- Tất cả
-
Tài liệu hay -
Toán Học -
Soạn Văn - Soạn đầy đủ
- Tiếng Việt 2 tập 2 KNTT
- Tiếng Việt 2 CTST
- Tiếng Việt 2 sách Cánh Diều
- Tiếng Việt 3 tập 2
- Tiếng Việt 3 tập 1
- Tiếng Việt 4 tập 2
- Tiếng Việt 4 tập 1
- Tiếng Việt 5 tập 2
- Tiếng Việt 5 tập 1
- Soạn văn 6
- Soạn văn 7
- Soạn văn 8 tập 1
- Soạn văn 8 tập 2
- Soạn văn 9 tâp 1
- Soạn văn 9 tập 2
- Soạn văn 10 tập 1
- Soạn văn 10 tập 2
- Soạn văn 11
- Soạn văn 12
- Soạn ngắn gọn
- Soạn văn 12 ngắn gọn tập 1
- Soạn văn 12 ngắn gọn tập 2
- Soạn văn 11 ngắn gọn tập 1
- Soạn văn 11 ngắn gọn tập 2
- Soạn văn 10 ngắn gọn tập 1
- Soạn văn 10 ngắn gọn tập 2
- Soạn văn 9 ngắn gọn tập 1
- Soạn văn 9 ngắn gọn tập 2
- Soạn văn 8 ngắn gọn tập 1
- Soạn văn 8 ngắn gọn tập 2
- Soạn văn 7 ngắn gọn tập 1
- Soạn văn 7 ngắn gọn tập 2
- Ngữ văn VNEN
- Đề thi THPT QG môn Ngữ Văn
- Soạn đầy đủ
-
Tiếng Anh -
Vật Lý -
Hóa Học -
Sinh Học -
Lịch Sử -
Địa Lý -
GDCD -
Khoa Học Tự Nhiên -
Khoa Học Xã Hội
-
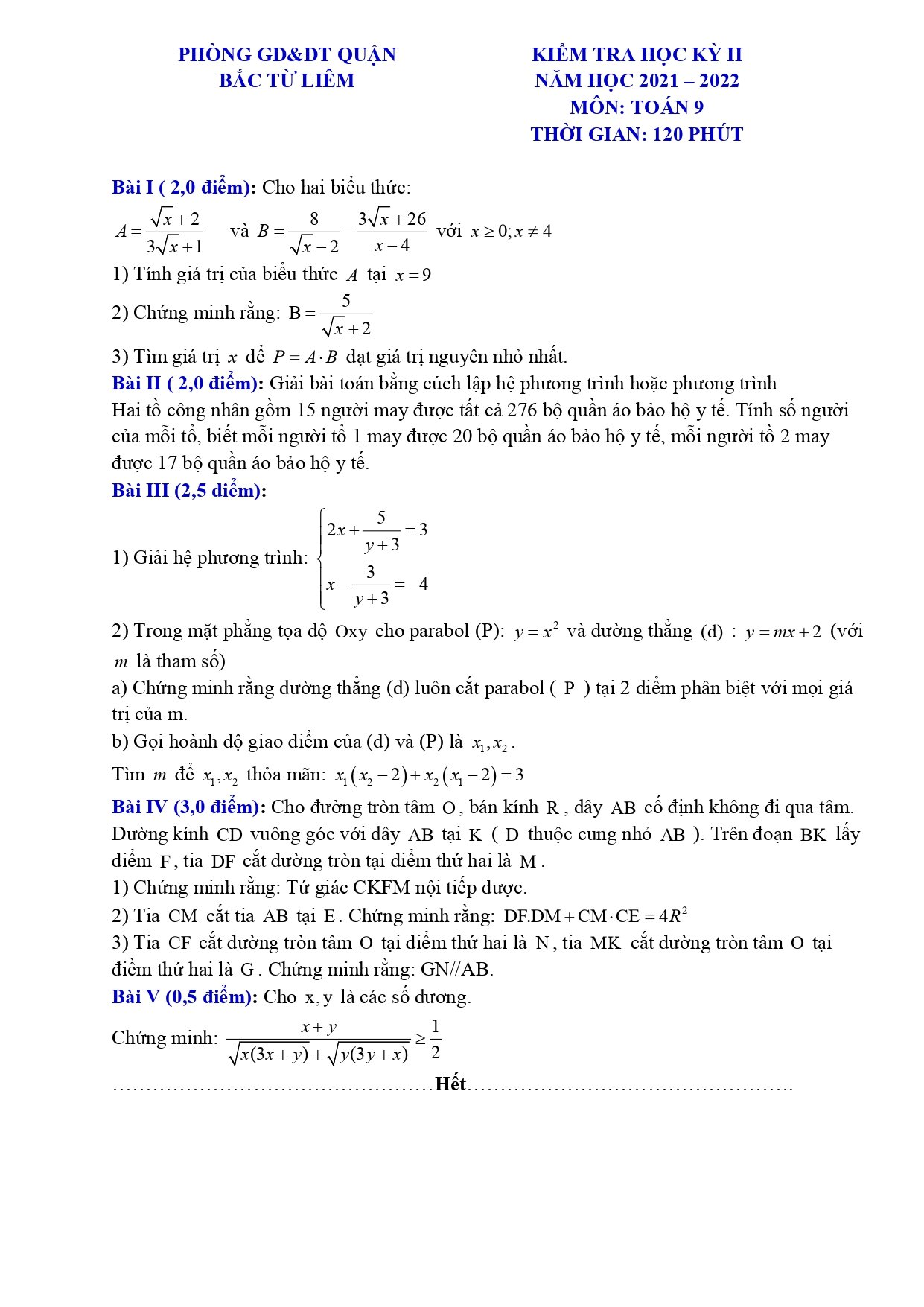
