- Tất cả
-
Tài liệu hay -
Toán Học -
Soạn Văn - Soạn đầy đủ
- Tiếng Việt 2 tập 2 KNTT
- Tiếng Việt 2 CTST
- Tiếng Việt 2 sách Cánh Diều
- Tiếng Việt 3 tập 2
- Tiếng Việt 3 tập 1
- Tiếng Việt 4 tập 2
- Tiếng Việt 4 tập 1
- Tiếng Việt 5 tập 2
- Tiếng Việt 5 tập 1
- Soạn văn 6
- Soạn văn 7
- Soạn văn 8 tập 1
- Soạn văn 8 tập 2
- Soạn văn 9 tâp 1
- Soạn văn 9 tập 2
- Soạn văn 10 tập 1
- Soạn văn 10 tập 2
- Soạn văn 11
- Soạn văn 12
- Soạn ngắn gọn
- Soạn văn 12 ngắn gọn tập 1
- Soạn văn 12 ngắn gọn tập 2
- Soạn văn 11 ngắn gọn tập 1
- Soạn văn 11 ngắn gọn tập 2
- Soạn văn 10 ngắn gọn tập 1
- Soạn văn 10 ngắn gọn tập 2
- Soạn văn 9 ngắn gọn tập 1
- Soạn văn 9 ngắn gọn tập 2
- Soạn văn 8 ngắn gọn tập 1
- Soạn văn 8 ngắn gọn tập 2
- Soạn văn 7 ngắn gọn tập 1
- Soạn văn 7 ngắn gọn tập 2
- Ngữ văn VNEN
- Đề thi THPT QG môn Ngữ Văn
- Soạn đầy đủ
-
Tiếng Anh -
Vật Lý -
Hóa Học -
Sinh Học -
Lịch Sử -
Địa Lý -
GDCD -
Khoa Học Tự Nhiên -
Khoa Học Xã Hội
-
Giải sbt toán 6 tập 2: bài tập 79 trang 22
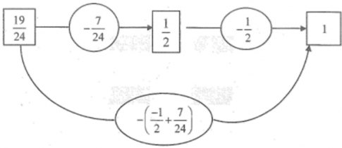
Bài 79: trang 22 sbt Toán 6 tập 2
Hoàn thành sơ đồ sau:

Kiểm tra lại kết quả bằng cách thực hiện phép tính trong ngoặc trước:
![]()
Bài làm:

Kiểm tra
![]()
Cập nhật: 08/09/2021
Xem thêm bài viết khác
- Giải sbt toán 6 tập 2: bài tập 155 trang 40
- Giải sbt toán 6 tập 2: bài tập 16.3 trang 38
- Giải SBT toán 6 tập 2: bài tập 2.1 trang 7
- Giải SBT toán 6 tập 2: bài tập 7.1 trang 18
- Giải sbt toán 6 tập 2: bài tập 100 trang 29
- Giải sbt toán 6 tập 2: bài tập 12.3 trang 31
- Giải SBT toán 6 tập 2: bài tập 2.4 trang 8
- SBT toán 6 tập 2 bài 1: Nửa mặt phẳng Trang 80
- Giải sbt toán 6 tập 2: bài tập 105 trang 30
- SBT toán 6 tập 2 bài 7: Phép cộng phân số Trang 17
- Giải sbt toán 6 tập 2: bài tập 7 trang 82
- Giải sbt toán 6 tập 2: bài tập 11.2 trang 28