- Tất cả
-
Tài liệu hay -
Toán Học -
Soạn Văn - Soạn đầy đủ
- Tiếng Việt 2 tập 2 KNTT
- Tiếng Việt 2 CTST
- Tiếng Việt 2 sách Cánh Diều
- Tiếng Việt 3 tập 2
- Tiếng Việt 3 tập 1
- Tiếng Việt 4 tập 2
- Tiếng Việt 4 tập 1
- Tiếng Việt 5 tập 2
- Tiếng Việt 5 tập 1
- Soạn văn 6
- Soạn văn 7
- Soạn văn 8 tập 1
- Soạn văn 8 tập 2
- Soạn văn 9 tâp 1
- Soạn văn 9 tập 2
- Soạn văn 10 tập 1
- Soạn văn 10 tập 2
- Soạn văn 11
- Soạn văn 12
- Soạn ngắn gọn
- Soạn văn 12 ngắn gọn tập 1
- Soạn văn 12 ngắn gọn tập 2
- Soạn văn 11 ngắn gọn tập 1
- Soạn văn 11 ngắn gọn tập 2
- Soạn văn 10 ngắn gọn tập 1
- Soạn văn 10 ngắn gọn tập 2
- Soạn văn 9 ngắn gọn tập 1
- Soạn văn 9 ngắn gọn tập 2
- Soạn văn 8 ngắn gọn tập 1
- Soạn văn 8 ngắn gọn tập 2
- Soạn văn 7 ngắn gọn tập 1
- Soạn văn 7 ngắn gọn tập 2
- Ngữ văn VNEN
- Đề thi THPT QG môn Ngữ Văn
- Soạn đầy đủ
-
Tiếng Anh -
Vật Lý -
Hóa Học -
Sinh Học -
Lịch Sử -
Địa Lý -
GDCD -
Khoa Học Tự Nhiên -
Khoa Học Xã Hội
-
Đáp án đề thi vào lớp 10 môn Toán Bình Dương 2022 Đề thi vào 10 môn Toán tỉnh Bình Dương năm 2022
Đề thi Toán vào 10 Bình Dương năm 2022
Đáp án đề thi vào lớp 10 môn Toán Bình Dương 2022 bao gồm toàn bộ đề thi cùng phần đáp án chi tiết được KhoaHoc đăng tải, mời các bạn cùng tham khảo.
- Đề thi vào 10 môn Toán tỉnh Quảng Ninh năm 2022
- Đề thi vào 10 môn Toán trường chuyên Sư phạm Hà Nội năm 2022
- Đề thi vào lớp 10 môn Văn trường THPT chuyên Lam Sơn, Thanh Hóa năm 2022
- Đề thi vào lớp 10 chuyên Toán trường THPT chuyên Lê Hồng Phong, Nam Định năm 2022
Đáp án Đề thi vào 10 môn Toán tỉnh Bình Dương 2022
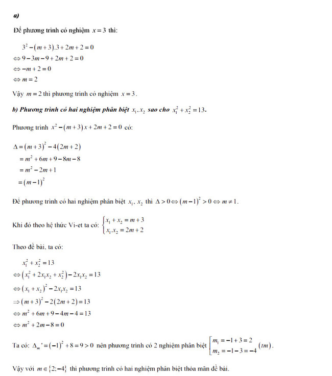
Câu 1

