Giải câu 1 trang 41 sách toán VNEN lớp 8 tập 2
D.E. HOẠT ĐỘNG VẬN DỤNG và TÌM TÒI, MỞ RỘNG
Câu 1: Trang 41 sách VNEN 8 tập 2
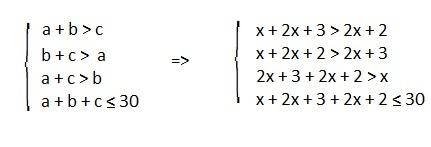
Cho tam giác có kích thước các cạnh như hình bên và có chu vi không lớn 30cm.
a) Viết bất phương trình ẩn x biểu diễn điều kiện về chu vi của tam giác.
b) Giải bất phương trình vừa tìm được
c) Độ dài lớn nhất của các cạnh tam giác là bao nhiêu?

Bài làm:
a) Theo điều kiện trong tam giác, ta được bất phương trình sau:

b) Giải bất phương trình ta có:

c) Theo câu b ta có:
1 < x
5
Suy ra Max x = 5
Vậy độ dài lớn nhất của các cạnh lần lượt là 5cm, 12cm, 13cm.
Xem thêm bài viết khác
- Giải câu 2 trang 29 sách toán VNEN lớp 8 tập 2
- Giải câu 9 trang 24 sách toán VNEN lớp 8 tập 2
- Giải câu 1 trang 84 sách toán VNEN lớp 8 tập 2
- Giải câu 1 trang 75 sách toán VNEN lớp 8 tập 2
- Giải câu 2 trang 83 sách toán VNEN lớp 8 tập 2
- Giải câu 2 trang 22 sách toán VNEN lớp 8 tập 2
- Giải câu 7 trang 111 sách toán VNEN lớp 8 tập 2
- Giải câu 7 trang 93 sách toán VNEN lớp 8 tập 2
- Giải câu 2 trang 46 sách toán VNEN lớp 8 tập 2
- Giải câu 3 trang 53 sách toán VNEN lớp 8 tập 2
- Giải toán VNEN 8 bài 1: Tỉ số của hai đoạn thẳng. Định lí Ta-lét trong tam giác
- Giải câu 2 trang 53 sách toán VNEN lớp 8 tập 2