Đề thi thử THPT Quốc gia 2022 môn Toán Chuyên Biên Hòa - Hà Nam (lần 2) Đề thi thử THPT Quốc gia 2022 - có đáp án
Đề thi thử THPT Quốc gia 2022 môn Toán Chuyên Biên Hòa - Hà Nam (lần 2) được Khoahoc sưu tầm và đăng tải. Đề thi thử THPT Quốc gia 2022 môn Toán này đa số các câu hỏi quen thuộc đã có trong thi THPT Quốc gia trước đây. Các em cùng tham khảo và thử sức với đề thi này nhé.
Mục lục bài viết
1. Đề thi thử THPT Quốc gia 2022 môn Toán Chuyên Biên Hòa - Hà Nam (lần 2)






2. Đáp án đề thi thử THPT Quốc gia 2022 môn Toán Chuyên Biên Hòa lần 2
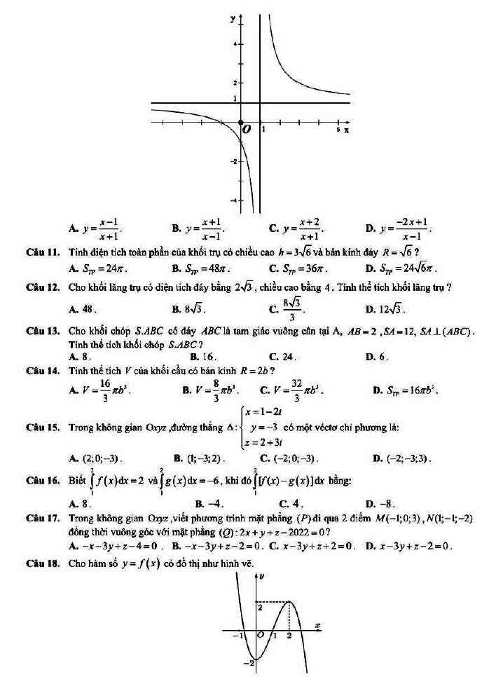
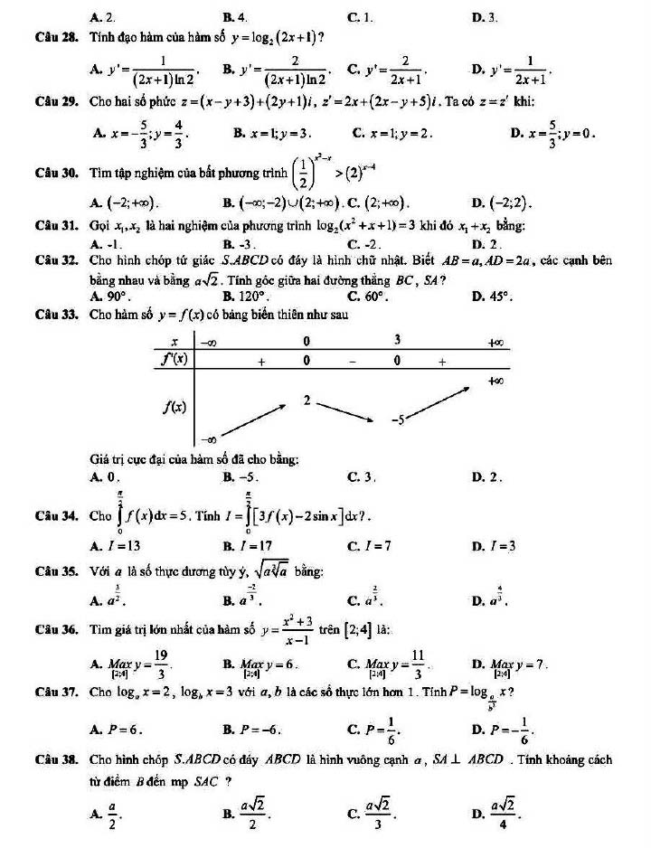
| Câu | Đ/a | Câu | Đ/a | Câu | Đ/a | Câu | Đ/a | Câu | Đ/a |
|---|---|---|---|---|---|---|---|---|---|
| 1 | C | 11 | B | 21 | B | 31 | A | 41 | C |
| 2 | B | 12 | B | 22 | B | 32 | D | 42 | C |
| 3 | B | 13 | A | 23 | A | 33 | D | 43 | D |
| 4 | A | 14 | C | 24 | C | 34 | A | 44 | D |
| 5 | C | 15 | A | 25 | C | 35 | C | 45 | D |
| 6 | B | 16 | A | 26 | B | 36 | D | 46 | D |
| 7 | B | 17 | D | 27 | A | 37 | B | 47 | C |
| 8 | C | 18 | B | 28 | B | 38 | B | 48 | B |
| 9 | B | 19 | A | 29 | C | 39 | C | 49 | C |
| 10 | B | 20 | C | 30 | D | 40 | C | 50 | C |
3. Tham khảo Đề thi thử THPT Quốc Gia 2022 môn Toán
- Đề thi thử THPT Quốc gia 2022 môn Toán Đề số 26
- Đề thi thử THPT Quốc gia 2022 môn Toán Đề số 27
- Đề thi thử THPT Quốc gia 2022 môn Toán Lê Lai - Thanh Hóa (lần 3)
- Đề thi thử THPT Quốc gia 2022 môn Toán Đề số 25
- Đề thi thử THPT Quốc gia 2022 môn Toán Đề số 22
- Đề thi thử THPT Quốc gia 2022 môn Toán Đông Triều - Quảng Ninh
- Đề thi thử THPT Quốc gia 2022 môn Toán Sở GD&ĐT Bình Thuận
- Đề thi thử THPT Quốc gia 2022 môn Toán Đô Lương 1 - Nghệ An
- Đề thi thử THPT Quốc gia 2022 môn Toán Sở GD&ĐT Sơn La
- Đề thi thử THPT Quốc gia 2022 môn Toán Kim Liên - Hà Nội (lần 1)
