Đề thi thử THPT Quốc gia 2022 môn Toán Liên Trường - Hà Tĩnh Đề thi thử THPT Quốc gia 2022 - có đáp án
Đề thi thử THPT Quốc gia 2022 môn Toán Liên Trường - Hà Tĩnh được Khoahoc sưu tầm và đăng tải. Đề thi gồm 50 câu hỏi trắc nghiệm, thời gian 90 phút kèm theo đáp án để các em so sánh đánh giá kết quả, việc tham khảo thêm đề thi của các tỉnh khác sẽ giúp các em nâng cao kỹ năng giải đề thi. Dưới đây là nội dung chi tiết của đề thi, các em tham khảo nhé
Đề thi thử THPT Quốc gia 2022 môn Toán
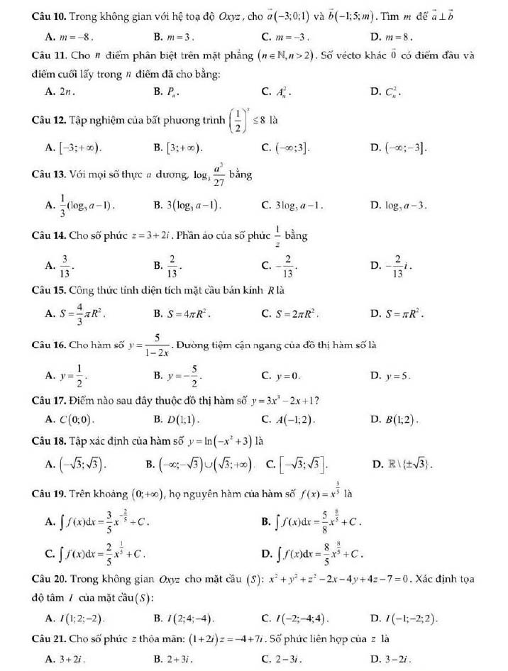
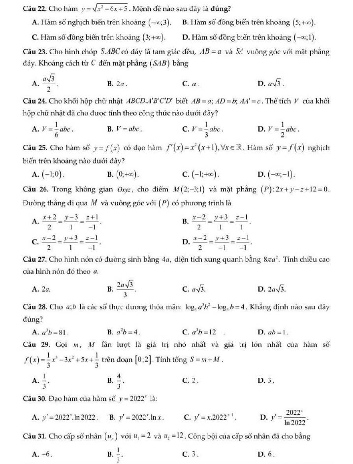
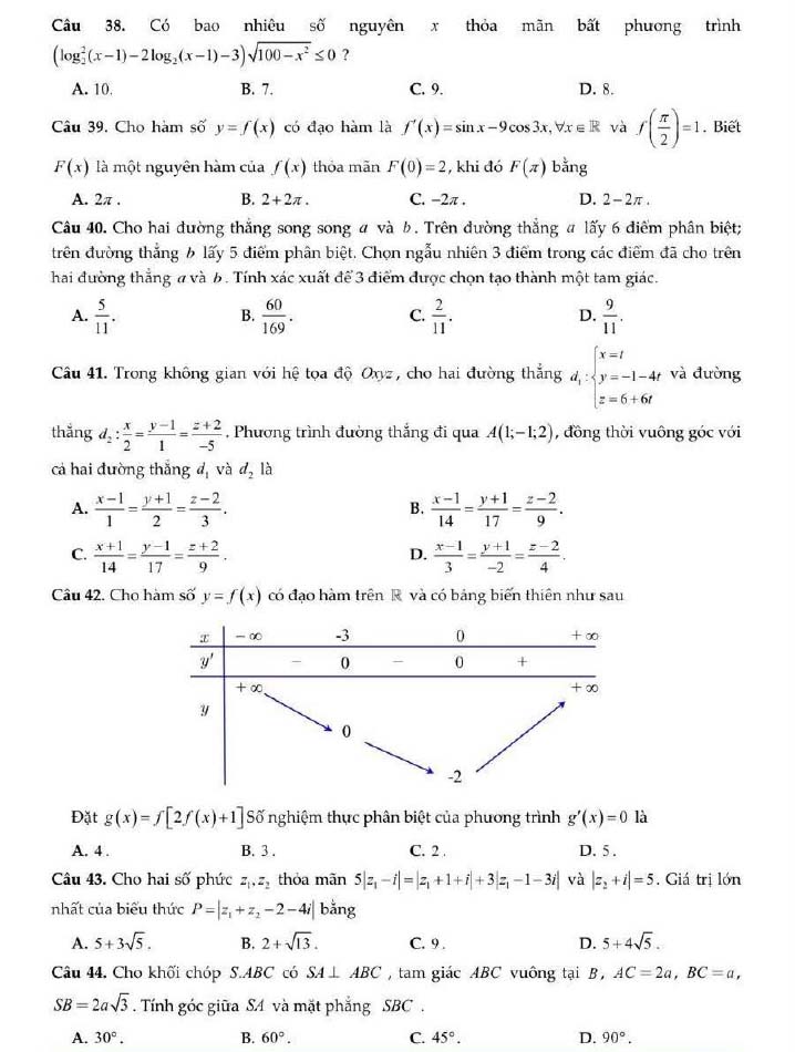
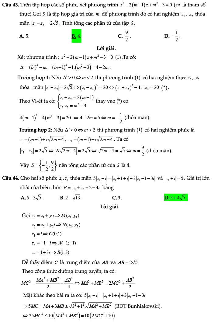
1. Đề thi thử THPT Quốc gia 2022 môn Toán Liên Trường - Hà Tĩnh






2. Đáp án đề thi thử THPT Quốc gia 2022 môn Toán Liên Trường - Hà Tĩnh
| Câu | Đ/a | Câu | Đ/a | Câu | Đ/a | Câu | Đ/a | Câu | Đ/a |
|---|---|---|---|---|---|---|---|---|---|
| 1 | D | 11 | C | 21 | C | 31 | D | 41 | B |
| 2 | C | 12 | A | 22 | B | 32 | D | 42 | A |
| 3 | A | 13 | B | 23 | A | 33 | B | 43 | D |
| 4 | A | 14 | C | 24 | B | 34 | C | 44 | A |
| 5 | B | 15 | B | 25 | D | 35 | D | 45 | C |
| 6 | B | 16 | C | 26 | C | 36 | B | 46 | B |
| 7 | B | 17 | D | 27 | D | 37 | A | 47 | D |
| 8 | C | 18 | A | 28 | A | 38 | C | 48 | A |
| 9 | B | 19 | B | 29 | D | 39 | C | 49 | A |
| 10 | C | 20 | A | 30 | A | 40 | D | 50 | D |






3. Tham khảo Đề thi thử THPT Quốc Gia 2022 môn Toán
- Đề thi thử THPT Quốc gia 2022 môn Toán Sở GD&ĐT Ninh Bình (lần 2)
- Đề thi thử THPT Quốc gia 2022 môn Toán Hồ Nghinh - Quảng Nam (lần 2)
- Đề thi thử THPT Quốc gia 2022 môn Toán Đề số 1
- Đề thi thử THPT Quốc gia 2022 môn Toán Đề số 2
- Đề thi thử THPT Quốc gia 2022 môn Toán Đề số 3
- Đề thi thử THPT Quốc gia 2022 môn Toán Đề số 4
- Đề thi thử THPT Quốc gia 2022 môn Toán Đề số 5
