Đề thi thử THPT Quốc gia 2022 môn Toán Kim Liên - Hà Nội (lần 1) Đề thi thử THPT Quốc gia 2022 - có đáp án
Đề thi thử THPT Quốc gia 2022 môn Toán Kim Liên - Hà Nội (lần 1) được Khoahoc sưu tầm và đăng tải. Đề thi gồm 50 câu hỏi trắc nghiệm, với thời gian 90 phút kèm theo đáp án. Dưới đây là nội dung chi tiết đề thi, các em tham khảo nhé.
Đề thi thử THPT Quốc gia 2022 môn Toán
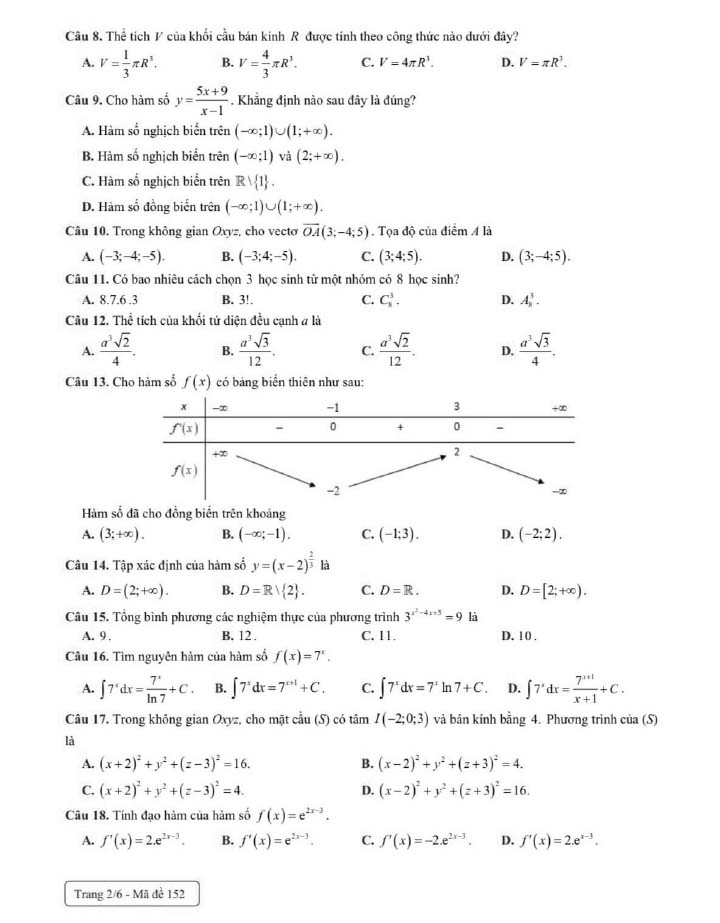
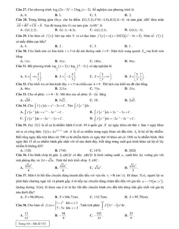
1. Đề thi thử THPT Quốc gia 2022 môn Toán Kim Liên - Hà Nội (lần 1)






2. Đề thi thử THPT Quốc gia 2022 môn Toán Kim Liên lần 1
| Câu | Đ/a | Câu | Đ/a | Câu | Đ/a | Câu | Đ/a | Câu | Đ/a |
|---|---|---|---|---|---|---|---|---|---|
| 1 | A | 11 | C | 21 | D | 31 | B | 41 | A |
| 2 | B | 12 | C | 22 | D | 32 | B | 42 | B |
| 3 | B | 13 | C | 23 | C | 33 | B | 43 | D |
| 4 | B | 14 | A | 24 | B | 34 | C | 44 | B |
| 5 | D | 15 | D | 25 | B | 35 | C | 45 | C |
| 6 | B | 16 | A | 26 | D | 36 | B | 46 | A |
| 7 | D | 17 | A | 27 | D | 37 | C | 47 | A |
| 8 | B | 18 | A | 28 | D | 38 | B | 48 | A |
| 9 | B | 19 | D | 29 | D | 39 | C | 49 | D |
| 10 | D | 20 | C | 30 | B | 40 | A | 50 | D |
3. Tham khảo Đề thi thử THPT Quốc Gia 2022 môn Toán
- Đề thi thử THPT Quốc gia 2022 môn Toán Trần Phú - Vĩnh Phúc (lần 2)
- Đề thi thử THPT Quốc gia 2022 môn Toán Trường THPT Nho Quan A
- Lịch thi tốt nghiệp THPT năm 2022
- Đề thi thử THPT Quốc gia 2022 môn Toán Sở GD&ĐT Hà Nội
- Đề thi thử THPT Quốc gia 2022 môn Toán Lương Tài 2 - Bắc Ninh (lần 3)
- Đề thi thử THPT Quốc gia 2022 môn Toán trường THPT Phan Đình Phùng - Quảng Bình
- Đề thi thử THPT Quốc gia 2022 môn Toán Chuyên Lam Sơn - Thanh Hóa (lần 1)
- Đề thi thử THPT Quốc gia 2022 môn Toán Trường THPT Xuân Đỉnh
- Đề thi thử THPT Quốc gia 2022 môn Toán Đề số 28
- Đề thi thử THPT Quốc gia 2022 môn Toán Đề số 29
- Đề thi thử THPT Quốc gia 2022 môn Toán Đề số 26
- Đề thi thử THPT Quốc gia 2022 môn Toán Đề số 27
