Đề thi thử THPT Quốc gia 2022 môn Toán Đề số 19 Đề thi thử THPT Quốc gia 2022 - có đáp án
Đề thi thử THPT Quốc gia 2022 môn Toán Đề số 19 được Khoahoc sưu tầm và đăng tải. Đề thi gồm 50 câu hỏi kèm theo đáp án, với thời gian thi là 90 phút để các em so sánh đánh giá kết quả, làm quen thêm nhiều dạng đề thi thử THPT khác nhau, qua đó chuẩn bị tốt cho kì thi sắp tới. Mời các em tham khảo đề thi dưới đây
Đề thi thử THPT Quốc gia 2022 môn Toán
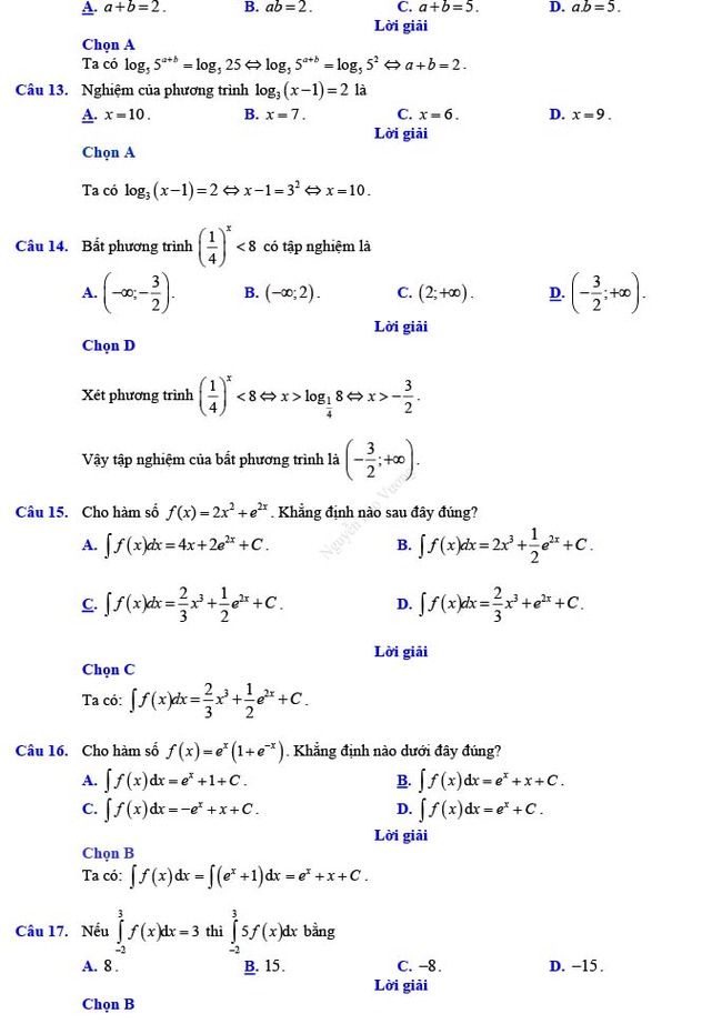
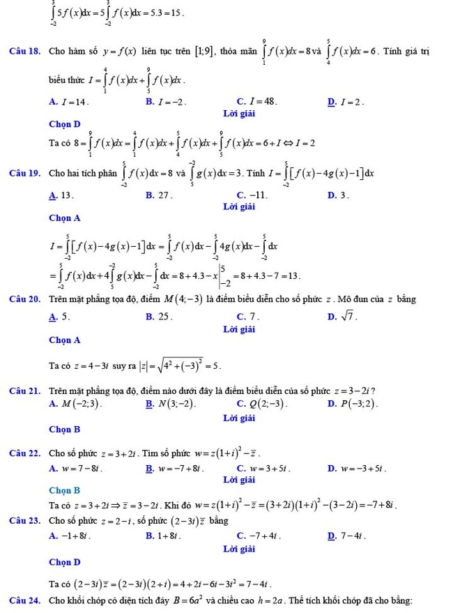
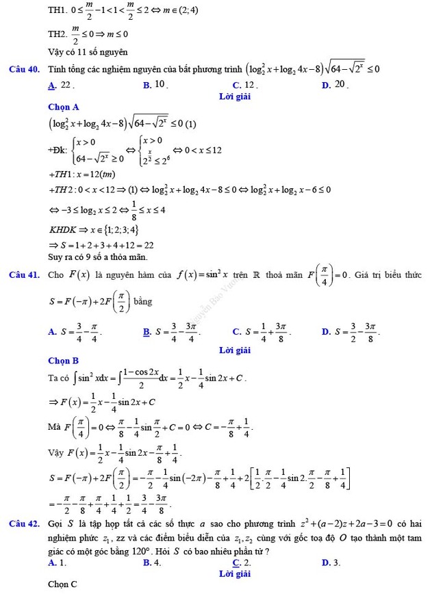
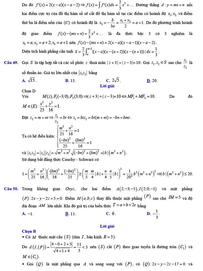
1. Đề thi thử THPT Quốc gia 2022 môn Toán Đề số 19






2. Đáp án đề thi thử THPT Quốc gia 2022 môn Toán Đề số 19


















3. Tham khảo Đề thi thử THPT Quốc Gia 2022 môn Toán
- Đề thi thử THPT Quốc gia 2022 môn Toán Thị xã Quảng Trị - Quảng Trị (lần 1)
- Đề thi thử THPT Quốc gia 2022 môn Toán Sở GD&ĐT Ninh Bình (lần 2)
- Đề thi thử THPT Quốc gia 2022 môn Toán Hồ Nghinh - Quảng Nam (lần 2)
- Đề thi thử THPT Quốc gia 2022 môn Toán Đề số 1
- Đề thi thử THPT Quốc gia 2022 môn Toán Đề số 2
- Đề thi thử THPT Quốc gia 2022 môn Toán Đề số 3
- Đề thi thử THPT Quốc gia 2022 môn Toán Đề số 4
- Đề thi thử THPT Quốc gia 2022 môn Toán Đề số 5
- Đề thi thử THPT Quốc gia 2022 môn Toán Đề số 6
- Đề thi thử THPT Quốc gia 2022 môn Toán Đề số 7
- Đề thi thử THPT Quốc gia 2022 môn Toán Đề số 8
- Đề thi thử THPT Quốc gia 2022 môn Toán Đề số 9
