Đề thi thử THPT Quốc gia 2022 môn Toán Ngô Gia Tự - Đắk Lắk Đề thi thử THPT Quốc gia 2022 - có đáp án
Đề thi thử THPT Quốc gia 2022 môn Toán Ngô Gia Tự - Đắk Lắk được Khoahoc sưu tầm và đăng tải. Tài liệu sẽ giúp các em học sinh hệ thống lại những kiến thức đã học trong bài, định hướng phương pháp giải các bài tập cụ thể. Ngoài ra việc tham khảo tài liệu còn giúp các em học sinh rèn luyện và nâng cao kỹ năng giải đề thi. Mời các em cùng tham khảo
- Đề thi thử THPT Quốc gia 2022 môn Toán Lê Lai - Thanh Hóa (lần 2)
- Đề thi thử THPT Quốc gia 2022 môn Toán Đông Triều - Quảng Ninh
Đề thi thử THPT Quốc gia 2022 môn Toán
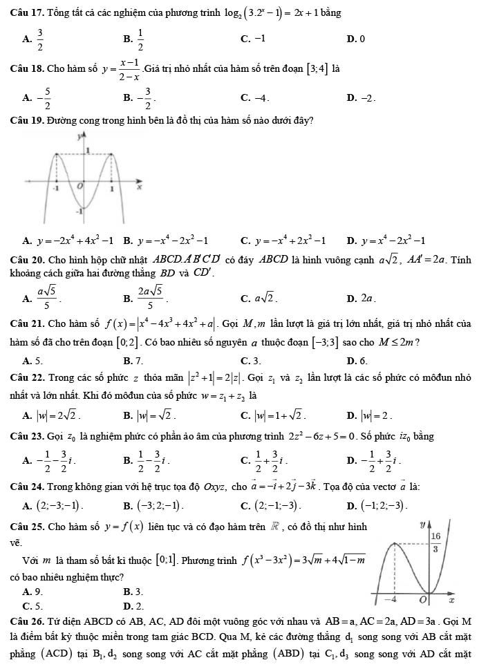
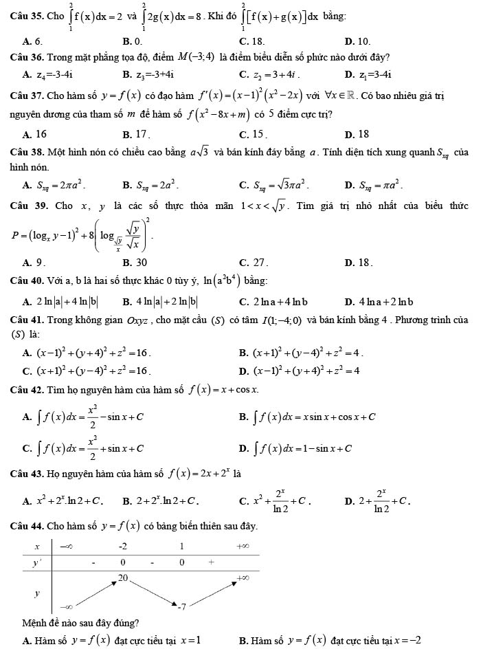
1. Đề thi thử THPT Quốc gia 2022 môn Toán Ngô Gia Tự - Đắk Lắk






2. Đáp án đề thi thử THPT Quốc gia 2022 môn Toán Ngô Gia Tự
| Câu | Đ/a | Câu | Đ/a | Câu | Đ/a | Câu | Đ/a | Câu | Đ/a |
|---|---|---|---|---|---|---|---|---|---|
| 1 | C | 11 | A | 21 | A | 31 | B | 41 | A |
| 2 | D | 12 | B | 22 | A | 32 | D | 42 | C |
| 3 | B | 13 | D | 23 | B | 33 | B | 43 | C |
| 4 | C | 14 | A | 24 | D | 34 | A | 44 | A |
| 5 | B | 15 | B | 25 | C | 35 | A | 45 | B |
| 6 | C | 16 | D | 26 | B | 36 | B | 46 | C |
| 7 | B | 17 | C | 27 | D | 37 | C | 47 | D |
| 8 | D | 18 | D | 28 | A | 38 | A | 48 | A |
| 9 | D | 19 | A | 29 | C | 39 | C | 49 | B |
| 10 | C | 20 | B | 30 | C | 40 | A | 50 | C |
3. Tham khảo Đề thi thử THPT Quốc Gia 2022 môn Toán
- Đề thi thử THPT Quốc gia 2022 môn Toán Trần Phú - Vĩnh Phúc (lần 2)
- Đề thi thử THPT Quốc gia 2022 môn Toán Trường THPT Nho Quan A
- Lịch thi tốt nghiệp THPT năm 2022
- Đề thi thử THPT Quốc gia 2022 môn Toán Sở GD&ĐT Hà Nội
- Đề thi thử THPT Quốc gia 2022 môn Toán Lương Tài 2 - Bắc Ninh (lần 3)
- Đề thi thử THPT Quốc gia 2022 môn Toán trường THPT Phan Đình Phùng - Quảng Bình
- Đề thi thử THPT Quốc gia 2022 môn Toán Chuyên Lam Sơn - Thanh Hóa (lần 1)
