Đề thi thử THPT quốc gia môn Sinh học năm 2017 số 9
Đề thi gồm 40 câu dưới dạng trắc nghiệm (có đáp án) giúp các bạn đánh iá năng lực môn Sinh học và chuẩn bị cho kì thi THPT quốc gia. Đề số 9
Đề thi thử THPT quốc gia năm 2017 lần 2
TRƯỜNG THPT CHUYÊN ĐẠI HỌC VINH
Thời gian làm bài: 50 phút
(không kể thời gian phát đề)
Câu 1: Khả năng tự điều chỉnh số lượng cá thể khi số cá thể của quần thể tăng quá cao hoặc giảm xuống quá thấp được gọi là:
A. cân bằng sinh học
B. khống chế sinh học
C. trạng thái cân bằng của quần thể
D. biến động số lượng cá thể của quần thể
Câu 2: Động vật có vú đầu tiên xuất hiện ở
A. kỉ Silua
B. kỉ Đệ tam
C. kỉ Jura
D. kỉ Phấn trắng
Câu 3: Ở động vật, để tạo nguyên liệu cho nghiên cứu ảnh hưởng của môi trường lên sự biểu hiện tính trạng, người ta dùng phương pháp:
A. lai xa đa bội hóa
B. cấy truyền phôi
C. nhân bản vô tính
D. gây đột biến
Câu 4: Đột biến gen thường xảy ra khi:
A. NST đóng xoắn
B. phiên mã
C. ADN nhân đôi
D. dịch mã
Câu 5: Gai xương rồng và gai hoa hồng là bằng chứng về:
A. cơ quan tương tự
B. cơ quan tương đồng
C. cơ quan thoái hóa
D. phôi sinh học
Câu 6: Các cá thể thuộc các loài khác nhau có cấu tạo cơ quan sinh sản khác nhau nên chúng không giao phối với nhau. Đây là dạng cách li
A. cơ học
B. sinh cảnh
C. tập tính
D. thời vụ
Câu 7: Sản phẩm của giai đoạn hoạt hóa axit amin trong quá trình dịch mã là:
A. mARN
B. chuỗi pôlipeptit
C. axit amin tự do
D. phức hợp aa – tARN
Câu 8: Trong quần xã sinh vật, loài có số lượng cá thể nhiều và hoạt động mạnh được gọi là:
A. loài đặc trưng
B. loài ngẫu nhiên
C. loài ưu thế
D. loài đặc hữu
Câu 9: Trong một ao cá, kiểu quan hệ có thể xảy ra khi hai loài cá có cùng nhu cầu thức ăn là:
A. vật ăn thịt con mồi
B. ức chế - cảm nhiễm
C. cạnh tranh
D. kí sinh
Câu 10: Khi nói về đặc điểm của đột biến đa bội, phát biểu nào sau đây không đúng?
A. Quá trình tổng hợp các chất hữu cơ trong tế bào đa bội xảy ra mạnh mẽ hơn so với trong tế bào lưỡng bội.
B. Hiện tượng tự đa bội khá phổ biến ở động vật trong khi ở thực vật là tương đối hiếm.
C. Các thể tự đa bội lẻ (3n, 5n,…) hầu như không có khả năng sinh giao tử bình thường.
D. Những giống cây ăn quả không hạt như nho, dưa hấu thường là tự đa bội lẻ.
Câu 11: Cho các đặc điểm:
(1) Được cấu tạo bởi một mạch pôlinuclêôtit.
(2) Đơn phân là ađênin, timin, guanin, xitôzin.
(3) Cấu tạo theo nguyên tắc đa phân.
(4) Các đơn phân liên kết với nhau bằng liên kết hiđrô.
(5) Trong cấu tạo có uraxin mà không có timin.
Số đặc điểm chung có ở cả ba loại ARN là:
A. 4
B. 2
C. 1
D. 3
Câu 12: Các nhân tố tiến hóa nào sau có thể làm phong phú vốn gen của quần thể?
