Đề thi thử THPT Quốc gia 2022 môn Toán Đề số 21 Đề thi thử THPT Quốc gia 2022 - có đáp án
Đề thi thử THPT Quốc gia 2022 môn Toán Đề số 21 được Khoahoc sưu tầm và đăng tải. Đề thi này sẽ giúp các em rèn luyện thêm kỹ năng giải đề, ngoài ra giúp đánh giá năng lực học sinh. Dưới đây là nội dung chi tiết đề thi, các em cùng thử sức nhé.
Đề thi thử THPT Quốc gia 2022 môn Toán
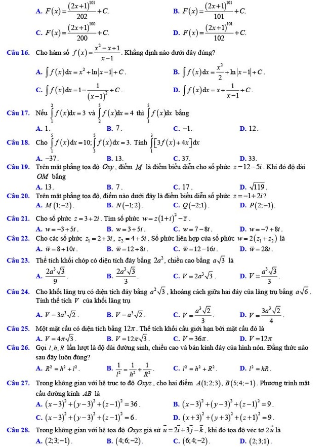
1. Đề thi thử THPT Quốc gia 2022 môn Toán Đề số 21






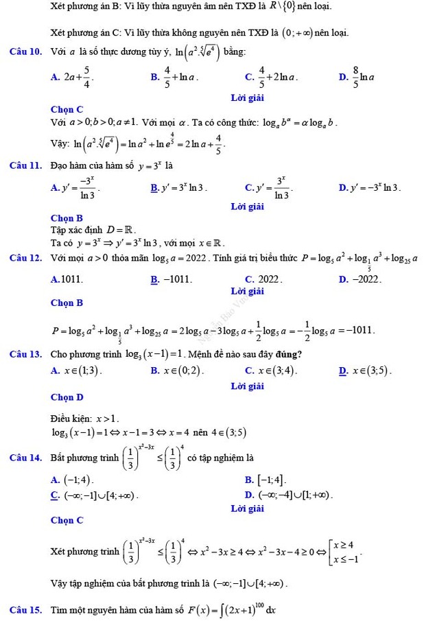
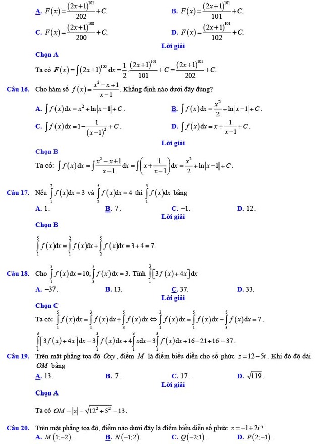
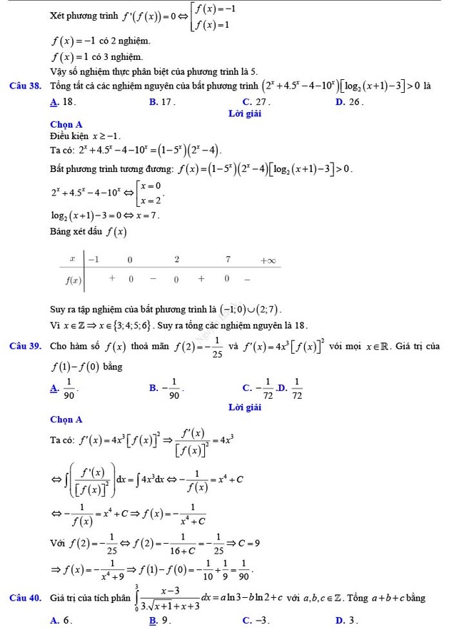
2. Đáp án đề thi thử THPT Quốc gia 2022 môn Toán Đề số 21

















3. Tham khảo Đề thi thử THPT Quốc Gia 2022 môn Toán
- Lịch thi tốt nghiệp THPT năm 2022
- Đề thi thử THPT Quốc gia 2022 môn Toán Sở GD&ĐT Hà Nội
- Đề thi thử THPT Quốc gia 2022 môn Toán Lương Tài 2 - Bắc Ninh (lần 3)
- Đề thi thử THPT Quốc gia 2022 môn Toán trường THPT Phan Đình Phùng - Quảng Bình
- Đề thi thử THPT Quốc gia 2022 môn Toán Chuyên Lam Sơn - Thanh Hóa (lần 1)
- Đề thi thử THPT Quốc gia 2022 môn Toán Trường THPT Xuân Đỉnh
- Đề thi thử THPT Quốc gia 2022 môn Toán Đề số 28
- Đề thi thử THPT Quốc gia 2022 môn Toán Đề số 29
- Đề thi thử THPT Quốc gia 2022 môn Toán Đề số 26
- Đề thi thử THPT Quốc gia 2022 môn Toán Đề số 27
- Đề thi thử THPT Quốc gia 2022 môn Toán Lê Lai - Thanh Hóa (lần 3)
- Đề thi thử THPT Quốc gia 2022 môn Toán Đề số 25
- Đề thi thử THPT Quốc gia 2022 môn Toán Đông Triều - Quảng Ninh
- Đề thi thử THPT Quốc gia 2022 môn Toán Sở GD&ĐT Bình Thuận
- Đề thi thử THPT Quốc gia 2022 môn Toán Đô Lương 1 - Nghệ An
- Đề thi thử THPT Quốc gia 2022 môn Toán Sở GD&ĐT Sơn La