- Đề thi thử THPT Quốc gia 2022 môn Toán Trường THPT Xuân Đỉnh
- Đề thi thử THPT Quốc gia 2022 môn Toán Đề số 28
- Đề thi thử THPT Quốc gia 2022 môn Toán Đề số 29
- Đề thi thử THPT Quốc gia 2022 môn Toán Đề số 26
- Đề thi thử THPT Quốc gia 2022 môn Toán Đề số 27
- Đề thi thử THPT Quốc gia 2022 môn Toán Lê Lai - Thanh Hóa (lần 3)
- Đề thi thử THPT Quốc gia 2022 môn Toán Đề số 25
Đề thi thử THPT Quốc gia 2022 môn Toán Ngô Gia Tự - Đắk Lắk được Khoahoc chia sẻ trên đây. Hy vọng với tài liệu này sẽ giúp ích cho các em có thêm tài liệu tham khảo, trau dồi thêm kỹ năng giải đề thi, đồng thơi chuẩn bị tốt cho kì thi THPT sắp tới. Ngoài ra các em có thể tham khảo thêm các tài liệu khác tại tài liệu học tập lớp 12 này nhé
Xem thêm bài viết khác
- Mở bài Tây tiến đoạn 3 Bài thơ Tây Tiến - Văn mẫu 12
- Đề thi thử THPT Quốc gia 2022 môn Toán Đề số 19 Đề thi thử THPT Quốc gia 2022 - có đáp án
- Đề thi thử THPT Quốc gia 2022 môn Toán Đề số 18 Đề thi thử THPT Quốc gia 2022 - có đáp án
- Đề thi thử THPT Quốc gia 2022 môn Toán Đề số 16 Đề thi thử THPT Quốc gia 2022 - có đáp án
- Đề thi thử THPT Quốc gia 2022 môn Toán Đề số 15 Đề thi thử THPT Quốc gia 2022 - có đáp án
- Đề thi thử THPT Quốc gia 2022 môn Toán Đề số 14 Đề thi thử THPT Quốc gia 2022 - có đáp án
- Đề thi thử THPT Quốc gia 2022 môn Toán Hồ Nghinh - Quảng Nam (lần 2) Đề thi thử THPT Quốc gia 2022 - có đáp án
- Đề thi thử THPT Quốc gia 2022 môn Toán Trần Phú - Vĩnh Phúc (lần 1) Đề thi thử THPT Quốc gia 2022 - có đáp án
- Đề thi thử THPT Quốc gia 2022 môn Toán Sở GD&ĐT Nghệ An Đề thi thử THPT Quốc gia 2022
- Đề thi thử THPT Quốc gia 2022 môn Toán Chuyên Hạ Long (lần 3) Đề thi thử THPT Quốc gia 2022 - có đáp án
- Tóm tắt Người lái đò sông Đà (5 mẫu) Người lái đò sông Đà - Văn mẫu 12
- Cảm nhận bài thơ Tây Tiến của Quang Dũng (4 mẫu) Cảm nhận Tây Tiến - Văn mẫu 12
- Cảm nhận của anh chị về hình tượng người lính Tây Tiến trong khổ thơ 3 Hình tượng người lính Tây Tiến - Văn mẫu 12
Chủ đề liên quan