A. CLTN và yếu tố ngẫu nhiên
B. Đột biến và giao phối không ngẫu nhiên
C. Đột biến và di – nhập gen
D. Di – nhập gen và giao phối không ngẫu nhiên
Câu 13: Ở người, gen quy định nhóm máu có ba alen IA, IB, IO. Nhóm máu AB do kiểu gen IAIB quy định, nhận xét nào sau đây đúng?
A. Alen IA và IB tương tác theo trội lặn không hoàn toàn
B. Alen IA và IB tương tác theo kiểu đồng trội
C. Alen IA và IB tương tác theo kiểu trội lặn hoàn toàn
D. Alen IA và IB tương tác bổ sung
Câu 14: Đặc điểm nào sau đây không đúng với tiến hóa lớn?
A. Diễn ra trong phạm vi của loài, với qui mô nhỏ
B. Không thể nghiên cứu bằng thực nghiệm
C. Diễn ra trong thời gian lịch sử dài
D. Hình thành các đơn vị phân loại trên loài
Câu 15: Trong các nhận xét sau có bao nhiêu nhận xét không đúng?
(1) Lai xa kèm đa bội hóa, dung hợp tế bào trần khác loài có thể tạo thể song nhị bội.
(2) Để tạo ra giống mới có thể dùng phương pháp nhân bản vô tính, cấy truyền phôi.
(3) Phương pháp tạo giống bằng gây đột biến được áp dụng chủ yếu cho động vật và vi sinh vật.
(4) Phương pháp nhân bản vô tính ở động vật tạo ra cá thể có kiểu gen giống với kiểu gen của sinh vật cho nhân.
(5) Nhân giống bằng phương pháp cấy truyền phôi tạo ra các cá thể có cùng kiểu gen, cùng giới tính.
A. 2
B. 3
C. 4
D. 1
Câu 16: Một quần thể ngẫu phối có tần số alen A = 0,4; alen a = 0,6. Ở trạng thái cân bằng Hacđi – Vanbec, cấu trúc di truyền của quần thể là:
A. 0,16AA : 0,48Aa : 0,36aa
B. 0,16Aa : 0,48AA : 0,36aa
C. 0,36AA : 0,48Aa : 0,16aa
D. 0,16AA : 0,48aa : 0,36Aa
Câu 17: Ở tằm, alen A quy định trứng màu trắng, alen a quy định trứng màu sẫm. Phép lai nào sau đây có thể phân biệt con đực và con cái ở giai đoạn trứng?
A. XAXa × XAY
B. XaXa × XAY
C. XAXa × XaY
D. XAXA × XaY
Câu 18: Một loài thực vật, alen A quy định quả đỏ trội hoàn toàn so với alen a quy định quả vàng. Hạt phấn (n +1) không có khả năng sinh sản, hạt phấn (n) sinh sản bình thường và các loại tế bào noãn có khả năng thụ tinh bình thường. Phép lai của các thể lệch bội nào dưới đây cho quả vàng chiếm tỉ lệ 1/3?
A. P: ♀ AAA × ♂ AAa
B. P: ♀ AAa × ♂ Aaa
C. P: ♀ Aaa × ♂ Aaa
D. P: ♀ AAa × ♂ AAa
Câu 19: Ví dụ nào sau đây không phải ứng dụng khống chế sinh học?
A. Nuôi cá để diệt bọ gậy
B. Cây bông mang gen kháng sâu bệnh của vi khuẩn
C. Nuôi mèo để diệt chuột
D. Dùng ong mắt đỏ để diệt sâu đục thân hại lúa
Câu 20: Khi đánh bắt cá ở một quần thể tại ba thời điểm, thu được tỉ lệ như sau:
Thời điểm | I | II | III |
Trước sinh sản | 55% | 42% | 20% |
Đang sinh sản | 30% | 43% | 45% |
Sau sinh sản | 15% | 15% | 35% |
Có bao nhiêu nhận xét đúng:
(1) Tại thời điểm I quần thể đang ở trạng thái phát triển.
(2) Tại thời điểm II có thể tiếp tục đánh bắt với mức độ vừa phải.
(3) Tại thời điểm I có thể tiếp tục đánh bắt.
(4) Tại thời điểm III quần thể đang bị đánh bắt quá mức nên cần bảo vệ.
