Đề thi thử THPT Quốc gia 2022 môn Toán Đề số 14 Đề thi thử THPT Quốc gia 2022 - có đáp án
Đề thi thử THPT Quốc gia 2022 môn Toán Đề số 14 được Khoahoc sưu tầm và đăng tải. Đề thi nằm trong bộ thi thử THPT Toán 2022 kèm theo đáp án, đề thi bám sát cấu trúc đề minh họa của Bộ GD&ĐT giúp học sinh 12 tự ôn tập tại nhà. Dưới đây là nội dung chi tiết đề thi, các em tham khảo nhé.
Đề thi thử THPT Quốc gia 2022 môn Toán
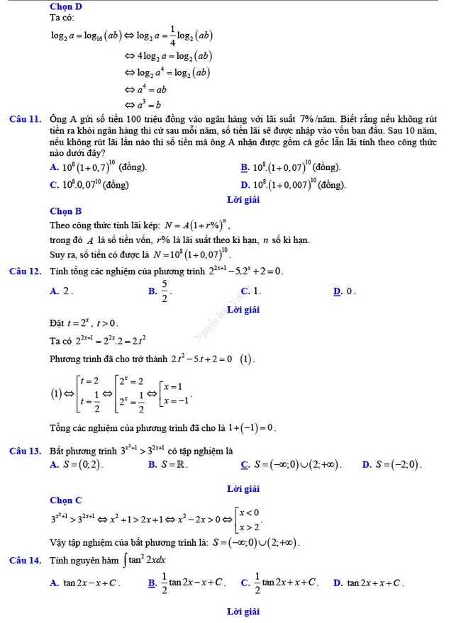
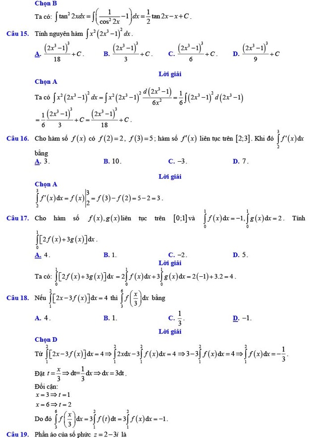
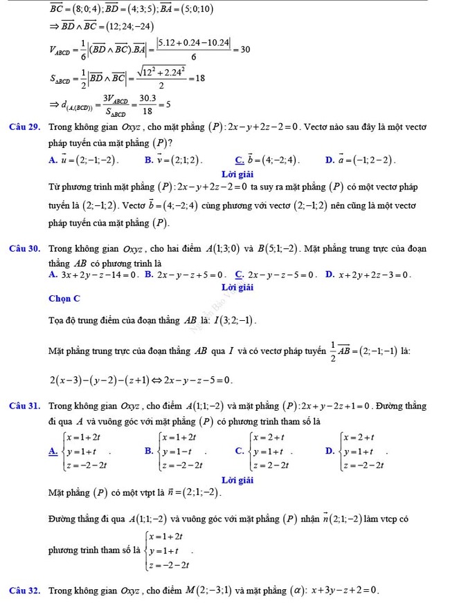
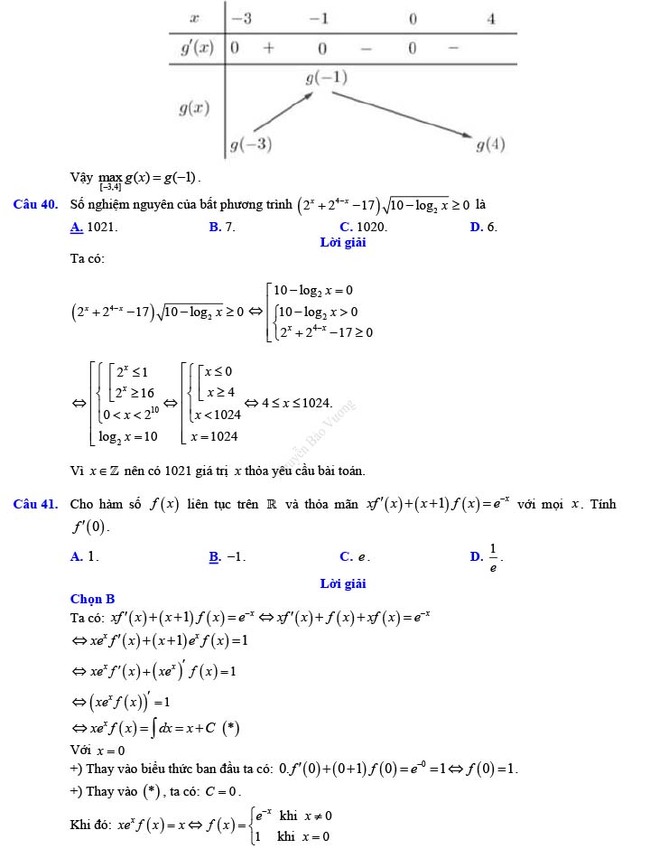
1. Đề thi thử THPT Quốc gia 2022 môn Toán Đề số 14





3. Đáp án đề thi thử THPT Quốc gia 2022 môn Toán Đề số 14


















3. Tham khảo Đề thi thử THPT Quốc Gia 2022 môn Toán
- Đề thi thử THPT Quốc gia 2022 môn Toán Sở GD&ĐT Hòa Bình (lần 2)
- Đề thi thử THPT Quốc gia 2022 môn Toán Thị xã Quảng Trị - Quảng Trị (lần 1)
- Đề thi thử THPT Quốc gia 2022 môn Toán Sở GD&ĐT Ninh Bình (lần 2)
- Đề thi thử THPT Quốc gia 2022 môn Toán Hồ Nghinh - Quảng Nam (lần 2)
- Đề thi thử THPT Quốc gia 2022 môn Toán Đề số 1
- Đề thi thử THPT Quốc gia 2022 môn Toán Đề số 2
- Đề thi thử THPT Quốc gia 2022 môn Toán Đề số 3
- Đề thi thử THPT Quốc gia 2022 môn Toán Đề số 4
- Đề thi thử THPT Quốc gia 2022 môn Toán Đề số 5
- Đề thi thử THPT Quốc gia 2022 môn Toán Đề số 6
