Đề thi thử THPT Quốc gia 2022 môn Toán Đề số 18 Đề thi thử THPT Quốc gia 2022 - có đáp án
Đề thi thử THPT Quốc gia 2022 môn Toán Đề số 18 được Khoahoc sưu tầm và đăng tải. Tài liệu giúp các em học sinh củng cố lại phần kiến thức đã học trong chương trình lớp 12 và kỹ năng giải đề thi, biết cách phân bổ thời gian làm bài sao cho hợp lý. Dưới đây là nội dung chi tiết đề thi, các em tham khảo nhé.
Đề thi thử THPT Quốc gia 2022 môn Toán
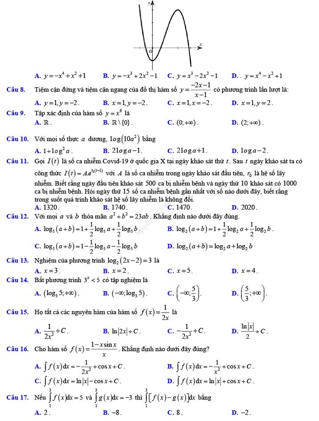
1. Đề thi thử THPT Quốc gia 2022 môn Toán Đề số 18






2. Đáp án đề thi thử THPT Quốc gia 2022 môn Toán Đề số 18















3. Tham khảo Đề thi thử THPT Quốc Gia 2022 môn Toán
- Đề thi thử THPT Quốc gia 2022 môn Toán Sở GD&ĐT Hòa Bình (lần 2)
- Đề thi thử THPT Quốc gia 2022 môn Toán Thị xã Quảng Trị - Quảng Trị (lần 1)
- Đề thi thử THPT Quốc gia 2022 môn Toán Sở GD&ĐT Ninh Bình (lần 2)
- Đề thi thử THPT Quốc gia 2022 môn Toán Hồ Nghinh - Quảng Nam (lần 2)
- Đề thi thử THPT Quốc gia 2022 môn Toán Đề số 1
- Đề thi thử THPT Quốc gia 2022 môn Toán Đề số 2
- Đề thi thử THPT Quốc gia 2022 môn Toán Đề số 3
- Đề thi thử THPT Quốc gia 2022 môn Toán Đề số 4
- Đề thi thử THPT Quốc gia 2022 môn Toán Đề số 5
- Đề thi thử THPT Quốc gia 2022 môn Toán Đề số 6
- Đề thi thử THPT Quốc gia 2022 môn Toán Đề số 7
- Đề thi thử THPT Quốc gia 2022 môn Toán Đề số 8
- Đề thi thử THPT Quốc gia 2022 môn Toán Đề số 9
- Đề thi thử THPT Quốc gia 2022 môn Toán Đề số 10
- Đề thi thử THPT Quốc gia 2022 môn Toán Đề số 11
- Đề thi thử THPT Quốc gia 2022 môn Toán Đề số 12
- Đề thi thử THPT Quốc gia 2022 môn Toán Đề số 13
- Đề thi thử THPT Quốc gia 2022 môn Toán Đề số 14
- Đề thi thử THPT Quốc gia 2022 môn Toán Đề số 15
- Đề thi thử THPT Quốc gia 2022 môn Toán Đề số 16
- Đề thi thử THPT Quốc gia 2022 môn Toán Đề số 19
Đề thi thử THPT Quốc gia 2022 môn Toán Đề số 18 được Khoahoc chia sẻ trên đây. Hy vọng với bài thi này sẽ giúp ích cho các em có thêm tài liệu ôn tập, rèn luyện cũng như chuẩn bị tốt cho kì thi THPT sắp tới. Chúc các em ôn thi tốt, ngoài ra các em có thể tham khảo thêm các tài liệu khác tại tài liệu học tập lớp 12 này nhé
Xem thêm bài viết khác
- Đề thi thử THPT Quốc gia 2022 môn Toán Sở GD&ĐT Sơn La Đề thi thử THPT Quốc gia 2022 - có đáp án
- Đề thi thử THPT Quốc gia 2022 môn Toán Đô Lương 1 - Nghệ An Đề thi thử THPT Quốc gia 2022 - có đáp án
- Đề thi thử THPT Quốc gia 2022 môn Toán Sở GD&ĐT Bình Thuận Đề thi thử THPT Quốc gia 2022 - có đáp án
- Đề thi thử THPT Quốc gia 2022 môn Toán Đông Triều - Quảng Ninh Đề thi thử THPT Quốc gia 2022 - có đáp án
- Đề thi thử THPT Quốc gia 2022 môn Toán Ngô Gia Tự - Đắk Lắk Đề thi thử THPT Quốc gia 2022 - có đáp án
- Đề thi thử THPT Quốc gia 2022 môn Toán Lê Lai - Thanh Hóa (lần 2) Đề thi thử THPT Quốc gia 2022 - có đáp án
Chủ đề liên quan