Đề thi thử THPT Quốc gia 2022 môn Toán Đề số 2 Đề thi thử THPT Quốc gia 2022 - có đáp án
Đề thi thử THPT Quốc gia 2022 môn Toán Đề số 2 được Khoahoc sưu tầm và đăng tải. Đề thi gồm 50 câu hỏi trắc nghiệm, với thời gian 90 phút kèm theo đáp án để các em so sánh đánh giá kết quả, qua đó chuẩn bị tốt cho kì thi THPT sắp tới. Dưới đây là nội dung chi tiết của đề thi, các em tham khảo nhé.
Đề thi thử THPT Quốc gia 2022 môn Toán
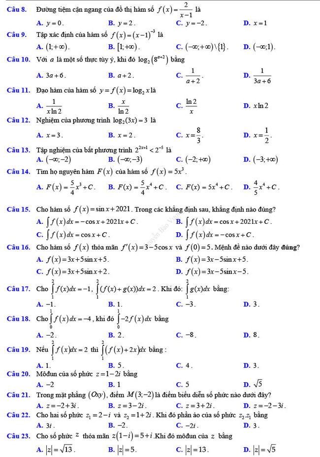
1. Đề thi thử THPT Quốc gia 2022 môn Toán Đề số 2





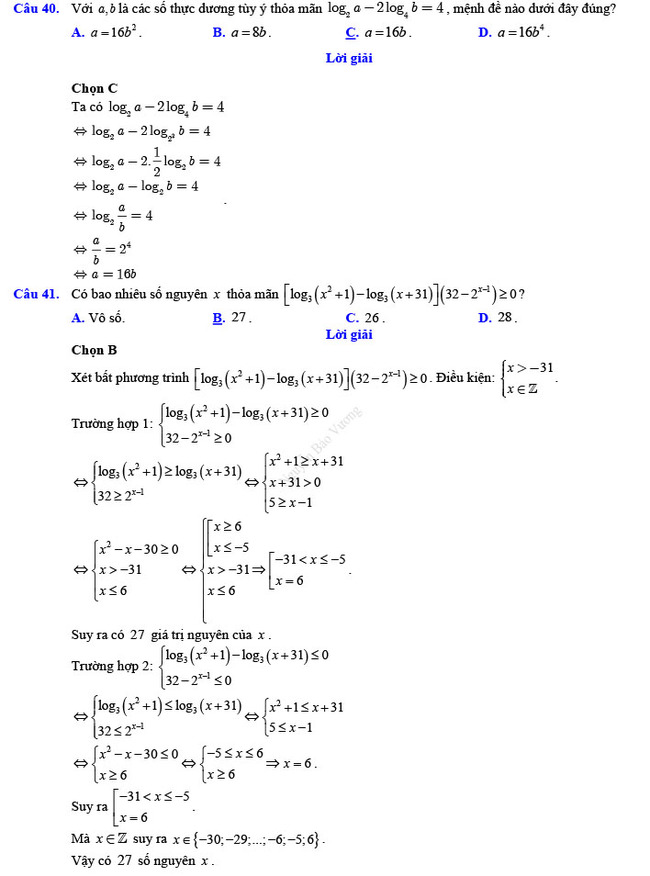
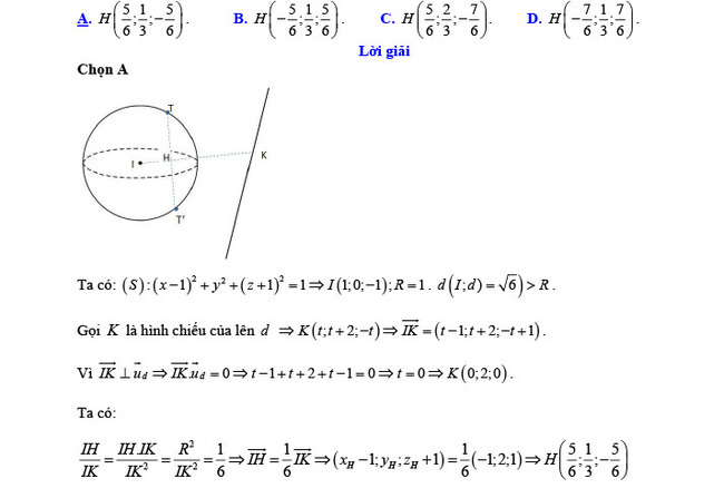
2. Đáp án đề thi thử THPT Quốc gia 2022 môn Toán Đề số 2














3. Tham khảo Đề thi thử THPT Quốc Gia 2022 môn Toán
- Đề thi thử THPT Quốc gia 2022 môn Toán Đô Lương 1 - Nghệ An
- Đề thi thử THPT Quốc gia 2022 môn Toán Sở GD&ĐT Sơn La
- Đề thi thử THPT Quốc gia 2022 môn Toán Kim Liên - Hà Nội (lần 1)
- Đề thi thử THPT Quốc gia 2022 môn Toán Sở GD&ĐT Bạc Liêu cụm 3
- Đề thi thử THPT Quốc gia 2022 môn Toán Đồng Lộc - Hà Tĩnh
- Đề thi thử THPT Quốc gia 2022 môn Toán Đề số 21
- Đề thi thử THPT Quốc gia 2022 môn Toán Sơ GD&ĐT Cà Mau
- Đề thi thử THPT Quốc gia 2022 môn Toán Thanh Miện 2 - Hải Dương (lần 4)
- Đề thi thử THPT Quốc gia 2022 môn Toán Quốc Tuấn - Hải Phòng (lần 2)
- Đề thi thử THPT Quốc gia 2022 môn Toán Lương Thế Vinh
- Đề thi thử THPT Quốc gia 2022 môn Toán Sở GD&ĐT Hòa Bình (lần 2)
