Đề thi thử THPT Quốc gia 2022 môn Toán Đề số 7 Đề thi thử THPT Quốc gia 2022 - có đáp án
Đề thi thử THPT Quốc gia 2022 môn Toán Đề số 7 được Khoahoc sưu tầm và đăng tải. Đề thi này giúp các em làm quen thêm dạng dạng đề thi khác nhau, đông thời chuẩn bị tốt cho kì thi THPT sắp tới. Dưới đây là nội dung chi tiết đề thi kèm theo đáp án để các em so sánh. Mời các em cùng tham khảo.
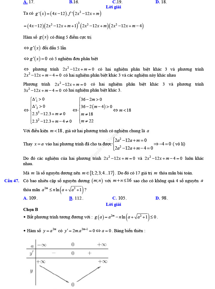
Đề thi thử THPT Quốc gia 2022 môn Toán
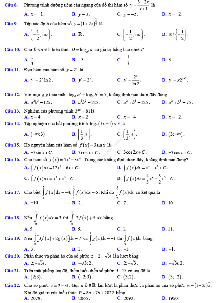
1. Đề thi thử THPT Quốc gia 2022 môn Toán Đề số 7





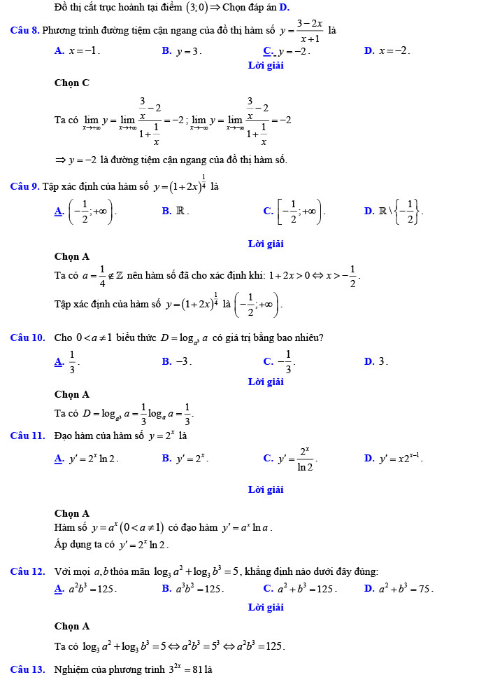
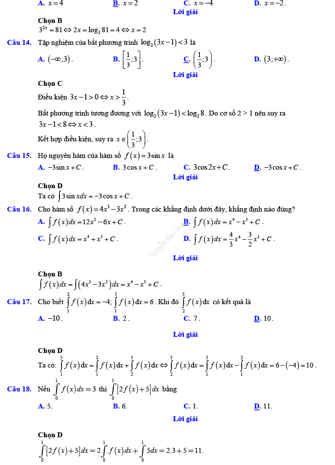
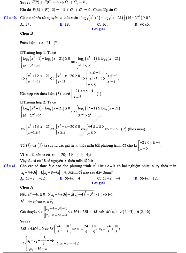
2. Đáp án đề thi thử THPT Quốc gia 2022 môn Toán Đề số 7

















3. Tham khảo Đề thi thử THPT Quốc Gia 2022 môn Toán
- Đề thi thử THPT Quốc gia 2022 môn Toán Đồng Lộc - Hà Tĩnh
- Đề thi thử THPT Quốc gia 2022 môn Toán Đề số 21
- Đề thi thử THPT Quốc gia 2022 môn Toán Sơ GD&ĐT Cà Mau
- Đề thi thử THPT Quốc gia 2022 môn Toán Thanh Miện 2 - Hải Dương (lần 4)
- Đề thi thử THPT Quốc gia 2022 môn Toán Quốc Tuấn - Hải Phòng (lần 2)
- Đề thi thử THPT Quốc gia 2022 môn Toán Lương Thế Vinh
- Đề thi thử THPT Quốc gia 2022 môn Toán Sở GD&ĐT Hòa Bình (lần 2)
- Đề thi thử THPT Quốc gia 2022 môn Toán Thị xã Quảng Trị - Quảng Trị (lần 1)
- Đề thi thử THPT Quốc gia 2022 môn Toán Sở GD&ĐT Ninh Bình (lần 2)
- Đề thi thử THPT Quốc gia 2022 môn Toán Hồ Nghinh - Quảng Nam (lần 2)
- Đề thi thử THPT Quốc gia 2022 môn Toán Đề số 1
- Đề thi thử THPT Quốc gia 2022 môn Toán Đề số 2
- Đề thi thử THPT Quốc gia 2022 môn Toán Đề số 3
- Đề thi thử THPT Quốc gia 2022 môn Toán Đề số 4
- Đề thi thử THPT Quốc gia 2022 môn Toán Đề số 5
- Đề thi thử THPT Quốc gia 2022 môn Toán Đề số 8
Đề thi thử THPT Quốc gia 2022 môn Toán Đề số 7 được Khoahoc chia sẻ trên đây. Hy vọng với tài liệu này sẽ giúp ích cho các em có thêm tài liệu tham khảo, trau dồi thêm kỹ năng làm bài cũng như nắm chắc được kiến thức, từ đó chuẩn bị tốt cho kì thi tốt nghiệp THPT sắp tới. Chúc các em ôn thi tốt, ngoài ra các em có thể tham khảo thêm các tài liệu khác tại tài liệu học tập lớp 12 này nhé
Xem thêm bài viết khác
- Đề thi thử THPT Quốc gia 2022 môn Toán Đề số 4 Đề thi thử THPT Quốc gia 2022 - có đáp án
- Đề thi thử THPT Quốc gia 2022 môn Toán Đề số 3 Đề thi thử THPT Quốc gia 2022 - có đáp án
- Đề thi thử THPT Quốc gia 2022 môn Toán Đề số 2 Đề thi thử THPT Quốc gia 2022 - có đáp án
- Đề thi thử THPT Quốc gia 2022 môn Toán Đề số 1 Đề thi thử THPT Quốc gia 2022 - có đáp án
- Đề thi thử THPT Quốc gia 2022 môn Toán Phụ Dực - Thái Bình (lần 2) Đề thi thử THPT Quốc gia 2022 - có đáp án
- Đề thi thử THPT Quốc gia 2022 môn Toán Hồ Nghinh - Quảng Nam (lần 2) Đề thi thử THPT Quốc gia 2022 - có đáp án
- Đề thi thử THPT Quốc gia 2022 môn Toán Sở GD&ĐT Ninh Bình (lần 2) Đề thi thử THPT Quốc gia 2022 - có đáp án
- Đề thi thử THPT Quốc gia 2022 môn Toán Thị xã Quảng Trị - Quảng Trị (lần 1) Đề thi thử THPT Quốc gia 2022 - có đáp án
Chủ đề liên quan