Đề thi thử vào lớp 10 môn Toán phòng GD Bắc Từ Liêm, Hà Nội Đề thi thử vào lớp 10 môn Toán 2022
Đề thi thử Toán vào 10 năm 2022
Để hỗ trợ học sinh trong quá trình ôn thi vào lớp 10 đạt hiệu quả cao, KhoaHoc mời các bạn cùng thử sức với Đề thi thử vào lớp 10 môn Toán phòng GD Bắc Từ Liêm, Hà Nội.
- Đề thi thử vào lớp 10 môn Toán phòng GD Tây Hồ, Hà Nội năm 2022
- Đề thi thử vào lớp 10 môn Toán phòng GD Hai Bà Trưng, Hà Nội năm 2022
- Đề thi thử vào lớp 10 môn Toán phòng GD Thanh Trì năm 2022
- Đề thi thử vào lớp 10 môn Toán thành phố Hà Nội năm 2022 - Đề 14

Đề thi thử vào lớp 10 môn Toán năm 2022 giúp học sinh làm quen cấu trúc bài thi vào lớp 10 môn Toán, luyện tập nhiều dạng đề thi khác nhau nhằm nâng cao năng lực của bản thân cũng như đạt kết quả cao trong bài thi môn Toán vào 10 chính thức. Với mục tiêu hỗ trợ học sinh ôn thi vào lớp 10 tốt nhất, KhoaHoc luôn mang đến những đề thi mới nhất từ nhiều trường học, tỉnh/thành khác nhau trên khắp cả nước.