- Đề thi thử THPT Quốc gia 2022 môn Toán Thị xã Quảng Trị - Quảng Trị (lần 1)
- Đề thi thử THPT Quốc gia 2022 môn Toán Sở GD&ĐT Ninh Bình (lần 2)
- Đề thi thử THPT Quốc gia 2022 môn Toán Hồ Nghinh - Quảng Nam (lần 2)
- Đề thi thử THPT Quốc gia 2022 môn Toán Đề số 3
Đề thi thử THPT Quốc gia 2022 môn Toán Đề số 2 được Khoahoc chia sẻ trên đây. Hy vọng với tài liệu này sẽ giúp ích cho các em có thêm tài liệu ôn tập, rèn luyện thêm tại nhà qua đó nâng cao kỹ năng giải đề thi. Chúc các em ôn thi tốt, ngoài ra các em có thể tham khảo thêm các tài liệu khác tại tài liệu học tập lớp 12 này nhé
Xem thêm bài viết khác
- Đề thi thử THPT Quốc gia 2022 môn Toán Đề số 17 Đề thi thử THPT Quốc gia 2022 - có đáp án
- Đề thi thử THPT Quốc gia 2022 môn Toán Đề số 7 Đề thi thử THPT Quốc gia 2022 - có đáp án
- Đề thi thử THPT Quốc gia 2022 môn Toán Đề số 25 Đề thi thử THPT Quốc gia 2022 - có đáp án
- Đề thi thử THPT Quốc gia 2022 môn Toán Đề số 29 Đề thi thử THPT Quốc gia 2022 - có đáp án
- Đề thi thử THPT Quốc gia 2022 môn Toán Đề số 28 Đề thi thử THPT Quốc gia 2022
- Đề thi thử THPT Quốc gia 2022 môn Toán Đề số 27 Đề thi thử THPT Quốc gia 2022
- Đề thi thử THPT Quốc gia 2022 môn Toán Đề số 26 Đề thi thử THPT Quốc gia 2022 - có đáp án
- Đề thi thử THPT Quốc gia 2022 môn Toán Hàn Thuyên - Bắc Ninh (lần 1) Đề thi thử THPT Quốc gia 2022 - có đáp án
- Đề thi thử THPT Quốc gia 2022 môn Toán Trần Phú - Vĩnh Phúc (lần 1) Đề thi thử THPT Quốc gia 2022 - có đáp án
Chủ đề liên quan