Đề thi thử THPT Quốc gia 2022 môn Toán Đề số 15 Đề thi thử THPT Quốc gia 2022 - có đáp án
Đề thi thử THPT Quốc gia 2022 môn Toán Đề số 15 được Khoahoc sưu tầm và đăng tải. Đề thi gồm 50 câu hỏi trắc nghiệm kèm theo đáp án, với thời gian 90 phút để các em ôn tập, củng cố kiến thức làm quen với nhiều dạng đề thi khác nhau, từ đó chuẩn bị tốt cho kì thi THPT sắp tới. Dưới đây là nội dung của đề thi, các em tham khảo nhé.
Đề thi thử THPT Quốc gia 2022 môn Toán
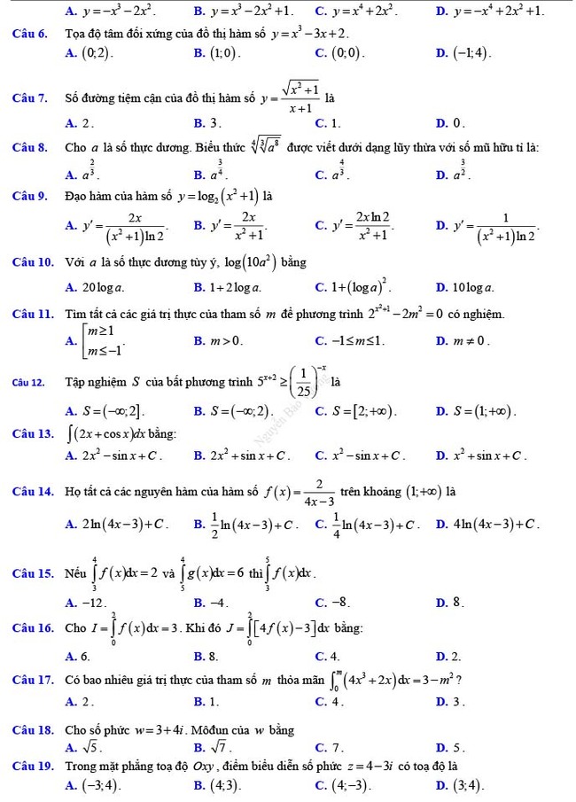
1. Đề thi thử THPT Quốc gia 2022 môn Toán Đề số 15






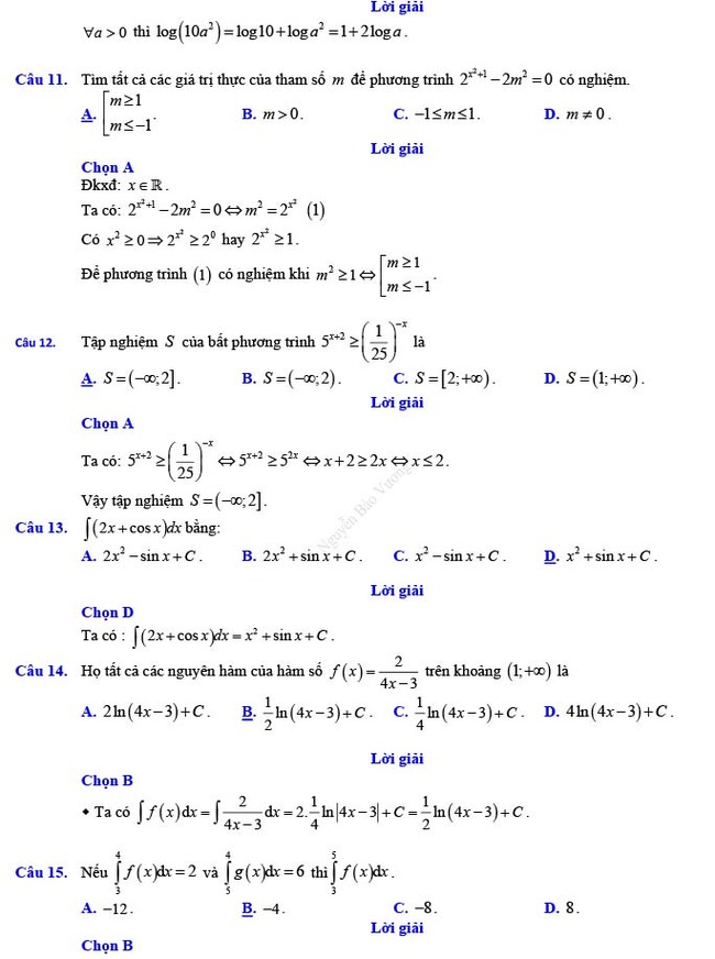
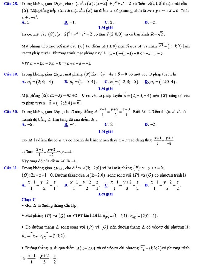
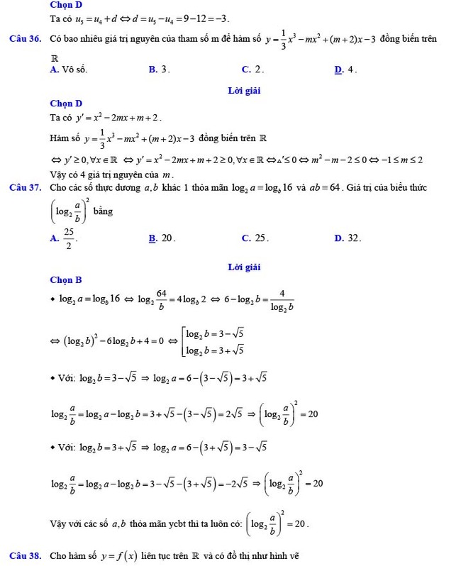
2. Đáp án đề thi thử THPT Quốc gia 2022 môn Toán Đề số 15

















3. Tham khảo Đề thi thử THPT Quốc Gia 2022 môn Toán
- Đề thi thử THPT Quốc gia 2022 môn Toán Sở GD&ĐT Hòa Bình (lần 2)
- Đề thi thử THPT Quốc gia 2022 môn Toán Thị xã Quảng Trị - Quảng Trị (lần 1)
- Đề thi thử THPT Quốc gia 2022 môn Toán Sở GD&ĐT Ninh Bình (lần 2)
- Đề thi thử THPT Quốc gia 2022 môn Toán Hồ Nghinh - Quảng Nam (lần 2)
- Đề thi thử THPT Quốc gia 2022 môn Toán Đề số 1
- Đề thi thử THPT Quốc gia 2022 môn Toán Đề số 2
- Đề thi thử THPT Quốc gia 2022 môn Toán Đề số 3
- Đề thi thử THPT Quốc gia 2022 môn Toán Đề số 4
- Đề thi thử THPT Quốc gia 2022 môn Toán Đề số 5
- Đề thi thử THPT Quốc gia 2022 môn Toán Đề số 6
- Đề thi thử THPT Quốc gia 2022 môn Toán Đề số 7