Tài liệu tham khảo khác
- Đề thi thử vào lớp 10 môn Văn phòng GD Thốt Nốt năm 2022 Đề thi thử vào lớp 10 môn Văn 2022
- Đề thi thử vào lớp 10 môn Toán phòng GD Chương Mỹ, Hà Nội Đề thi thử vào lớp 10 môn Toán 2022
- Đề thi thử vào lớp 10 môn Toán trường THPT chuyên Hà Nội - Amsterdam năm 2022 Đề thi thử vào lớp 10 môn Toán 2022
- Đề thi thử vào lớp 10 môn Toán phòng GD Phú Xuyên, Hà Nội Đề thi thử vào lớp 10 môn Toán 2022
- Đề thi thử vào lớp 10 môn Toán phòng GD Đan Phượng, Hà Nội Đề thi thử vào lớp 10 môn Toán 2022
- Đề thi thử vào lớp 10 môn Toán phòng GD Tây Hồ, Hà Nội năm 2022 Đề thi thử vào lớp 10 môn Toán 2022
- Đề thi thử vào lớp 10 môn Toán phòng GD Long Biên, Hà Nội năm 2022 Đề thi thử vào lớp 10 môn Toán 2022
- Đề thi thử vào lớp 10 môn Toán phòng GD Hai Bà Trưng, Hà Nội năm 2022 Đề thi thử vào lớp 10 môn Toán 2022
- Đề thi thử vào lớp 10 môn Toán phòng GD Hà Đông năm 2022 Đề thi thử vào lớp 10 môn Toán 2022
- Đề thi thử vào lớp 10 môn Toán phòng GD Thanh Trì năm 2022 Đề thi thử vào lớp 10 môn Toán 2022
- Đề thi thử vào lớp 10 THCS Nguyễn Trường Tộ, Thái Thịnh, Láng Thượng, Láng Hạ môn Toán 2022 Đề thi thử vào lớp 10 môn Toán 2022
- Đề thi thử vào lớp 10 môn Toán thành phố Hà Nội năm 2022 - Đề 12 Đề thi thử vào lớp 10 môn Toán 2022
- Đề thi thử vào lớp 10 môn Toán thành phố Hà Nội năm 2022 - Đề 14 Đề thi thử vào lớp 10 môn Toán 2022
- Đề thi học kì 2 lớp 9 môn Toán trường THCS-THPT Đông Du năm 2022 Đề thi học kì 2 Toán 9 năm 2022
- Đề thi thử vào lớp 10 môn Văn trường THCS Quảng Phú năm 2022 Đề thi thử vào lớp 10 môn Văn 2022
Chủ đề liên quan
Mới nhất trong tuần
- Đáp án đề thi vào lớp 10 môn Toán Ninh Thuận năm 2022 Đề thi môn Toán vào lớp 10 Ninh Thuận năm 2022
- Đáp án đề thi vào lớp 10 môn Toán Kiên Giang năm 2022 Đề thi môn Toán vào lớp 10 Kiên Giang năm 2022
- Đáp án đề thi vào lớp 10 môn Toán Sóc Trăng năm 2022 Đề thi môn Toán vào lớp 10 Sóc Trăng năm 2022
- Đề thi tuyển sinh lớp 10 chuyên Toán Quảng Ngãi năm 2022 Đề thi tuyển sinh lớp 10 chuyên Toán Quảng Ngãi năm 2022
- Đáp án đề thi vào lớp 10 môn Toán Trà Vinh năm 2022 Đề thi môn Toán vào lớp 10 Trà Vinh năm 2022
- Đáp án đề thi vào lớp 10 môn Toán Hòa Bình năm 2022 Đề thi môn Toán vào lớp 10 Hòa Bình năm 2022
- Đáp án đề thi vào lớp 10 môn Toán Quảng Ngãi năm 2022 Đề thi môn Toán vào lớp 10 Quảng Ngãi năm 2022
- Đáp án đề thi vào lớp 10 môn Toán Cà Mau năm 2022 Đề thi môn Toán vào lớp 10 Cà Mau năm 2022
- Đề thi tuyển sinh lớp 10 chuyên Toán Hà Nội năm 2022 Đề thi tuyển sinh lớp 10 chuyên Toán Hà Nội năm 2022
- Đề thi tuyển sinh lớp 10 chuyên Toán Lạng Sơn năm 2022 Đề thi tuyển sinh lớp 10 chuyên Toán Lạng Sơn năm 2022