- Đề thi thử THPT Quốc gia 2022 môn Toán Lê Lai - Thanh Hóa (lần 3)
- Đề thi thử THPT Quốc gia 2022 môn Toán Đề số 25
- Đề thi thử THPT Quốc gia 2022 môn Toán Đông Triều - Quảng Ninh
- Đề thi thử THPT Quốc gia 2022 môn Toán Sở GD&ĐT Bình Thuận
- Đề thi thử THPT Quốc gia 2022 môn Toán Đô Lương 1 - Nghệ An
- Đề thi thử THPT Quốc gia 2022 môn Toán Sở GD&ĐT Bạc Liêu cụm 3
Đề thi thử THPT Quốc gia 2022 môn Toán Kim Liên - Hà Nội (lần 1) được Khoahoc chia sẻ trên đây. Hy vọng với đề thi này sẽ giúp ích cho các em có thêm tài liệu ôn tập, làm quen với nhiều dạng đề thi khác nhau, từ đó chuẩn bị tốt cho kì thi tốt nghiệp THPT sắp tới. Ngoài ra các em có thể tham khảo thêm các tài liệu khác tại tài liệu học tập lớp 12 này nhé
Xem thêm bài viết khác
- Mở bài Tây tiến đoạn 3 Bài thơ Tây Tiến - Văn mẫu 12
- Đề thi thử THPT Quốc gia 2022 môn Toán Cụm trường Bắc Ninh Đề thi thử THPT Quốc gia 2022
- Đề thi thử THPT Quốc gia 2022 môn Toán Chuyên Võ Nguyên Giáp Đề thi thử THPT Quốc gia 2022
- Đề thi thử THPT Quốc gia 2022 môn Toán Liên Trường - Hà Tĩnh Đề thi thử THPT Quốc gia 2022 - có đáp án
- Đề thi thử THPT Quốc gia 2022 môn Toán Đề số 20 Đề thi thử THPT Quốc gia 2022 - có đáp án
- Đề thi thử THPT Quốc gia 2022 môn Toán Đề số 19 Đề thi thử THPT Quốc gia 2022 - có đáp án
- Đề thi thử THPT Quốc gia 2022 môn Toán Đề số 15 Đề thi thử THPT Quốc gia 2022 - có đáp án
- Đề thi thử THPT Quốc gia 2022 môn Toán Hàn Thuyên - Bắc Ninh (lần 1) Đề thi thử THPT Quốc gia 2022 - có đáp án
- Đề thi thử THPT Quốc gia 2022 môn Toán Trần Phú - Vĩnh Phúc (lần 1) Đề thi thử THPT Quốc gia 2022 - có đáp án
- Đề thi thử THPT Quốc gia 2022 môn Toán Sở GD&ĐT Nghệ An Đề thi thử THPT Quốc gia 2022
- Đề thi thử THPT Quốc gia 2022 môn Toán Chuyên Hạ Long (lần 3) Đề thi thử THPT Quốc gia 2022 - có đáp án
- Tóm tắt Người lái đò sông Đà (5 mẫu) Người lái đò sông Đà - Văn mẫu 12
- Cảm nhận bài thơ Tây Tiến của Quang Dũng (4 mẫu) Cảm nhận Tây Tiến - Văn mẫu 12
Chủ đề liên quan