(5) Tại thời điểm III có thể tiếp tục khai thác.
A. 1
B. 4
C. 3
D. 2
Câu 21: Ở một loài thực vật, gen quy định màu sắc hoa có 2 alen A và a; gen quy định hình dạng quả có 2 alen B và b. Biết hai cặp gen cùng nằm trên một cặp NST thường và di truyền liên kết hoàn toàn. Cho cây dị hợp hai cặp gen tự thụ phấn thì số kiểu hình tối đa ở đời con là:
A. 4
B. 9
C. 2
D. 3
Câu 22: Trong quần xã sinh vật, những mối quan hệ nào sau đây một loài được lợi và loài kia bị hại?
A. Sinh vật này ăn sinh vật khác, ức chế cảm nhiễm
B. Kí sinh vật chủ, sinh vật này ăn sinh vật khác
C. Kí sinh vật chủ, ức chế cảm nhiễm
D. Ức chế cảm nhiễm, cạnh tranh
Câu 23: Khi nói về diễn thế nguyên sinh nhận xét nào sau không đúng?
A. Số lượng loài trong quần xã ngày càng tăng, số cá thể của mỗi loài ngày càng giảm.
B. Giới hạn của các nhân tố sinh thái ngày càng hẹp, môi trường trở nên ổn định hơn.
C. Chuỗi thức ăn ngày càng phức tạp, trong đó chuỗi thức ăn bắt đầu bằng mùn bã hữu cơ ngày càng đóng vai trò quan trọng.
D. Trong quá trình diễn thế nguyên sinh, các loài có tuổi thọ thấp, kích thước nhỏ thay thế dần các loài có tuổi thọ cao, kích thước lớn.
Câu 24: Cho các đặc điểm:
(1) Làm phát sinh alen mới.
(2) Phát sinh trong quá trình phân bào.
(3) Cung cấp nguyên liệu sơ cấp cho tiến hóa và chọn giống.
(4) Làm thay đổi tần số alen và thành phần kiểu gen của quần thể.
Dạng biến dị có đầy đủ các đặc điểm trên là:
A. đột biến gen
B. đột biến cấu trúc NST
C. đột biến số lượng NST
D. biến dị tổ hợp
Câu 25: Có bao nhiêu kết luận đúng khi nói về gen ngoài nhân?
(1) Trong quá trình di truyền, vai trò của bố mẹ như nhau và biểu hiện ra kiểu hình không đều ở hai giới.
(2) Các gen ngoài nhân không được phân chia đều cho các tế bào con trong quá trình phân bào.
(3) Kết quả phép lai thuận và phép lai nghịch giống nhau, trong đó con lai thường mang tính trạng của mẹ.
(4) Tính trạng do gen ngoài nhân quy định vẫn tồn tại khi thay thế nhân tế bào bằng một nhân có cấu trúc di truyền khác.
(5) Tất cả đột biến gen ở tế bào chất đều được biểu hiện kiểu hình và di truyền cho đời sau.
A. 4
B. 3
C. 2
D. 5
Câu 26: Sự phân tầng theo phương thẳng đứng trong quần xã sinh vật có ý nghĩa gì?
A. Tăng hiệu quả sử dụng nguồn sống, tăng sự cạnh tranh giữa các quần thể
B. Giảm khả năng tận dụng nguồn sống, tăng sự cạnh tranh giữa các loài
C. Giảm mức độ cạnh tranh giữa các loài, nâng cao hiệu quả sử dụng nguồn sống
D. Giảm mức độ cạnh tranh giữa các loài, giảm khả năng tận dụng nguồn sống
Câu 27: Giao phối ngẫu nhiên không phải là một nhân tố tiến hóa nhưng có vai trò quan trọng đối với tiến hóa. Có bao nhiêu nhận xét đúng khi đề cập đến vai trò của giao phối ngẫu nhiên đối với tiến hóa?