- Đề thi thử THPT Quốc gia 2022 môn Toán Đề số 8
- Đề thi thử THPT Quốc gia 2022 môn Toán Đề số 9
- Đề thi thử THPT Quốc gia 2022 môn Toán Đề số 10
- Đề thi thử THPT Quốc gia 2022 môn Toán Đề số 11
- Đề thi thử THPT Quốc gia 2022 môn Toán Đề số 12
- Đề thi thử THPT Quốc gia 2022 môn Toán Đề số 13
- Đề thi thử THPT Quốc gia 2022 môn Toán Đề số 16
Đề thi thử THPT Quốc gia 2022 môn Toán Đề số 15 được Khoahoc chia sẻ trên đây. Hy vọng với đề thi kèm đáp án này sẽ giúp ích cho các em có thêm tài liệu tham khảo trong thời gian ôn tập, chuẩn bị cho kì thi tốt nghiệp THPT sắp tới. Chúc các em ôn thi tốt, ngoài ra các em có thể tham khảo thêm các tài liệu khác tại tài liệu học tập lớp 12 này nhé
Xem thêm bài viết khác
- Đề thi thử THPT Quốc gia 2022 môn Toán Kim Liên - Hà Nội (lần 1) Đề thi thử THPT Quốc gia 2022 - có đáp án
- Đề thi thử THPT Quốc gia 2022 môn Toán Sở GD&ĐT Sơn La Đề thi thử THPT Quốc gia 2022 - có đáp án
- Đề thi thử THPT Quốc gia 2022 môn Toán Đô Lương 1 - Nghệ An Đề thi thử THPT Quốc gia 2022 - có đáp án
- Đề thi thử THPT Quốc gia 2022 môn Toán Sở GD&ĐT Bình Thuận Đề thi thử THPT Quốc gia 2022 - có đáp án
- Đề thi thử THPT Quốc gia 2022 môn Toán Đông Triều - Quảng Ninh Đề thi thử THPT Quốc gia 2022 - có đáp án
- Đề thi thử THPT Quốc gia 2022 môn Toán Ngô Gia Tự - Đắk Lắk Đề thi thử THPT Quốc gia 2022 - có đáp án
- Đề thi thử THPT Quốc gia 2022 môn Toán Lê Lai - Thanh Hóa (lần 2) Đề thi thử THPT Quốc gia 2022 - có đáp án
Chủ đề liên quan