Đề thi thử Toán vào 10 trường THCS & THPT Lương Thế Vinh năm 2022 Đề thi thử Toán vào lớp 10 năm 2022
Đề thi thử Toán vào 10 năm 2022
Đề thi thử Toán vào 10 trường THCS & THPT Lương Thế Vinh năm 2022 giúp học sinh làm quen cấu trúc bài thi vào lớp 10 môn Toán đồng thời kiểm tra và đánh giá lại khả năng học tập của bản thân.
- Đề thi khảo sát chất lượng Toán 9
- Đề thi thử vào 10 môn Toán trường THCS Ái Mộ năm 2022
- Đề thi thử Toán vào 10 lần 3 trường THCS & THPT Lương Thế Vinh năm 2022
- Đề thi thử vào 10 môn Toán Bắc Ninh năm 2022
TRƯỜNG THCS & THPT LƯƠNG THẾ VINH | ĐỀ THI THỬ VÀO 10 Năm học: 2022 – 2023 MÔN: TOÁN Thời gian làm bài: 120 phút |
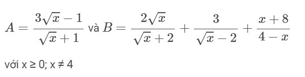
Bài 1: (3 điểm)
Cho các biểu thức:

a. Tính giá trị của biểu thức A khi x = 9
b. Rút gọn biểu thức B
c. Đặt P = A. B. Tìm các giá trị của x để P có giá trị nguyên dương.
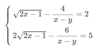
Bài 2: (3 điểm):
1. Giải hệ phương trình sau:

2. Cho các hàm số bậc nhất y = 2x - 3 và y = ax + b có đồ thị lần lượt là các đường thẳng d1 và d2.
a. Vẽ đồ thị của hàm số y = 2x -3
b. Xác định a, b để hai đường thẳng d1 ,d2 song song với nhau và d1, d2 lần lượt tạo với các trục Ox, Oy hai tam giác có tỉ số diện tích bằng 4.
Bài 3: (0.5 điểm) Nhà bạn Minh có một chiếc thang dài 4m. Cần đặt chân thang cách chân tường một khoảng cách bằng bao nhiêu để nó tạo được với mặt đất một góc “an toàn” là 65° (tức là đảm bảo thang không bị đổ khi sử dụng). (làm tròn đến chữ số thập phân thứ hai)
Bài 4: (3 điểm)
Cho đường tròn (O; R) và dây cung BC không đi qua tâm. Hai tiếp tuyến của (O;R) tại B và C cắt nhau ở A. Kẻ đường kính CD và kẻ BH vuông góc với CD tại H
a. Chứng minh 4 điểm A,B,O,C cùng thuộc một đường tròn
b. Chứng minh: OA // BD và BD² = DH . DC
c. Gọi I là giao điểm của BH và AD; M là giao điểm của BC và OA. Chứng minh: IM // CD
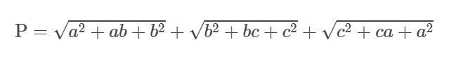
Bài 5: (0,5 điểm) Cho a, b, c là các số dương thỏa mãn điều kiện a + b + c = 1. Tìm giá trị nhỏ nhất của biểu thức:

- Hết -
Đề thi thử vào lớp 10 môn Toán năm 2022 được KhoaHoc cập nhật và đăng tải nhanh nhất với các đề thi đến từ nhiều trường học trên khắp cả nước. Đề thi giúp các em học sinh củng cố, ôn luyện lại kiến thức môn Toán 9 đã được học đồng thời có cơ hội làm quen cấu trúc đề thi thử vào 10 nhằm đạt được kết quả cao trong bài thi chính thức.