(1) Làm cho đột biến được phát tán trong quần thể
(2) Góp phần tạo ra các tổ hợp gen thích nghi
(3) Làm trung hòa tính có hại của alen đột biến
(4) Tăng kiểu gen đồng hợp giảm kiểu gen dị hợp
(5) Làm cho quần thể ổn định qua các thế hệ
A. 4
B. 3
C. 5
D. 2
Câu 28: Trong biến động số lượng cá thể của quần thể, có bao nhiêu nhân tố sinh thái sau bị chi phối bởi mật độ cá thể?
(1) Sức sinh sản
(2) Khí hậu
(3) Mức tử vong
(4) Số lượng kẻ thù
(5) Nhiệt độ
(6) Các chất độc
(7) Sự phát tán của các cá thể
A. 3
B. 5
C. 2
D. 4
Câu 29: Trong trường hợp gen nằm trên NST thường, mỗi gen quy định một tính trạng, tính trạng trội là trội hoàn toàn. Quy luật nào sau đây không xuất hiện tỉ lệ phân li kiểu hình 1: 1 : 1 : 1?
A. Quy luật phân li độc lập
B. Quy luật phân li
C. Quy luật hoán vị gen
D. Quy luật liên kết gen
Câu 30: Ở một loài động vật ngẫu phối, xét một gen có hai alen A và a; alen A trội hoàn toàn so với alen a Có bốn quần thể thuộc loài này đều đang ở trạng thái cân bằng di truyền về gen trên và có tỉ lệ kiểu hình lặn như sau:
Quần thể | Quần thể 1 | Quần thể 2 | Quần thể 3 | Quần thể 4 |
Tỉ lệ kiểu hình lặn | 25% | 9% | 16% | 1% |
Trong các quần thể trên, quần thể nào có tần số kiểu gen dị hợp tử thấp nhất?
A. Quần thể 3
B. Quần thể 4
C. Quần thể 2
D. Quần thể 1
Câu 31: Ở một loài động vật, cho P thuần chủng mắt đỏ lai với mắt trắng thu được F1 100% mắt đỏ. Cho con cái F1 lai phân tích với con đực mắt trắng thu được đời con có tỉ lệ kiểu hình là 3 mắt trắng: 1 mắt đỏ, trong đó mắt đỏ toàn con đực. Nhận xét nào sau đây đúng?
A. Màu mắt di truyền theo quy luật tương tác bổ sung. Kiểu gen của P: ♂ AA XBXB × ♀ aaXbY
B. Màu mắt di truyền theo quy luật tương tác bổ sung. Kiểu gen của P: ♀ AA XBXB × ♂ aaXbY
C. Màu mắt di truyền theo quy luật trội lặn hoàn toàn. Kiểu gen của P: ♀ XABXAB × ♂ XbaY
D. Màu mắt di truyền theo quy luật trội lặn hoàn toàn. Kiểu gen của P: ♂ XAbXaB × ♀ XabY
Câu 32: Quan hệ cạnh tranh giữa các cá thể trong quần thể sinh vật:
A. đảm bảo cho số lượng và sự phân bố các cá thể trong quần thể duy trì ở mức độ phù
hợp với sức chứa của môi trường
B. thường làm cho quần thể suy thoái dẫn đến diệt vong
C. chỉ xảy ra ở các quần thể động vật, không xảy ra ở các quần thể thực vật
D. xuất hiện khi mật độ cá thể của quần thể xuống quá thấp
Câu 33: Cho các bệnh sau:
(1) Máu khó đông
(2) Bạch tạng
(3) Phêninkêto niệu
(4) Thiếu máu hồng cầu lưỡi liềm
(5) Mù màu
Có bao nhiêu bệnh được biểu hiện ở cả nam và nữ với xác suất ngang nhau?
A. 2
B. 3
C. 4
D. 1
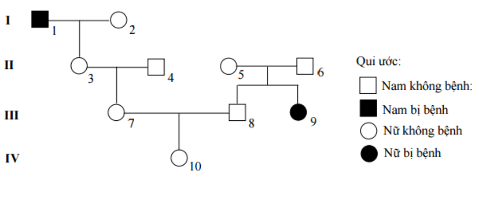
Câu 34: Cho sơ đồ phả hệ mô tả sự di truyền một bệnh ở người do một trong hai alen của một gen qui định, alen trội là trội hoàn toàn.

