Đề thi toán học kì 2 lớp 5 số 3
Giải toán lớp 5 tập 2, Đề thi toán học kì 2 lớp 5 số 3, để học tốt toán 5 tập 2 . Bài viết này giúp các em nắm vững được lý thuyết cũng như cách giải các bài tập của bài Luyện tập. Lời giải được biên soạn đầy đủ, chi tiết và rõ ràng
Câu 1: Chữ số 5 trong số 162,57 chỉ: (0,5 điểm)
A. 5 đơn vị B. 5 phần trăm C. 5 chục D. 5 phần mười
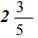
Câu 2: Hỗn số
được viết dưới dạng phân số là: (1 điểm)

Câu 3: 5840g = .... kg (0,5 điểm)
A. 58,4kg B. 5,84kg C. 0,584kg D. 0,0584kg
Câu 4: Có 20 viên bi, trong đó có 3 viên bi nâu, 4 viên bi xanh, 5 viên bi đỏ, 8 viên bi vàng. Như vậy 1/5 số viên bi có màu: (1 điểm)
A. Nâu B. Đỏ C. Xanh D. Trắng
Câu 5: Khoảng thời gian từ lúc 9 giờ kém 10 phút đến 9 giờ 30 phút là: (1 điểm)
A. 10 phút B. 20 phút C. 30 phút D. 40 phút
Câu 6: Một huyện có 320ha đất trồng cây cà phê và 480ha đất trồng cây cao su. Hỏi diện tích đất trồng cây cao su bằng bao nhiêu phần trăm diện tích đất trồng cây cà phê?: (1 điểm)
A. 150% B. 15% C. 1500% D. 105%
Câu 7: Hình lập phương có cạnh là 5m. Vậy thể tích hình đó là: (1 điểm)
A. 150 m3 B. 125 m3 C. 100 m3 D. 25 m3
Câu 8: Tìm y, biết: (2 điểm)
34,8 : y = 7,2 + 2,8
21,22 + 9,072 x 10 + 24,72 : 12
Câu 9: Một người đi xe máy khởi hành từ A lúc 8 giờ 30 phút và đến B lúc 9 giờ 30 phút. Quãng đường AB dài 60km. Hãy tính vận tốc trung bình của xe máy với đơn vị đo là km/giờ? (1 điểm)
Câu 10: Một thửa ruộng hình chữ nhật có dài 120m, chiều rộng bằng 90m. Người ta trồng lúa trên thửa ruộng đó, trung bình cứ 100m2 thu được 15kg thóc. Tính:
a) Diện tích thửa ruộng hình chữ nhật đó?
b) Trên cả thửa ruộng đó, người ta thu hoạch được bao nhiêu tạ thóc? (1 điểm)
Hướng dẫn giải:
Câu | 1 | 2 | 3 | 4 | 5 | 6 | 7 |
Ý đúng | D | D | B | C | D | A | B |
Điểm | 0,5 điểm | 1 điểm | 0,5 điểm | 1 điểm | 1 điểm | 1 điểm | 1 điểm |
Câu 8:
a)
34,8 : y = 7,2 + 2,8
34,8 : y = 10
y = 34,8 : 10
y = 3,48
b)
21,22 + 9,072 10 + 24,72 : 12
= 21,22 + 90,72 + 2,06
= 114
Câu 9:
Bài giải
Thời gian xe máy đi hết quảng đường AB là:
9 giờ 30 phút – 8 giờ 30 phút = 1 (giờ)
Vận tốc trung bình của xe máy là:
60 : 1 = 60 (km/giờ)
Đáp số: 60 km/giờ
Câu 10:
Bài giải
a )
Diện tích thửa ruộng hình chữ nhật là:
120 90 = 10800 (m2)
b)
Cả thửa ruộng đó, người ta thu hoạch được số tạ thóc là:
10800 : 100 15 = 1620 (kg) = 16,2 (tạ)
Đáp số:
a) 10800m2;
b) 16,2 tạ