Đề KSCL học kì 2 môn Toán THPT Ngô Gia Tự năm 2022 Đề thi thử THPT Quốc gia 2022
Đề KSCL học kì 2 môn Toán THPT Ngô Gia Tự năm 2022 được Khoahoc sưu tầm và đăng tải. Đề thi gồm có 50 câu hỏi trắc nghiệm kèm theo đáp án, với thời gian là 90 phút. Đề thi này giúp các em làm quen với cấu trung đề thi THPT, từ đó chuẩn bị tốt cho kì thi tốt nghiệp lớp 12 sắp tới. Dưới đây là nội dung chi tiết của đề thi, các em tham khảo nhé.
Đề thi thử THPT Quốc gia 2022 môn Toán
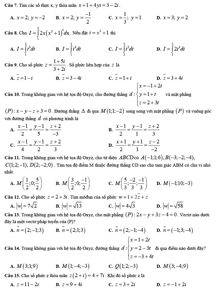
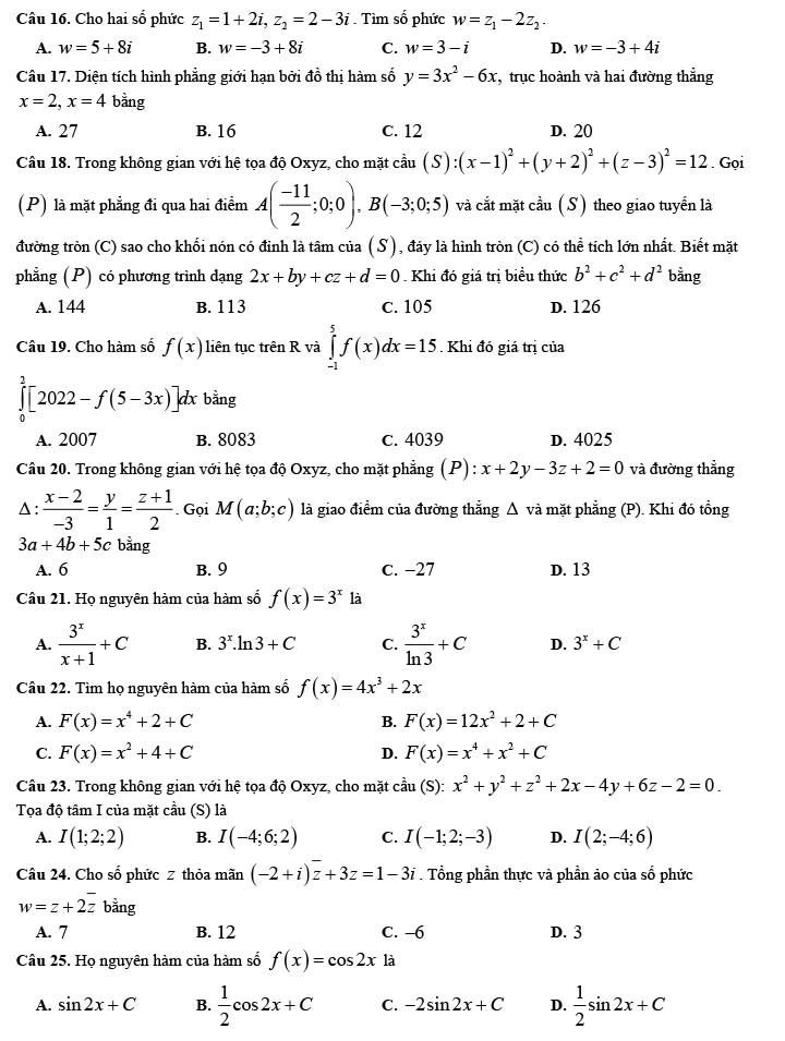
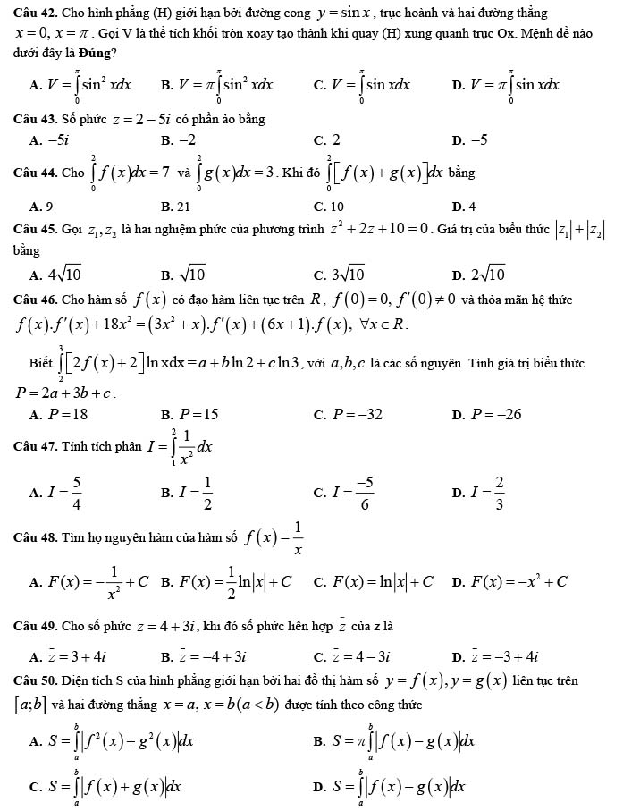
1. Đề KSCL học kì 2 môn Toán THPT Ngô Gia Tự năm 2022






2. Đáp án đề thi thử THPT Quốc Gia môn Toán 12
| Câu | Đ/a | Câu | Đ/a | Câu | Đ/a | Câu | Đ/a | Câu | Đ/a |
|---|---|---|---|---|---|---|---|---|---|
| 1 | D | 11 | B | 21 | C | 31 | D | 41 | A |
| 2 | D | 12 | D | 22 | D | 32 | C | 42 | B |
| 3 | B | 13 | A | 23 | C | 33 | B | 43 | D |
| 4 | A | 14 | C | 24 | A | 34 | A | 44 | C |
| 5 | C | 15 | C | 25 | D | 35 | C | 45 | D |
| 6 | B | 16 | B | 26 | C | 36 | B | 46 | D |
| 7 | B | 17 | D | 27 | B | 37 | A | 47 | B |
| 8 | C | 18 | D | 28 | D | 38 | B | 48 | C |
| 9 | A | 19 | C | 29 | A | 39 | D | 49 | C |
| 10 | A | 20 | A | 30 | C | 40 | A | 50 | D |
3. Tham khảo Đề thi thử THPT Quốc Gia 2022 môn Toán
- Đề thi thử THPT Quốc gia 2022 môn Toán Đề số 6
- Đề thi thử THPT Quốc gia 2022 môn Toán Đề số 7
- Đề thi thử THPT Quốc gia 2022 môn Toán Đề số 8
- Đề thi thử THPT Quốc gia 2022 môn Toán Đề số 9
- Đề thi thử THPT Quốc gia 2022 môn Toán Đề số 10
- Đề thi thử THPT Quốc gia 2022 môn Toán Đề số 11
- Đề thi thử THPT Quốc gia 2022 môn Toán Đề số 12
- Đề thi thử THPT Quốc gia 2022 môn Toán Đề số 13
- Đề thi thử THPT Quốc gia 2022 môn Toán Đề số 14
- Đề thi thử THPT Quốc gia 2022 môn Toán Đề số 15
- Đề thi thử THPT Quốc gia 2022 môn Toán Đề số 16
