Giải VBT toán 4 tập 2 bài: Luyện tập Trang 48
Giải toán lớp 4 tập 2, giải bài Luyện tập Trang 48 vbt toán 4 tập 2, để học tốt toán 4 tập 2 . Bài viết này giúp các em nắm vững được lý thuyết cũng như cách giải các bài tập của bài Luyện tập. Lời giải được biên soạn đầy đủ, chi tiết và rõ ràng
Bài tập 1: Trang 48 vbt toán 4 tập 2
Tính rồi rút gọn
a) ![]()
( Chia cả tử số và mẫu số cho 2)
b) ![]()
( Chia cả tử số và mẫu số cho 4)
c) ![]()
( Chia cả tử số và mẫu số cho 3)
d) ![]()
( Chia cả tử số và mẫu số cho 4)
Bài tập 2: Trang 48 vbt toán 4 tập 2
Tìm x:
a) ![]()
b) ![]()
Hướng dẫn giải:
a)
![]()
X =
: $\frac{3}{8}$ =
x $\frac{8}{3}$
X= ![]()
b)
![]()
X=
=![]()
X= ![]()
Bài tập 3: Trang 48 vbt toán 4 tập 2
Một hình bình hành có diện tích
m2. Chiều cao \({1 \over 3}\) m. Tính độ dài đáy của hình bình hành.
Hướng dẫn giải:
Độ dài cạnh đáy hình bình hành là:
![]()
Đáp số:
(m)
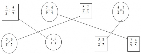
Bài tập 4: Trang 48 vbt toán 4 tập 2
Nối phép chia và nhân (theo mẫu)
Hướng dẫn giải:

Xem thêm bài viết khác
- Giải VBT toán 4 tập 2 bài: Phân số và phép chia số tự nhiên Trang 16
- Giải VBT toán 4 tập 2 bài : Ôn tập về phân số Trang 92,93
- Giải VBT toán 4 tập 2 bài: Luyện tập Trang 44
- Giải VBT toán 4 tập 2 bài : Ôn tập về số tự nhiên Trang 83,84
- Giải VBT toán 4 tập 2 bài : Ôn tập các phép tính với số tự nhiên Trang 87,88
- Giải VBT toán 4 tập 2 bài: Dấu hiệu chia hết cho 2 Trang 3
- Đề thi toán học kì 2 lớp 4 số 1
- Giải VBT toán 4 tập 2 bài: Tìm hai số khi biết tổng và tỉ số của hai số đó Trang 62,63
- Giải VBT toán 4 tập 2 bài: Quy đồng mẫu số các phân số Trang 22
- Giải VBT toán 4 tập 2 bài:Phép trừ phân số Trang 40
- Giải VBT toán 4 tập 2 bài : Luyện tập chung Trang 73,74
- Giải VBT toán 4 tập 2 bài: Luyện tập Trang 49