- Đề thi thử THPT Quốc gia 2022 môn Toán Đề số 10
- Đề thi thử THPT Quốc gia 2022 môn Toán Đề số 11
- Đề thi thử THPT Quốc gia 2022 môn Toán Đề số 12
- Đề thi thử THPT Quốc gia 2022 môn Toán Đề số 13
- Đề thi thử THPT Quốc gia 2022 môn Toán Đề số 14
- Đề thi thử THPT Quốc gia 2022 môn Toán Đề số 15
- Đề thi thử THPT Quốc gia 2022 môn Toán Đề số 16
- Đề thi thử THPT Quốc gia 2022 môn Toán Đề số 17
- Đề thi thử THPT Quốc gia 2022 môn Toán Đề số 20
Đề thi thử THPT Quốc gia 2022 môn Toán Đề số 19 được Khoahoc chia sẻ trên đây. Hy vọng với đề thi này các em sẽ có thêm tài liệu ôn tập, củng cố kiến thức cũng như nâng cao kỹ năng giải đề thi. Chúc các em ôn thi tốt, ngoài ra các em có thể tham khảo thêm các tài liệu khác tại tài liệu học tập lớp 12 này nhé
Xem thêm bài viết khác
- Đề thi thử THPT Quốc gia 2022 môn Toán Kim Liên - Hà Nội (lần 1) Đề thi thử THPT Quốc gia 2022 - có đáp án
- Đề thi thử THPT Quốc gia 2022 môn Toán Sở GD&ĐT Sơn La Đề thi thử THPT Quốc gia 2022 - có đáp án
- Đề thi thử THPT Quốc gia 2022 môn Toán Đô Lương 1 - Nghệ An Đề thi thử THPT Quốc gia 2022 - có đáp án
- Đề thi thử THPT Quốc gia 2022 môn Toán Sở GD&ĐT Bình Thuận Đề thi thử THPT Quốc gia 2022 - có đáp án
- Đề thi thử THPT Quốc gia 2022 môn Toán Đông Triều - Quảng Ninh Đề thi thử THPT Quốc gia 2022 - có đáp án
- Đề thi thử THPT Quốc gia 2022 môn Toán Ngô Gia Tự - Đắk Lắk Đề thi thử THPT Quốc gia 2022 - có đáp án
Chủ đề liên quan