- Đề thi thử THPT Quốc gia 2022 môn Toán Sở GD&ĐT Bạc Liêu cụm 3
- Đề thi thử THPT Quốc gia 2022 môn Toán Đồng Lộc - Hà Tĩnh
- Đề thi thử THPT Quốc gia 2022 môn Toán Đề số 21
- Đề thi thử THPT Quốc gia 2022 môn Toán Sơ GD&ĐT Cà Mau
- Đề thi thử THPT Quốc gia 2022 môn Toán Thanh Miện 2 - Hải Dương (lần 4)
- Đề thi thử THPT Quốc gia 2022 môn Toán Quốc Tuấn - Hải Phòng (lần 2)
- Đề thi thử THPT Quốc gia 2022 môn Toán Sở GD&ĐT Hòa Bình (lần 2)
Đề thi thử THPT Quốc gia 2022 môn Toán Chuyên Biên Hòa - Hà Nam (lần 2) được Khoahoc chia sẻ trên đây. Hy vọng với tài liệu này sẽ giúp ích cho các em có thêm tài liệu tham khảo, ôn tập, rèn luyện thêm tại nhà, từ đó chuẩn bị tốt cho kì thi THPT sắp tới. Ngoài ra các em có thể tham khảo thêm các tài liệu khác tại tài liệu học tập lớp 12 này nhé
Xem thêm bài viết khác
- Đề KSCL học kì 2 môn Toán THPT Ngô Gia Tự năm 2022 Đề thi thử THPT Quốc gia 2022
- Đề thi thử THPT Quốc gia 2022 môn Toán Sở GD&ĐT Gia Lai Đề thi thử THPT Quốc gia 2022 - có đáp án
- Đề thi thử THPT Quốc gia 2022 môn Toán Đề số 8 Đề thi thử THPT Quốc gia 2022 - có đáp án
- Đề thi thử THPT Quốc gia 2022 môn Toán Thị xã Quảng Trị - Quảng Trị (lần 1) Đề thi thử THPT Quốc gia 2022 - có đáp án
- Đề thi thử THPT Quốc gia 2022 môn Toán Đề số 27 Đề thi thử THPT Quốc gia 2022
- Đề thi thử THPT Quốc gia 2022 môn Toán Đề số 26 Đề thi thử THPT Quốc gia 2022 - có đáp án
- Đề thi thử THPT Quốc gia 2022 môn Toán Hàn Thuyên - Bắc Ninh (lần 1) Đề thi thử THPT Quốc gia 2022 - có đáp án
- Đề thi thử THPT Quốc gia 2022 môn Toán Trần Phú - Vĩnh Phúc (lần 1) Đề thi thử THPT Quốc gia 2022 - có đáp án
- Đề thi thử THPT Quốc gia 2022 môn Toán Sở GD&ĐT Nghệ An Đề thi thử THPT Quốc gia 2022
- Đề thi thử THPT Quốc gia 2022 môn Toán Chuyên Hạ Long (lần 3) Đề thi thử THPT Quốc gia 2022 - có đáp án
Chủ đề liên quan