- Đề thi thử THPT Quốc gia 2022 môn Toán Đề số 17
- Đề thi thử THPT Quốc gia 2022 môn Toán Đề số 18
- Đề thi thử THPT Quốc gia 2022 môn Toán Đề số 20
- Đề thi thử THPT Quốc gia 2022 môn Toán Liên Trường - Hà Tĩnh
- Đề thi thử THPT Quốc gia 2022 môn Toán Nguyễn Đình Chiểu - Tiền Giang
- Đề thi thử THPT Quốc gia 2022 môn Toán Cụm trường Bắc Ninh
- Đề thi thử THPT Quốc gia 2022 môn Toán Sở GD&ĐT Nam Định (lần 1)
- Đề thi thử THPT Quốc gia 2022 môn Toán Chuyên Hùng Vương - Gia Lai (lần 1)
Đề KSCL học kì 2 môn Toán THPT Ngô Gia Tự năm 2022 được Khoahoc chia sẻ trên đây. hy vọng với đề thi này sẽ giúp ích cho các em có thêm tài liệu tham khảo, trau dồi kỹ năng giải đề thi cũng như chuẩn bị tốt cho kì thi THPT sắp tới. Chúc các em ôn thi tốt, ngoài ra các em có thể tham khảo thêm các tài liệu khác tại tài liệu học tập lớp 12 này nhé
Xem thêm bài viết khác
- Phân tích tư tưởng của nhân dân qua đoạn thơ: ''Những người vợ nhớ chồng… Những cuộc đời đã hóa núi sông ta'' trong Đất nước của Nguyễn Khoa Điềm Phân tích tư tưởng của nhân dân qua tác phẩm Đất nước
- Công thức tính thể tích khối hộp chữ nhật Toán lớp 12
- Đề thi thử THPT Quốc gia 2022 môn Toán Sở GD&ĐT Hòa Bình (lần 2) Đề thi thử THPT Quốc gia 2022 - có đáp án
- Đề thi thử THPT Quốc gia 2022 môn Toán Chuyên Biên Hòa - Hà Nam (lần 2) Đề thi thử THPT Quốc gia 2022 - có đáp án
- Đề thi thử THPT Quốc gia 2022 môn Toán Lương Thế Vinh Đề thi thử THPT Quốc gia 2022 - có đáp án
- Đề thi thử THPT Quốc gia 2022 môn Toán Quốc Tuấn - Hải Phòng (lần 2) Đề thi thử THPT Quốc gia 2022
- Đề thi thử THPT Quốc gia 2022 môn Toán Thanh Miện 2 - Hải Dương (lần 4) Đề thi thử THPT Quốc gia 2022 - có đáp án
- Đề thi thử THPT Quốc gia 2022 môn Toán Sơ GD&ĐT Cà Mau Đề thi thử THPT Quốc gia 2022 - có đáp án
- Đề thi thử THPT Quốc gia 2022 môn Toán Đề số 21 Đề thi thử THPT Quốc gia 2022 - có đáp án
Chủ đề liên quan