán Nghệ An năm 2022
Đáp án Đề thi vào 10 môn Toán Hải Phòng 2022





Đề thi vào 10 môn Toán Hải Phòng 2022


Đáp án, Đề thi vào lớp 10 môn Toán năm 2022 của tất cả các tỉnh thành trên cả nước bao gồm trường chuyên và không chuyên được KhoaHoc tổng hợp và đăng tải nhanh nhất nhằm giúp học sinh ôn thi vào lớp 10 đạt hiệu quả. Các bạn tham khảo chuyên mục Ôn Toán 9 lên 10 tại KhoaHoc để cập nhật mới nhất các đề thi cùng đáp án chi tiết đề tuyển sinh vào lớp 10 môn Toán.
Tài liệu tham khảo khác
- Đáp án đề thi vào lớp 10 môn Toán Bình Thuận năm 2022 Đề thi môn Toán vào lớp 10 tỉnh Bình Thuận năm 2022
- Đáp án đề thi vào lớp 10 môn Toán Gia Lai năm 2022 Đề thi môn Toán vào lớp 10 tỉnh Gia Lai năm 2022
- Đáp án đề thi vào lớp 10 môn Văn Bạc Liêu năm 2022 Đề thi môn Văn vào 10 tỉnh Bạc Liêu năm 2022
- Đáp án đề thi vào lớp 10 môn Toán Ninh Bình năm 2022 Đề thi môn Toán vào lớp 10 tỉnh Ninh Bình năm 2022
- Đáp án đề thi vào lớp 10 môn Văn Thừa Thiên Huế năm 2022 Đề thi môn Văn vào 10 tỉnh Thừa Thiên Huế năm 2022
Chủ đề liên quan
Mới nhất trong tuần
- Đáp án đề thi vào lớp 10 môn Toán Ninh Thuận năm 2022 Đề thi môn Toán vào lớp 10 Ninh Thuận năm 2022
- Đáp án đề thi vào lớp 10 môn Toán Kiên Giang năm 2022 Đề thi môn Toán vào lớp 10 Kiên Giang năm 2022
- Đáp án đề thi vào lớp 10 môn Toán Sóc Trăng năm 2022 Đề thi môn Toán vào lớp 10 Sóc Trăng năm 2022
- Đề thi tuyển sinh lớp 10 chuyên Toán Quảng Ngãi năm 2022 Đề thi tuyển sinh lớp 10 chuyên Toán Quảng Ngãi năm 2022
- Đáp án đề thi vào lớp 10 môn Toán Trà Vinh năm 2022 Đề thi môn Toán vào lớp 10 Trà Vinh năm 2022
- Đáp án đề thi vào lớp 10 môn Toán Hòa Bình năm 2022 Đề thi môn Toán vào lớp 10 Hòa Bình năm 2022
- Đáp án đề thi vào lớp 10 môn Toán Quảng Ngãi năm 2022 Đề thi môn Toán vào lớp 10 Quảng Ngãi năm 2022
- Đáp án đề thi vào lớp 10 môn Toán Cà Mau năm 2022 Đề thi môn Toán vào lớp 10 Cà Mau năm 2022
- Đề thi tuyển sinh lớp 10 chuyên Toán Hà Nội năm 2022 Đề thi tuyển sinh lớp 10 chuyên Toán Hà Nội năm 2022
- Đề thi tuyển sinh lớp 10 chuyên Toán Lạng Sơn năm 2022 Đề thi tuyển sinh lớp 10 chuyên Toán Lạng Sơn năm 2022