Đề thi học kì 1 lớp 1 môn Toán sách Cánh Diều - Đề 2 Đề thi học kì 1 lớp 1 môn Toán có đáp án
Đề thi học kì 1 môn Toán lớp 1 - Đề số 2
Mời các bạn cùng tham khảo Đề thi học kì 1 lớp 1 môn Toán sách Cánh Diều được KhoaHoc.com.vn sưu tầm và đăng tải trong bài viết dưới đây.
Đề thi học kì 1 môn Toán lớp 1 bộ sách Cánh diều là đề thi năm 2021-2022 mới nhất được KhoaHoc.com.vn đưa ra để thầy cô có thêm tài liệu tham khảo, các em học sinh có thể luyện thêm đề thi tại nhà trước khi bước vào bài thi chính thức.
I. PHẦN TRẮC NGHIỆM: (6 điểm)
Câu 1: Số? (1 điểm) (M1)

Câu 2: Viết số còn thiếu vào ô trống: (1 điểm) (M1)
| 4 | 7 |
Câu 3: Khoanh vào chữ cái đặt trước kết quả đúng: (1,5 điểm) (M1)
a. 2 + 6 = ☐
A. 6 B. 4 C. 8
b. 4 … 8
A. > B. < C. =
Câu 4: Đúng ghi Đ, sai ghi S vào ô trống. (1 điểm) (M2))
4 + 2 + 3 = 9 ☐
9 - 2 - 3 = 4 ☐
3 + 6 - 3 = 6 ☐
8 - 5 + 0 = 3 ☐
Câu 5: Hình dưới là khối? (1 điểm) (M2)

A. Khối hộp chữ nhật
B. Khối lập phương
Câu 6: Khoanh vào chữ cái đặt trước kết quả đúng: (0.5 điểm) (M2)
4 + 5 – 2 = ?
A. 7 B. 5 C . 6
II. PHẦN TỰ LUẬN: (4 điểm)
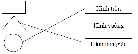
Câu 7: Nối với hình thích hợp (1 điểm) (M1)

Câu 8. Nối tên các đồ vật sau phù hợp với khối hộp chữ nhật, khối lập phương. (1 điểm) (M3)

Câu 9. Số (1 điểm (M1)

| 3 | + | 1 | = |

| 5 | - | 2 | = |
Câu 10. Xem tranh rồi viết phép tính thích hợp: (1 điểm) (M3)

Đáp án Đề thi học kì 1 môn Toán lớp 1
I. PHẦN TRẮC NGHIỆM: (6 điểm)
Câu 1: Số? (1 điểm) (M1)

Câu 2: Viết số còn thiếu vào ô trống: (1 điểm) (M1)
| 4 | 5 | 6 | 7 | 8 | 9 |
Câu 3: Khoanh vào chữ cái đặt trước kết quả đúng: (1,5 điểm) (M1)
a. 2 + 6 = ☐
C. 8
b. 4 … 8
B. <
Câu 4: Đúng ghi Đ, sai ghi S vào ô trống. (1 điểm) (M2))
4 + 2 + 3 = 9 Đ
9 - 2 - 3 = 4 S
3 + 6 - 3 = 6 S
8 - 5 + 0 = 3 Đ
Câu 5: Hình dưới là khối? (1 điểm) (M2)

A. Khối hộp chữ nhật
Câu 6: Khoanh vào chữ cái đặt trước kết quả đúng: (0.5 điểm) (M2)
4 + 5 – 2 = ?
A. 7
II. PHẦN TỰ LUẬN: (4 điểm)
Câu 7: Nối với hình thích hợp (1 điểm) (M1)

Câu 8. Nối tên các đồ vật sau phù hợp với khối hộp chữ nhật, khối lập phương. (1 điểm) (M3)

Câu 9. Số (1 điểm (M1)

| 3 | + | 1 | = | 4 |

| 5 | - | 2 | = | 3 |
Câu 10. Xem tranh rồi viết phép tính thích hợp: (1 điểm) (M3)
