Đề thi thử THPT quốc gia môn toán năm 2017 của Sở GD và ĐT Bắc Ninh
Đây là đề thi khá vừa sức và bám sát chương trình ôn thi THPT Quốc gia năm 2017
Câu 23: Cho hình lục giác đều ABCDEF có cạnh bằng 4. Cho lục giác đó quay quanh đường thẳng AD. Tính thể tích của khối tròn xoay được sinh ra.
A.
.
B.
.
C.
.
D.
.
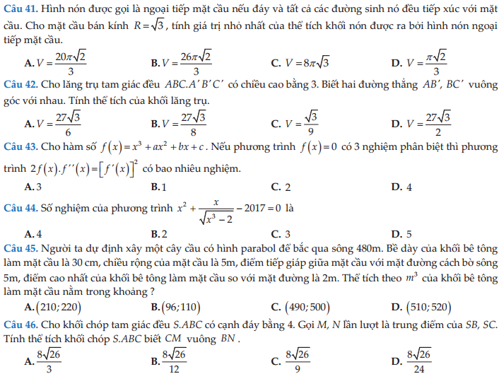
Câu 39: Cho hình nón chứa bốn mặt cầu có bán kính r, trong đó có ba mặt cầu tiếp xúc với đáy, tiếp xúc với nhau và tiếp xúc với mặt xung quanh của hình nón. Mặt thứ tư tiếp xúc với ba mặt cầu kia và tiếp xúc với mặt xung quanh của hình nón. Tính chiều cao của hình nón.
A.
.
B.
.
C.
.
D.
.
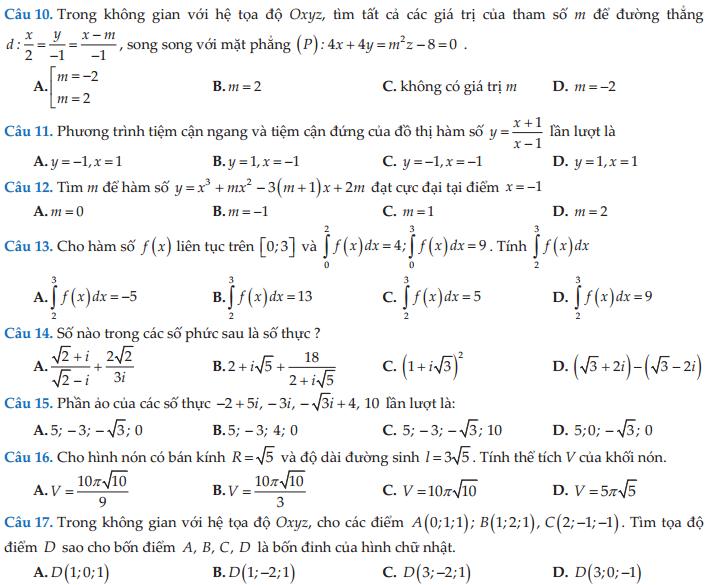
Câu 43: Cho hàm số
. Nếu phương trình $f(x)=0$ có 3 nghiệm phân biệt thì phương trình $2f(x). f''(x)=[f'(x)]^{2}$ có bao nhiêu nghiệm.
A. 3.
B. 1.
C. 2.
D. 4.











B. BÀI TẬP VÀ HƯỚNG DẪN GIẢI
Kiến thức thú vị
Xem thêm bài viết khác
- Thi THPTQG 2019: Đề thi và đáp án môn Toán mã đề 112
- Đề thi thử THPT quốc gia môn toán năm 2017- Đề tham khảo số 13
- Đáp án Đề thi thử THPT quốc gia môn toán năm 2017 của Sở GD và ĐT Bắc Ninh
- Lời giải bài số 7, 9, 21 đề thi thử THPT Quốc gia môn toán năm 2017 của Sở Giáo dục và đào tạo tỉnh Hưng Yên
- Lời giải bài số 31, 37, 38, 45- đề thi minh họa THPT Quốc gia của Bộ lần 3
- Đáp án Đề thi thử THPT quốc gia môn toán năm 2017 của trường THPT chuyên KHTN Hà Nội lần 4
- Lời giải bài số 40, 41, 42, 46 Đề thi thử THPT quốc gia môn toán năm 2017 của trường THPT chuyên Quốc học Huế lần 3
- Đáp án Đề thi thử THPT quốc gia môn toán năm 2017- Đề tham khảo số 3
- Thi THPTQG 2020: Đề thi và đáp án môn Toán mã đề 124
- Lời giải bài số 1, 4 Đề thi khảo sát chất lượng môn toán năm 2017- Trường THPT Trần Phú- Yên Lạc
- Đáp án Đề thi thử THPT quốc gia môn toán năm 2017 của trường THPT chuyên Phan Bội Châu lần 1
- Lời giải bài số 18, 40, 50 Đề thi thử THPT quốc gia môn toán năm 2017 của Sở GD- ĐT tỉnh Bình Phước