Trắc nghiệm Số học 6 bài 12: Phép chia phân số
Bài có đáp án. Câu hỏi và bài tập trắc nghiệm bài 12: Phép chia phân số Học sinh luyện tập bằng cách chọn đáp án của mình trong từng câu hỏi. Dưới cùng của bài trắc nghiệm, có phần xem kết quả để biết bài làm của mình. Kéo xuống dưới để bắt đầu.
Câu 1: Phân số nghịch đảo của phân số 5/6 là
- A. -(5/6)
B. 6/5
- C. -(6/5)
- D. 1
Câu 2: Phân số nghịch đảo của -3 là
- A. 1
- B. 3
C. 1/(-3)
- D. 1/3
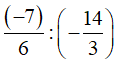
Câu 3: Tính
bằng
- A. 3
- B. 1
- C. 1/3
D. 4/3
Câu 4: Kết quả của phép tính
là phân số có tử số là
A. 1/4
- B. 1/2
- C. -(1/2)
- D. 1
Câu 5: Tìm x biết
- A. 2/5
B. 338/125
- C. 5/2
- D. 125/338
Câu 6: Tính giá trị của biểu thức

- A. 1
B. 1/2
- B. -1
- C. -1/2
Câu 7: Tìm hai số, biết rằng 9/11 của số này bằng 6/7 của số kia và tổng của hai số đó là 258.
- A.123-135
B.126-132
- C. Tất cả các số nguyên Z đều thích hợp
- D. Không có 2 số nào thích hợp
Câu 8: Chọn đáp án đúng
A. Hai số gọi là nghịch đảo của nhau nếu tích của chúng bằng 1
- B. Hai số gọi là nghịch đảo của nhau nếu tích của chúng bằng -1
- C. Hai số gọi là nghịch đảo của nhau nếu tích của chúng bằng 0
- D. Tất cả các đáp án trên đều đúng
Câu 9: Chọn đáp án đúng
A.Muốn chia một phân só hay một số nguyên cho một phân số, ta nhân số bị chia với số nghịch đảo của số chia
- B.Muốn chia một phân só hay một số nguyên cho một phân số, ta chia số bị chia với số nghịch đảo của số chia
- C.Muốn chia một phân só hay một số nguyên cho một phân số, ta nhân số bị chia với số chia
- D.Tất cả các đáp án trên đều đúng
Câu 10: Một tấm bìa hình chữ nhật có diện tích là 2/7m2, chiều dài là 2/3m, tính chu vi của tấm bìa đó.
A. 46/21
- B. 21/46
- C. 3/7
- D. Tất cả các đáp án trên đều sai
Xem thêm bài viết khác
- Trắc nghiệm Đại số 6 bài 17: Ước chung lớn nhất. Bội chung lớn nhất
- Trắc nghiệm Đại số 6 bài 3: Ghi số tự nhiên
- Trắc nghiệm Đại số 6 bài 5: Cộng hai số nguyên khác dấu
- Trắc nghiệm Hình học 6 Bài 1: Nửa mặt phẳng
- Trắc nghiệm Số học 6 bài 13: Hỗn số. Số thập phân. Phần trăm
- Trắc nghiệm Hình học 6 bài 5: Tia
- Trắc nghiệm Số học 6 bài 4: Rút gọn phân số
- Trắc nghiệm Đại số 6 bài 11: Dấu hiệu chia hết cho 2, cho 5
- Trắc nghiệm Toán 6 học kì II (P4)
- Trắc nghiệm Toán 6 học kì I (P4)
- Trắc nghiệm Đại số 6 bài 15: Phân tích một số ra thừa số nguyên tố
- Trắc nghiệm Đại số 6 bài 7: Lũy thừa với số mũ tự nhiên. Nhân hai lũy thừa cùng cơ số