Đề thi thử THPT Quốc gia 2022 môn Toán Lương Thế Vinh Đề thi thử THPT Quốc gia 2022 - có đáp án
Đề thi thử THPT Quốc gia 2022 môn Toán Lương Thế Vinh được Khoahoc sưu tầm và đăng tải. Đề thi gồm 50 câu hỏi trắc nghiệm, thời gian 90 phút kèm theo đáp án để các em so sánh đánh giá cũng như làm quen với nhiều dạng đề thi khác nhau. Dưới đây là nội dung chi tiết đề thi, các em tham khảo nhé.
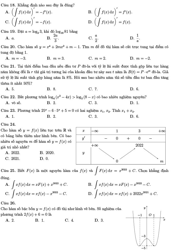
Đề thi thử THPT Quốc gia 2022 môn Toán
1. Đề thi thử THPT Quốc gia 2022 môn Toán Lương Thế Vinh






2. Đáp án đề thi thử THPT Quốc gia 2022 môn Toán Lương Thế Vinh
| Câu | Đ/a | Câu | Đ/a | Câu | Đ/a | Câu | Đ/a | Câu | Đ/a |
|---|---|---|---|---|---|---|---|---|---|
| 1 | A | 11 | A | 21 | D | 31 | D | 41 | C |
| 2 | A | 12 | B | 22 | B | 32 | A | 42 | B |
| 3 | B | 13 | D | 23 | A | 33 | D | 43 | D |
| 4 | C | 14 | B | 24 | A | 34 | A | 44 | D |
| 5 | D | 15 | A | 25 | B | 35 | B | 45 | C |
| 6 | B | 16 | B | 26 | D | 36 | C | 46 | D |
| 7 | C | 17 | C | 27 | A | 37 | A | 47 | C |
| 8 | C | 18 | D | 28 | B | 38 | C | 48 | D |
| 9 | D | 19 | A | 29 | B | 39 | B | 49 | D |
| 10 | A | 20 | C | 30 | C | 40 | D | 50 | A |
3. Tham khảo Đề thi thử THPT Quốc Gia 2022 môn Toán
- Đề thi thử THPT Quốc gia 2022 môn Toán Đề số 28
- Đề thi thử THPT Quốc gia 2022 môn Toán Đề số 29
- Đề thi thử THPT Quốc gia 2022 môn Toán Đề số 26
- Đề thi thử THPT Quốc gia 2022 môn Toán Đề số 27
- Đề thi thử THPT Quốc gia 2022 môn Toán Lê Lai - Thanh Hóa (lần 3)
- Đề thi thử THPT Quốc gia 2022 môn Toán Đề số 25
- Đề thi thử THPT Quốc gia 2022 môn Toán Đề số 22
- Đề thi thử THPT Quốc gia 2022 môn Toán Đông Triều - Quảng Ninh
- Đề thi thử THPT Quốc gia 2022 môn Toán Sở GD&ĐT Bình Thuận
- Đề thi thử THPT Quốc gia 2022 môn Toán Đô Lương 1 - Nghệ An
- Đề thi thử THPT Quốc gia 2022 môn Toán Sở GD&ĐT Sơn La
- Đề thi thử THPT Quốc gia 2022 môn Toán Kim Liên - Hà Nội (lần 1)
- Đề thi thử THPT Quốc gia 2022 môn Toán Sở GD&ĐT Bạc Liêu cụm 3
- Đề thi thử THPT Quốc gia 2022 môn Toán Đồng Lộc - Hà Tĩnh
- Đề thi thử THPT Quốc gia 2022 môn Toán Đề số 21
- Đề thi thử THPT Quốc gia 2022 môn Toán Sơ GD&ĐT Cà Mau
- Đề thi thử THPT Quốc gia 2022 môn Toán Thanh Miện 2 - Hải Dương (lần 4)
- Đề thi thử THPT Quốc gia 2022 môn Toán Chuyên Biên Hòa - Hà Nam (lần 2)
Đề thi thử THPT Quốc gia 2022 môn Toán Lương Thế Vinh được Khoahoc chia sẻ trên đây. Hy vọng với đề thi này sẽ giúp ích cho các làm quen với nhiều dạng đề thi khác nhau, từ đó nâng cao kỹ năng giải đề, chuẩn bị tốt cho kì thi THPT sắp tới. Ngoài ra các em có thể tham khảo thêm các tài liệu khác tại tài liệu học tập lớp 12 này nhé
Xem thêm bài viết khác
- Đề KSCL học kì 2 môn Toán THPT Ngô Gia Tự năm 2022 Đề thi thử THPT Quốc gia 2022
- Đề thi thử THPT Quốc gia 2022 môn Toán Sở GD&ĐT Gia Lai Đề thi thử THPT Quốc gia 2022 - có đáp án
- Đề thi thử THPT Quốc gia 2022 môn Toán Chuyên Hùng Vương - Gia Lai (lần 1) Đề thi thử THPT Quốc gia 2022 - có đáp án
- Đề thi thử THPT Quốc gia 2022 môn Toán Đề số 9 Đề thi thử THPT Quốc gia 2022 - có đáp án
- Đề thi thử THPT Quốc gia 2022 môn Toán Đề số 8 Đề thi thử THPT Quốc gia 2022 - có đáp án
- Đề thi thử THPT Quốc gia 2022 môn Toán Thị xã Quảng Trị - Quảng Trị (lần 1) Đề thi thử THPT Quốc gia 2022 - có đáp án
- Đề thi thử THPT Quốc gia 2022 môn Toán Đề số 26 Đề thi thử THPT Quốc gia 2022 - có đáp án
- Đề thi thử THPT Quốc gia 2022 môn Toán Hàn Thuyên - Bắc Ninh (lần 1) Đề thi thử THPT Quốc gia 2022 - có đáp án
- Đề thi thử THPT Quốc gia 2022 môn Toán Trần Phú - Vĩnh Phúc (lần 1) Đề thi thử THPT Quốc gia 2022 - có đáp án
- Đề thi thử THPT Quốc gia 2022 môn Toán Sở GD&ĐT Nghệ An Đề thi thử THPT Quốc gia 2022
- Đề thi thử THPT Quốc gia 2022 môn Toán Chuyên Hạ Long (lần 3) Đề thi thử THPT Quốc gia 2022 - có đáp án
- Tóm tắt Người lái đò sông Đà (5 mẫu) Người lái đò sông Đà - Văn mẫu 12
Chủ đề liên quan