Biết rằng không xảy ra đột biến mới và người đàn ông II-4 đến từ một quần thể khác đang ở trạng thái cân bằng di truyền có tần số alen gây bệnh là 0,4. Có bao nhiêu nhận xét đúng?
(1) Bệnh do alen lặn nằm trên NST thường quy định
(2) Người con gái số I-2 có kiểu gen đồng hợp
(3) Có 5 người trong phả hệ trên có thể biết kiểu gen
(4) Cặp vợ chồng III-7 và III-8 sinh người con số 10 không mang alen gây bệnh với tỉ lệ 47,2%
A. 1
B. 4
C. 2
D. 3
Câu 35: Ở một loài động vật, cho P thuần chủng con đực chân cao giao phối với con cái chân thấp thu được F1 có kiểu hình phân li theo tỉ lệ: 1 chân cao; 1 chân thấp. Cho các cá thể F1 giao phối ngẫu nhiên với nhau thu được F2 có kiểu hình chân cao chiếm 50% trong tổng số cá thể. Biết rằng ở F1 và F2 sự phân li kiểu hình ở giới đực và giới cái có sự khác nhau; tính trạng do một gen có 2 alen quy định. Trong các nhận xét sau có bao nhiêu nhận xét đúng?
(1) Tính trạng di truyền liên kết giới tính, gen nằm trên vùng không tương đồng của NST X.
(2) Gen quy định tính trạng nằm trên NST thường và phụ thuộc giới tính.
(3) Ở F2 tỉ lệ phân li kiểu hình ở giới đực là 3 chân cao : 1 chân thấp; giới cái là 1 chân cao : 3 chân thấp.
(4) Ở F2 tỉ lệ phân li kiểu hình ở giới đực là 1 chân cao : 3 chân thấp; giới cái là 3 chân cao : 1 chân thấp.
(5) Tỉ lệ phân li kiểu hình chung ở F1 và F2 đều thu được 1 : 1.
A. 2
B. 4
C. 3
D. 1
Câu 36: Ở một loài động vật, cho con đực thuần chủng cánh dài, có lông đuôi giao phối với con cái thuần chủng cánh ngắn, không có lông đuôi thu được F1 100% cánh dài, có lông đuôi. Cho các cá thể F1 giao phối với nhau thu được F2 có tỉ lệ kiểu hình phân li ở hai giới như sau:
Giới cái: 36 con cánh dài, có lông đuôi : 9 con cánh dài, không có lông đuôi : 24 con cánhngắn, có lông đuôi : 51 con cánh ngắn, không có lông đuôi.
Giới đực: 90 con cánh dài, có lông đuôi : 30 con cánh ngắn, có lông đuôi.
Biết rằng tính trạng về lông đuôi do một gen có 2 alen quy định, không phát sinh thêm đột biến và chỉ xảy ra hoán vị ở giới cái. Cho các nhận xét sau:
(1) Các cặp gen quy định các cặp tính trạng cùng nằm trên vùng không tương đồng của NST X.
(2) Tần số hoán vị gen bằng 20%.
(3) Tính trạng hình dạng cánh do 2 cặp gen không alen tương tác bổ sung quy định.
(4) Cặp gen quy định tính trạng lông đuôi nằm trên vùng không tương đồng của NST Y.
(5) Cho cái F1 lai phân tích trong tổng số con đực được sinh ra thì kiểu hình cánh dài, không có lông đuôi chiếm tỉ lệ 0,05%.
Số nhận xét đúng là:
A. 2
B. 4
C. 1
D. 3
Câu 37: Một gen có 3600 nuclêôtit, tích tỉ lệ của nuclêôtit loại guanin và một loại nuclêôtit khác là 16%. Giả sử trong gen có một bazơ xitôzin trở thành dạng hiếm (X*) thì sau 4 lần nhân đôi số nuclêôtit mỗi loại có trong tất cả các gen đột biến là:
A. G = X = 10073; A = T = 1439
B. G = X = 2527; A = T = 10073
C. G = X = 1439; A = T = 10073
D. G = X = 10073; A = T = 2527
Câu 38: Ở một quần thể ngẫu phối, xét 2 locut cùng nằm trên đoạn không tương đồng của NST giới tính X. Mỗi locut có 5 alen, các alen này liên kết hoàn toàn. Trong quần thể có tối đa bao nhiêu kiểu gen khi giảm phân cho 2 loại giao tử?
