Đề thi thử THPT Quốc gia 2022 môn Toán Đồng Lộc - Hà Tĩnh Đề thi thử THPT Quốc gia 2022 - có đáp án
Đề thi thử THPT Quốc gia 2022 môn Toán Đồng Lộc - Hà Tĩnh được Khoahoc sưu tầm và đăng tải. Nhằm giúp các em học sinh lớp 12 ôn tập lại kiến thức môn Toán, tích lũy thêm cho bản thân mình những kinh nghiệm giải đề hay, đồng thời biết cách phân bổ thời gian làm bài sao cho hợp lý để đạt được điểm số cao cho kì thi THPT sắp tới. Sau đây là đề thi mời các em tải về tham khảo
Đề thi thử THPT Quốc gia 2022 môn Toán
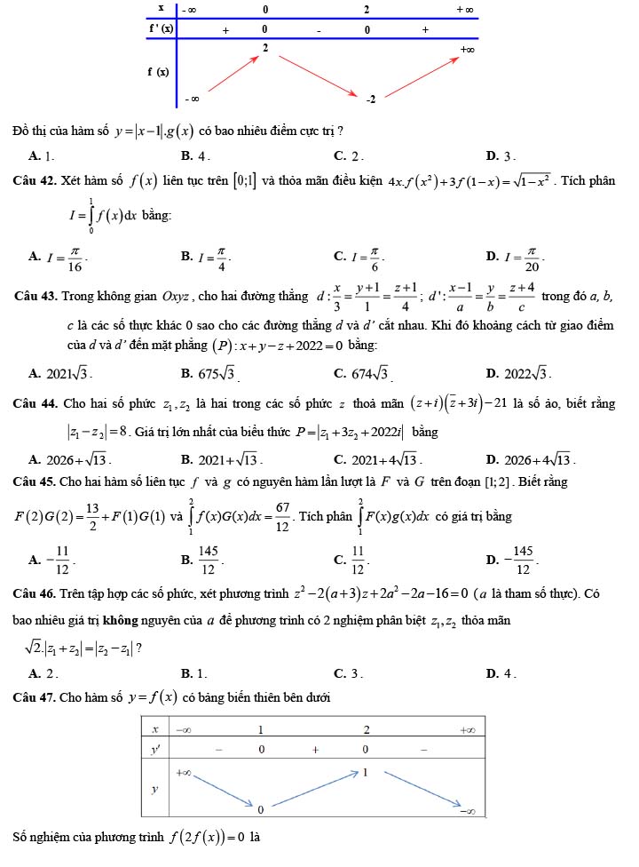
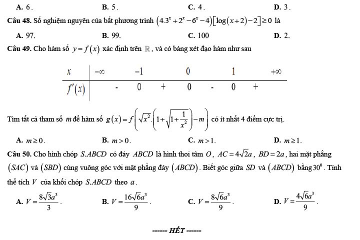
1. Đề thi thử THPT Quốc gia 2022 môn Toán Đồng Lộc - Hà Tĩnh






2. Đáp án đề thi thử THPT Quốc gia 2022 môn Toán Đồng Lộc
| Câu | Đ/a | Câu | Đ/a | Câu | Đ/a | Câu | Đ/a | Câu | Đ/a |
|---|---|---|---|---|---|---|---|---|---|
| 1 | A | 11 | C | 21 | A | 31 | B | 41 | D |
| 2 | D | 12 | A | 22 | B | 32 | A | 42 | D |
| 3 | B | 13 | A | 23 | A | 33 | A | 43 | C |
| 4 | B | 14 | B | 24 | A | 34 | C | 44 | D |
| 5 | A | 15 | D | 25 | D | 35 | D | 45 | C |
| 6 | A | 16 | B | 26 | A | 36 | D | 46 | C |
| 7 | D | 17 | D | 27 | B | 37 | C | 47 | C |
| 8 | A | 18 | C | 28 | D | 38 | C | 48 | B |
| 9 | D | 19 | D | 29 | B | 39 | A | 49 | C |
| 10 | D | 20 | A | 30 | D | 40 | A | 50 | D |
3. Tham khảo Đề thi thử THPT Quốc Gia 2022 môn Toán
- Đề thi thử THPT Quốc gia 2022 môn Toán Trần Phú - Vĩnh Phúc (lần 2)
- Đề thi thử THPT Quốc gia 2022 môn Toán Trường THPT Nho Quan A
- Lịch thi tốt nghiệp THPT năm 2022
- Đề thi thử THPT Quốc gia 2022 môn Toán Sở GD&ĐT Hà Nội
- Đề thi thử THPT Quốc gia 2022 môn Toán Lương Tài 2 - Bắc Ninh (lần 3)
- Đề thi thử THPT Quốc gia 2022 môn Toán trường THPT Phan Đình Phùng - Quảng Bình
- Đề thi thử THPT Quốc gia 2022 môn Toán Chuyên Lam Sơn - Thanh Hóa (lần 1)
- Đề thi thử THPT Quốc gia 2022 môn Toán Trường THPT Xuân Đỉnh
- Đề thi thử THPT Quốc gia 2022 môn Toán Đề số 28
- Đề thi thử THPT Quốc gia 2022 môn Toán Đề số 29
- Đề thi thử THPT Quốc gia 2022 môn Toán Đề số 26
