Đề thi thử THPT Quốc gia 2022 môn Toán Đề số 29 Đề thi thử THPT Quốc gia 2022 - có đáp án
Đề thi thử THPT Quốc gia 2022 môn Toán Đề số 29 được Khoahoc sưu tầm và đăng tải. Đề thi gồm 50 câu hỏi với thời gian 90 phút, kèm theo đáp án để các em so sánh đánh giá. Dưới đây là nội dung chi tiết của đề thi, các em tham khảo nhé.
Đề thi thử THPT Quốc gia 2022 môn Toán
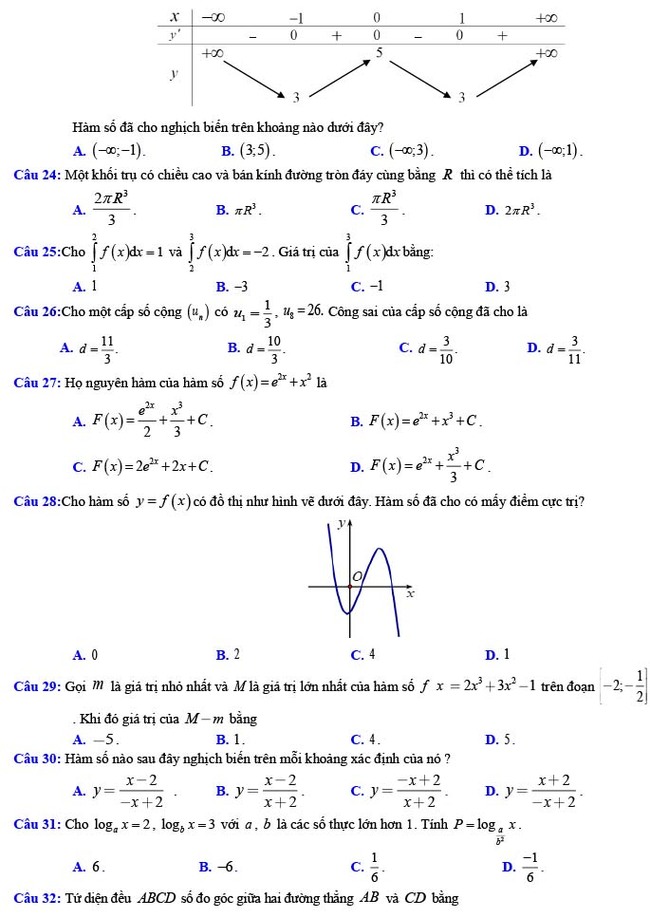
1. Đề thi thử THPT Quốc gia 2022 môn Toán Đề số 29






2. Đáp án đề thi thử THPT Quốc gia 2022 môn Toán đề số 29
| Câu | Đ/a | Câu | Đ/a | Câu | Đ/a | Câu | Đ/a | Câu | Đ/a |
|---|---|---|---|---|---|---|---|---|---|
| 1 | C | 11 | B | 21 | D | 31 | B | 41 | B |
| 2 | B | 12 | A | 22 | C | 32 | C | 42 | C |
| 3 | B | 13 | C | 23 | A | 33 | A | 43 | D |
| 4 | D | 14 | D | 24 | B | 34 | C | 44 | C |
| 5 | A | 15 | A | 25 | C | 35 | D | 45 | D |
| 6 | D | 16 | B | 26 | A | 36 | D | 46 | C |
| 7 | B | 17 | C | 27 | A | 37 | A | 47 | A |
| 8 | D | 18 | A | 28 | B | 38 | D | 48 | B |
| 9 | B | 19 | D | 29 | D | 39 | B | 49 | A |
| 10 | D | 20 | A | 30 | C | 40 | B | 50 | B |
3. Tham khảo Đề thi thử THPT Quốc Gia 2022 môn Toán
- Đề thi thử THPT Quốc gia 2022 môn Toán Lê Lai - Thanh Hóa (lần 3)
- Đề thi thử THPT Quốc gia 2022 môn Toán Trần Phú - Vĩnh Phúc (lần 2)
- Đề thi thử THPT Quốc gia 2022 môn Toán Trường THPT Nho Quan A
- Lịch thi tốt nghiệp THPT năm 2022
- Đề thi thử THPT Quốc gia 2022 môn Toán Sở GD&ĐT Hà Nội
- Đề thi thử THPT Quốc gia 2022 môn Toán Lương Tài 2 - Bắc Ninh (lần 3)
- Đề thi thử THPT Quốc gia 2022 môn Toán trường THPT Phan Đình Phùng - Quảng Bình
- Đề thi thử THPT Quốc gia 2022 môn Toán Chuyên Lam Sơn - Thanh Hóa (lần 1)
- Đề thi thử THPT Quốc gia 2022 môn Toán Trường THPT Xuân Đỉnh
- Đề thi thử THPT Quốc gia 2022 môn Toán Đề số 25
Đề thi thử THPT Quốc gia 2022 môn Toán Đề số 29 được Khoahoc chia sẻ trên đây. Hy vọng với tài liệu này sẽ giúp ích cho các em có thêm tài liệu ôn tập, củng cố kiến thức cũng như nâng cao kỹ năng giải đề, từ đó chuẩn bị tốt cho kì thi tốt nghiệp THPT sắp tới. Ngoài ra các em có thể tham khảo thêm các tài liệu khác tại tài liệu học tập lớp 12 này nhé
Liên kết tải về
Link Download chính thức:
Đề thi thử THPT Quốc gia 2022 môn Toán Đề số 29 Download XemCác phiên bản khác và liên quan:
Chủ đề liên quan