A. 325
B. 300
C. 650
D. 350
Câu 39: Xét một cặp gen có hai alen với chiều dài bằng nhau và bằng 4080A0. Alen A có 3120 liên kết hiđrô; alen a có 3240 liên kết hiđrô. Một loại giao tử sinh ra từ cơ thể dị hợp Aa có 3120 guanin và xitôzin; 1680 ađênin và timin. Giao tử đó kết hợp với giao tử bình thường tạo thể lệch bội có kiểu gen là:
A. AAA hoặc Aaa
B. A hoặc aaa
C. Aaa hoặc aaa
D. AAa hoặc Aaa
Câu 40: Ở tằm, xét các phép lai:
Phép lai 1: Cho bướm tằm đực sinh ra từ kén màu vàng, hình bầu dục giao phối với một bướm tằm cái sinh ra từ kén màu trắng, hình dài thu được F1 50% kén màu vàng, hình dài: 50% kén màu trắng hình bầu dục.
Phép lai 2: Cho bướm tằm cái sinh ra từ kén màu vàng, hình bầu dục giao phối với một bướm tằm đực sinh ra từ kén màu trắng, hình dài thu được F1 gồm 672 kén màu vàng, hình dài; 672 kén màu trắng, hình bầu dục; 128 kén màu vàng, hình bầu dục; 128 kén màu trắng, hình dài. Biết rằng các tính trạng trội là trội hoàn toàn.
Các nhận xét đúng là:
(1) Gen quy định màu sắc kén nằm trên NST giới tính
(2) Gen quy định màu sắc kén nằm trên NST thường.
(3) Kiểu gen bướm tằm cái trong phép lai 1 giống kiểu gen tằm đực ở phép lai 2
(4) Tằm đực phép lai 2 xảy ra tần số hoán vị gen 16%
(5) Nếu cho F1 ở phép lai 1 giao phối với nhau thì F2 thu được tỉ lệ kiểu hình 3 : 1
(6) Nếu cho F1 ở phép lai 1 giao phối với nhau thì F2 thu được tỉ lệ kiểu hình 1 : 1 : 1 : 1
A. (2), (3), (4), (6)
B. (1), (2), (4), (6)
C. (2), (3), (5), (6)
D. (1), (3), (5), (6)
B. BÀI TẬP VÀ HƯỚNG DẪN GIẢI
Kiến thức thú vị
Xem thêm bài viết khác
- Đề thi thử THPT quốc gia môn Sinh học năm 2017 số 7Đề thi thử THPT quốc gia môn Sinh học năm 2017 số 7
- Đề thi thử THPT quốc gia môn Sinh học năm 2017 số 19Đề thi thử THPT quốc gia môn Sinh học năm 2017 số 19
- Đáp án Đề thi thử THPT quốc gia môn Sinh học năm 2017 số 12
- Đề và đáp án môn Sinh học mã đề 216 thi THPT quốc gia năm 2017 đáp án của bộ GD-ĐT
- Thi THPQG 2019: Đề thi và đáp án môn Sinh học mã đề 221
- Đáp án Đề thi thử THPT quốc gia môn Sinh học năm 2017 số 7
- Đề thi thử THPT quốc gia môn Sinh học năm 2017 số 6Đề thi thử THPT quốc gia môn Sinh học năm 2017 số 6
- Đề thi thử THPT quốc gia môn Sinh học năm 2017 số 15Đề thi thử THPT quốc gia môn Sinh học năm 2017 số 15
- Thi THPQG 2020: Đề thi và đáp án môn Sinh học mã đề 223
- Thi THPQG 2019: Đề thi và đáp án môn Sinh Học
- Đề 3: Luyện thi THPTQG môn Sinh năm 2018
- Thi THPQG 2019: Đề thi và đáp án môn Sinh học mã đề 213