- Đề thi thử THPT Quốc gia 2022 môn Toán Đề số 27
- Đề thi thử THPT Quốc gia 2022 môn Toán Đề số 22
- Đề thi thử THPT Quốc gia 2022 môn Toán Lê Lai - Thanh Hóa (lần 3)
- Đề thi thử THPT Quốc gia 2022 môn Toán Đề số 25
- Đề thi thử THPT Quốc gia 2022 môn Toán Đông Triều - Quảng Ninh
- Đề thi thử THPT Quốc gia 2022 môn Toán Sở GD&ĐT Bình Thuận
- Đề thi thử THPT Quốc gia 2022 môn Toán Đô Lương 1 - Nghệ An
- Đề thi thử THPT Quốc gia 2022 môn Toán Sở GD&ĐT Sơn La
- Đề thi thử THPT Quốc gia 2022 môn Toán Kim Liên - Hà Nội (lần 1)
Đề thi thử THPT Quốc gia 2022 môn Toán Đồng Lộc - Hà Tĩnh được Khoahoc chia sẻ trên đây. Hy vọng với tài liệu này sẽ giúp ích cho các em có thêm tài liệu ôn tập, củng cố kiến thức cũng như nâng cao kỹ năng giải đề thi, qua đó chuẩn bị tốt cho kì thi tốt nghiệp THPT sắp tới. Ngoài ra các em có thể tham khảo thêm các tài liệu khác tại tài liệu học tập lớp 12 này nhé
Xem thêm bài viết khác
- Đề thi thử THPT Quốc gia 2022 môn Toán Chuyên Hùng Vương - Gia Lai (lần 1) Đề thi thử THPT Quốc gia 2022 - có đáp án
- Đề thi thử THPT Quốc gia 2022 môn Toán Sở GD&ĐT Nam Định (lần 1) Đề thi thử THPT Quốc gia 2022 - có đáp án
- Đề thi thử THPT Quốc gia 2022 môn Toán Cụm trường Bắc Ninh Đề thi thử THPT Quốc gia 2022
- Đề thi thử THPT Quốc gia 2022 môn Toán Chuyên Võ Nguyên Giáp Đề thi thử THPT Quốc gia 2022
- Đề thi thử THPT Quốc gia 2022 môn Toán Liên Trường - Hà Tĩnh Đề thi thử THPT Quốc gia 2022 - có đáp án
- Đề thi thử THPT Quốc gia 2022 môn Toán Đề số 20 Đề thi thử THPT Quốc gia 2022 - có đáp án
- Đề thi thử THPT Quốc gia 2022 môn Toán Hàn Thuyên - Bắc Ninh (lần 1) Đề thi thử THPT Quốc gia 2022 - có đáp án
- Đề thi thử THPT Quốc gia 2022 môn Toán Trần Phú - Vĩnh Phúc (lần 1) Đề thi thử THPT Quốc gia 2022 - có đáp án
- Đề thi thử THPT Quốc gia 2022 môn Toán Sở GD&ĐT Nghệ An Đề thi thử THPT Quốc gia 2022
- Đề thi thử THPT Quốc gia 2022 môn Toán Chuyên Hạ Long (lần 3) Đề thi thử THPT Quốc gia 2022 - có đáp án
- Tóm tắt Người lái đò sông Đà (5 mẫu) Người lái đò sông Đà - Văn mẫu 12
Chủ đề liên quan