- Đề thi thử THPT Quốc gia 2022 môn Toán Đề số 7
- Đề thi thử THPT Quốc gia 2022 môn Toán Đề số 8
- Đề thi thử THPT Quốc gia 2022 môn Toán Đề số 9
- Đề thi thử THPT Quốc gia 2022 môn Toán Đề số 10
- Đề thi thử THPT Quốc gia 2022 môn Toán Đề số 11
- Đề thi thử THPT Quốc gia 2022 môn Toán Đề số 12
- Đề thi thử THPT Quốc gia 2022 môn Toán Đề số 15
Đề thi thử THPT Quốc gia 2022 môn Toán Đề số 14 được Khoahoc chia sẻ trên đây. Hy vọng với đề thi kèm theo lời giải này sẽ giúp ích cho các em ôn tập hiệu quả hơn, trau dồi thêm kỹ năng giải đề qua đó chuẩn bị tốt cho kì thi THPT sắp tới. Chúc các em ôn thi tốt, ngoài ra các em có thể tham khảo thêm các tài liệu khác tại tài liệu học tập lớp 12 này nhé
Xem thêm bài viết khác
- Đề thi thử THPT Quốc gia 2022 môn Toán Ngô Gia Tự - Đắk Lắk Đề thi thử THPT Quốc gia 2022 - có đáp án
- Đề thi thử THPT Quốc gia 2022 môn Toán Lê Lai - Thanh Hóa (lần 2) Đề thi thử THPT Quốc gia 2022 - có đáp án
- Đề thi thử THPT Quốc gia 2022 môn Toán Đề số 25 Đề thi thử THPT Quốc gia 2022 - có đáp án
- Đề thi thử THPT Quốc gia 2022 môn Toán Đề số 29 Đề thi thử THPT Quốc gia 2022 - có đáp án
- Đề thi thử THPT Quốc gia 2022 môn Toán Đề số 28 Đề thi thử THPT Quốc gia 2022
- Đề thi thử THPT Quốc gia 2022 môn Toán Đề số 27 Đề thi thử THPT Quốc gia 2022
Chủ đề liên quan