- Đề thi thử THPT Quốc gia 2022 môn Toán Kim Liên - Hà Nội (lần 1)
- Đề thi thử THPT Quốc gia 2022 môn Toán Sở GD&ĐT Bạc Liêu cụm 3
- Đề thi thử THPT Quốc gia 2022 môn Toán Đồng Lộc - Hà Tĩnh
- Đề thi thử THPT Quốc gia 2022 môn Toán Sơ GD&ĐT Cà Mau
Đề thi thử THPT Quốc gia 2022 môn Toán Đề số 21 được Khoahoc chia sẻ trên đây. Hy vọng với đề thi này sẽ giúp các em có thêm tài liệu ôn tập, rèn luyện thêm tại nhà, từ đó nâng cao kỹ năng giải đề thi cũng như chuẩn bị tốt cho kì thi tốt nghiệp THPT sắp tới. Ngoài ra các em có thể tham khảo thêm các tài liệu khác tại tài liệu học tập lớp 12 này nhé
Xem thêm bài viết khác
- Đề KSCL học kì 2 môn Toán THPT Ngô Gia Tự năm 2022 Đề thi thử THPT Quốc gia 2022
- Đề thi thử THPT Quốc gia 2022 môn Toán Sở GD&ĐT Gia Lai Đề thi thử THPT Quốc gia 2022 - có đáp án
- Đề thi thử THPT Quốc gia 2022 môn Toán Chuyên Hùng Vương - Gia Lai (lần 1) Đề thi thử THPT Quốc gia 2022 - có đáp án
- Đề thi thử THPT Quốc gia 2022 môn Toán Sở GD&ĐT Nam Định (lần 1) Đề thi thử THPT Quốc gia 2022 - có đáp án
- Đề thi thử THPT Quốc gia 2022 môn Toán Cụm trường Bắc Ninh Đề thi thử THPT Quốc gia 2022
- Đề thi thử THPT Quốc gia 2022 môn Toán Chuyên Võ Nguyên Giáp Đề thi thử THPT Quốc gia 2022
- Đề thi thử THPT Quốc gia 2022 môn Toán Đề số 26 Đề thi thử THPT Quốc gia 2022 - có đáp án
- Đề thi thử THPT Quốc gia 2022 môn Toán Hàn Thuyên - Bắc Ninh (lần 1) Đề thi thử THPT Quốc gia 2022 - có đáp án
- Đề thi thử THPT Quốc gia 2022 môn Toán Trần Phú - Vĩnh Phúc (lần 1) Đề thi thử THPT Quốc gia 2022 - có đáp án
- Đề thi thử THPT Quốc gia 2022 môn Toán Sở GD&ĐT Nghệ An Đề thi thử THPT Quốc gia 2022
Chủ đề liên quan