Câu 2

Câu 3

Đề thi vào 10 môn Toán tỉnh Bình Dương 2022

Đề thi vào lớp 10 môn Toán năm 2022 được KhoaHoc tổng hợp và đăng tải nhanh nhất nhằm giúp học sinh ôn thi vào lớp 10 đạt hiệu quả. Học sinh luyện đề nhiều để làm quen cấu trúc đề thi vào lớp 10 môn Toán, nắm được các mẫu bài tập Toán 9 khác nhau nhằm nâng cao năng lực của bản thân cũng như đạt kết quả cao trong bài thi môn Toán vào 10 chính thức.
Tài liệu tham khảo khác
- Đáp án đề thi vào lớp 10 môn Toán Bắc Giang năm 2022 Đề thi môn Toán lớp 10 tỉnh Bắc Giang năm 2022
- Đáp án đề thi vào lớp 10 môn Văn Vĩnh Long năm 2022 Đề thi môn Văn vào 10 tỉnh Vĩnh Long năm 2022
- Đáp án đề thi vào lớp 10 môn Văn Vĩnh Phúc năm 2022 Đề thi môn Văn vào 10 tỉnh Vĩnh Phúc năm 2022
- Đề thi thử vào 10 môn Văn phòng GD Cẩm Thủy năm 2022 Đề thi thử vào 10 môn Văn 2022
- Đề thi thử vào 10 môn Toán thành phố Hà Nội năm 2022 - Đề 26 Đề thi thử vào 10 môn Toán 2022
- Đáp án đề thi vào lớp 10 môn Văn Khánh Hòa năm 2022 Đề thi môn Văn vào 10 tỉnh Khánh Hòa năm 2022
- Đáp án đề thi vào lớp 10 môn Toán Khánh Hòa năm 2022 Đề thi môn Toán lớp 10 tỉnh Khánh Hòa năm 2022
- Đáp án đề thi vào lớp 10 môn Toán Điện Biên năm 2022 Đề thi vào 10 môn Toán Điện Biên năm 2022
- Bộ Đề thi 6 môn chuyên vào lớp 10 trường Sư phạm Hà Nội Đề thi vào lớp 10 trường Sư phạm Hà Nội
- Đáp án Đề thi vào 10 môn Văn tỉnh Điện Biên năm 2022 Đề thi tuyển sinh vào 10 môn Văn 2022
- Đáp án đề thi tuyển sinh lớp 10 môn Anh tỉnh Quảng Ninh năm 2022 Đề thi vào 10 môn tiếng Anh có đáp án
- Đề thi vào 10 môn Toán tỉnh Quảng Ninh năm 2022 Đáp án đề thi vào lớp 10 môn Toán Quảng Ninh 2022
- Đề thi vào 10 môn Toán trường THPT chuyên Lam Sơn, Thanh Hóa năm 2022 Đề thi vào 10 môn Toán 2022
- Đề thi vào 10 môn Toán trường chuyên Sư phạm Hà Nội năm 2022 Đề thi vào 10 môn Toán 2022
- Đề thi tuyển sinh lớp 10 môn Anh tỉnh Bình Dương năm 2022 Đề thi vào 10 môn tiếng Anh có đáp án
- Đề thi vào 10 môn Văn tỉnh Bình Dương năm 2022 Đề thi tuyển sinh vào 10 môn Văn 2022
- Đề thi vào 10 môn Văn tỉnh Quảng Ninh năm 2022 Đề thi tuyển sinh vào 10 môn Văn 2022
Chủ đề liên quan
Mới nhất trong tuần
- Đáp án đề thi vào lớp 10 môn Toán Ninh Thuận năm 2022 Đề thi môn Toán vào lớp 10 Ninh Thuận năm 2022
- Đáp án đề thi vào lớp 10 môn Toán Kiên Giang năm 2022 Đề thi môn Toán vào lớp 10 Kiên Giang năm 2022
- Đáp án đề thi vào lớp 10 môn Toán Sóc Trăng năm 2022 Đề thi môn Toán vào lớp 10 Sóc Trăng năm 2022
- Đề thi tuyển sinh lớp 10 chuyên Toán Quảng Ngãi năm 2022 Đề thi tuyển sinh lớp 10 chuyên Toán Quảng Ngãi năm 2022
- Đáp án đề thi vào lớp 10 môn Toán Trà Vinh năm 2022 Đề thi môn Toán vào lớp 10 Trà Vinh năm 2022
- Đáp án đề thi vào lớp 10 môn Toán Hòa Bình năm 2022 Đề thi môn Toán vào lớp 10 Hòa Bình năm 2022
- Đáp án đề thi vào lớp 10 môn Toán Quảng Ngãi năm 2022 Đề thi môn Toán vào lớp 10 Quảng Ngãi năm 2022
- Đáp án đề thi vào lớp 10 môn Toán Cà Mau năm 2022 Đề thi môn Toán vào lớp 10 Cà Mau năm 2022
- Đề thi tuyển sinh lớp 10 chuyên Toán Hà Nội năm 2022 Đề thi tuyển sinh lớp 10 chuyên Toán Hà Nội năm 2022
- Đề thi tuyển sinh lớp 10 chuyên Toán Lạng Sơn năm 2022 Đề thi tuyển sinh lớp 10 chuyên Toán Lạng Sơn năm 2022