Đề thi thử THPT Quốc gia 2022 môn Toán Chuyên Võ Nguyên Giáp Đề thi thử THPT Quốc gia 2022
Đề thi thử THPT Quốc gia 2022 môn Toán Chuyên Võ Nguyên Giáp được Khoahoc sưu tầm và đăng tải. Đề thi gồm 50 câu hỏi, với thời gian 50 phút giúp ích cho các em có thêm tài liệu tham khảo, trau dồi thêm kỹ năng giải đề thi. Dưới đây là nội dung chi tiết của đề thi, các em tham khảo nhé
Đề thi thử THPT Quốc gia 2022 môn Toán
1. Đề thi thử THPT Quốc gia 2022 môn Toán Chuyên Võ Nguyên Giáp






2. Tham khảo Đề thi thử THPT Quốc Gia 2022 môn Toán
- Đề thi thử THPT Quốc gia 2022 môn Toán Đề số 1
- Đề thi thử THPT Quốc gia 2022 môn Toán Đề số 2
- Đề thi thử THPT Quốc gia 2022 môn Toán Đề số 3
- Đề thi thử THPT Quốc gia 2022 môn Toán Đề số 4
- Đề thi thử THPT Quốc gia 2022 môn Toán Đề số 5
- Đề thi thử THPT Quốc gia 2022 môn Toán Đề số 6
- Đề thi thử THPT Quốc gia 2022 môn Toán Đề số 7
- Đề thi thử THPT Quốc gia 2022 môn Toán Đề số 8
- Đề thi thử THPT Quốc gia 2022 môn Toán Đề số 9
- Đề thi thử THPT Quốc gia 2022 môn Toán Đề số 10
- Đề thi thử THPT Quốc gia 2022 môn Toán Đề số 11
- Đề thi thử THPT Quốc gia 2022 môn Toán Đề số 12
- Đề thi thử THPT Quốc gia 2022 môn Toán Đề số 13
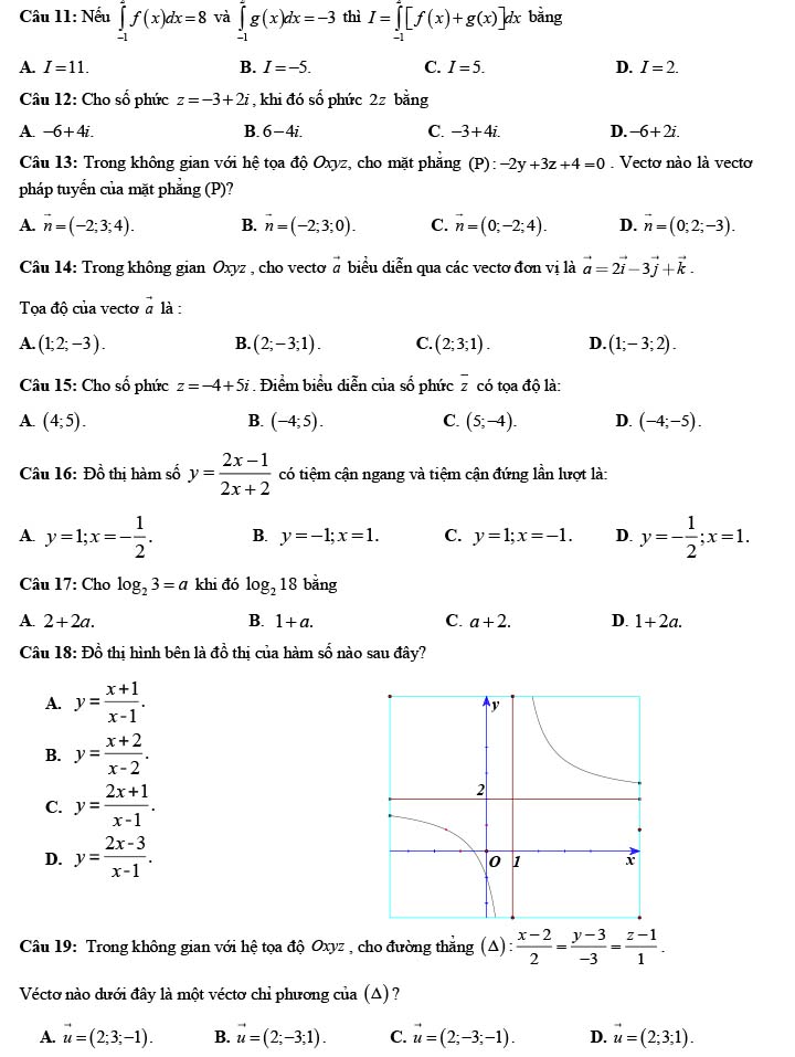
- Đề thi thử THPT Quốc gia 2022 môn Toán Đề số 14
- Đề thi thử THPT Quốc gia 2022 môn Toán Đề số 15
- Đề thi thử THPT Quốc gia 2022 môn Toán Đề số 16
- Đề thi thử THPT Quốc gia 2022 môn Toán Đề số 17
- Đề thi thử THPT Quốc gia 2022 môn Toán Đề số 18
- Đề thi thử THPT Quốc gia 2022 môn Toán Đề số 20
- Đề thi thử THPT Quốc gia 2022 môn Toán Liên Trường - Hà Tĩnh
- Đề thi thử THPT Quốc gia 2022 môn Toán Cụm trường Bắc Ninh
Đề thi thử THPT Quốc gia 2022 môn Toán Chuyên Võ Nguyên Giáp được Khoahoc chia sẻ trên đây. Hy vọng với tài liệu này sẽ giúp ích cho các em có thêm tài liệu ôn tập, củng cố kiến thức cũng như chuẩn bị tốt cho kì thi THPT sắp tới. Chúc các em ôn thi tốt, ngoài ra các em có thể tham khảo thêm các tài liệu khác tại tài liệu học tập lớp 12 này nhé
Xem thêm bài viết khác
- Đề thi thử THPT Quốc gia 2022 môn Toán Sơ GD&ĐT Cà Mau Đề thi thử THPT Quốc gia 2022 - có đáp án
- Đề thi thử THPT Quốc gia 2022 môn Toán Đề số 21 Đề thi thử THPT Quốc gia 2022 - có đáp án
- Đề thi thử THPT Quốc gia 2022 môn Toán Đề số 22 Đề thi thử THPT Quốc gia 2022 - có đáp án
- Đề thi thử THPT Quốc gia 2022 môn Toán Đồng Lộc - Hà Tĩnh Đề thi thử THPT Quốc gia 2022 - có đáp án
- Đề thi thử THPT Quốc gia 2022 môn Toán Sở GD&ĐT Bạc Liêu cụm 3 Đề thi thử THPT Quốc gia 2022 - có đáp án
- Đề thi thử THPT Quốc gia 2022 môn Toán Kim Liên - Hà Nội (lần 1) Đề thi thử THPT Quốc gia 2022 - có đáp án
- Đề thi thử THPT Quốc gia 2022 môn Toán Sở GD&ĐT Sơn La Đề thi thử THPT Quốc gia 2022 - có đáp án
Chủ đề liên quan