- Đề thi thử THPT Quốc gia 2022 môn Toán Đề số 6
- Đề thi thử THPT Quốc gia 2022 môn Toán Đề số 7
- Đề thi thử THPT Quốc gia 2022 môn Toán Đề số 8
- Đề thi thử THPT Quốc gia 2022 môn Toán Đề số 9
- Đề thi thử THPT Quốc gia 2022 môn Toán Đề số 10
- Đề thi thử THPT Quốc gia 2022 môn Toán Đề số 11
- Đề thi thử THPT Quốc gia 2022 môn Toán Đề số 12
- Đề thi thử THPT Quốc gia 2022 môn Toán Đề số 13
- Đề thi thử THPT Quốc gia 2022 môn Toán Đề số 14
- Đề thi thử THPT Quốc gia 2022 môn Toán Đề số 15
- Đề thi thử THPT Quốc gia 2022 môn Toán Đề số 16
- Đề thi thử THPT Quốc gia 2022 môn Toán Đề số 17
- Đề thi thử THPT Quốc gia 2022 môn Toán Đề số 18
- Đề thi thử THPT Quốc gia 2022 môn Toán Nguyễn Đình Chiểu - Tiền Giang
Đề thi thử THPT Quốc gia 2022 môn Toán Liên Trường - Hà Tĩnh được Khoahoc chia sẻ trên đây. Hy vọng đề thi này sẽ giúp ích cho các em có thêm tài liệu tham khảo, trau dồi thêm kỹ năng giải đề đồng thời chuẩn bị tốt cho kì thi THPT sắp tới. Chúc các em ôn thi tốt, ngoài ra các em có thể tham khảo thêm các tài liệu khác tại tài liệu học tập lớp 12 này nhé
Xem thêm bài viết khác
- Đề thi thử THPT Quốc gia 2022 môn Toán Đề số 22 Đề thi thử THPT Quốc gia 2022 - có đáp án
- Đề thi thử THPT Quốc gia 2022 môn Toán Đồng Lộc - Hà Tĩnh Đề thi thử THPT Quốc gia 2022 - có đáp án
- Đề thi thử THPT Quốc gia 2022 môn Toán Sở GD&ĐT Bạc Liêu cụm 3 Đề thi thử THPT Quốc gia 2022 - có đáp án
- Đề thi thử THPT Quốc gia 2022 môn Toán Kim Liên - Hà Nội (lần 1) Đề thi thử THPT Quốc gia 2022 - có đáp án
- Đề thi thử THPT Quốc gia 2022 môn Toán Sở GD&ĐT Sơn La Đề thi thử THPT Quốc gia 2022 - có đáp án
- Đề thi thử THPT Quốc gia 2022 môn Toán Đô Lương 1 - Nghệ An Đề thi thử THPT Quốc gia 2022 - có đáp án
- Đề thi thử THPT Quốc gia 2022 môn Toán Sở GD&ĐT Bình Thuận Đề thi thử THPT Quốc gia 2022 - có đáp án
Chủ đề liên quan