-
Tất cả
-
Tài liệu hay
-
Toán Học
-
Soạn Văn
-
Soạn đầy đủ
- Tiếng Việt 2 tập 2 KNTT
- Tiếng Việt 2 CTST
- Tiếng Việt 2 sách Cánh Diều
- Tiếng Việt 3 tập 2
- Tiếng Việt 3 tập 1
- Tiếng Việt 4 tập 2
- Tiếng Việt 4 tập 1
- Tiếng Việt 5 tập 2
- Tiếng Việt 5 tập 1
- Soạn văn 6
- Soạn văn 7
- Soạn văn 8 tập 1
- Soạn văn 8 tập 2
- Soạn văn 9 tâp 1
- Soạn văn 9 tập 2
- Soạn văn 10 tập 1
- Soạn văn 10 tập 2
- Soạn văn 11
- Soạn văn 12
-
Soạn ngắn gọn
- Soạn văn 12 ngắn gọn tập 1
- Soạn văn 12 ngắn gọn tập 2
- Soạn văn 11 ngắn gọn tập 1
- Soạn văn 11 ngắn gọn tập 2
- Soạn văn 10 ngắn gọn tập 1
- Soạn văn 10 ngắn gọn tập 2
- Soạn văn 9 ngắn gọn tập 1
- Soạn văn 9 ngắn gọn tập 2
- Soạn văn 8 ngắn gọn tập 1
- Soạn văn 8 ngắn gọn tập 2
- Soạn văn 7 ngắn gọn tập 1
- Soạn văn 7 ngắn gọn tập 2
- Ngữ văn VNEN
- Đề thi THPT QG môn Ngữ Văn
-
Soạn đầy đủ
-
Tiếng Anh
-
Vật Lý
-
Hóa Học
-
Sinh Học
-
Lịch Sử
-
Địa Lý
-
GDCD
-
Khoa Học Tự Nhiên
-
Khoa Học Xã Hội
-
Các dạng toán Đại Số thường gặp trong đề thi tuyển sinh vào 10
Chỉ còn khoảng thời gian ngắn nữa là diễn ra kỳ thi tuyển sinh vào 10 năm 2017. Đây là thời gian gấp rút để các bạn ôn luyện và có các bí kíp riêng cho mình trước kỳ thi tuyển sắp tới.Dưới đây là những dạng bài toán thường gặp trong đề thi vào 10 theo chương trình chuẩn. Hi vọng rằng, nó sẽ giúp các bạn ôn tập lại kiến thức 1 cách tổng quát nhất.Chúc các bạn có một kỳ thi may mắn đạt kết quả cao !
Lời mở đầu :
Chỉ còn ít ngày nữa là kỳ thi tuyển sinh vào lớp 10 sẽ bắt đầu. Đây được coi là thời điểm gấp rút quá trình ôn luyện bởi vì nó mang tính chất quyết định các bạn học sinh có trở thành 1 thành viên của ngôi trường THPT tốt mà bản thân và gia đình đã từng kỳ vọng.Trong đó môn Toán là môn thi bắt buộc và phân môn Đại số luôn là phần chiếm 60 % số điểm.Nó luôn khiến nhiều bạn học sinh gặp khó khăn với những băn khoăn và đặt ra câu hỏi : "Năm nay , liệu đề thi sẽ ra theo hướng nào , cấu trúc đề ra sao ?" Với sự theo dõi cấu trúc đề thi tuyển sinh các năm trước , và kinh nghiệm từ những thầy cô giáo.KhoaHoc sẽ tổng hợp các dạng bài toán đại số thường gặp có trong đề với mong muốn giúp các bạn thí sinh ôn luyện thật tốt và làm bài thi Toán đạt điểm cao .
Các dạng toán Đại số trong bài thi môn Toán :
Dạng 1 : Rút gọn . Tính giá trị của biểu thức chứa căn thức bậc hai .
Phương pháp giải :
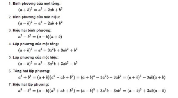
* Vận dụng các hằng đẳng thức đáng nhớ .

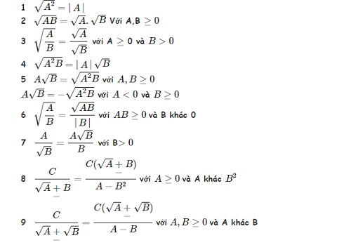
* Vận dụng các công thức biến đổi căn thức bậc hai .

Chú ý :
Đôi khi , trong các đề thi vào trường chuyên có thể gặp phải dạng toán căn thức bậc cao hơn ( như bậc ba hay bậc n ), ta áp dụng phương pháp sau :

* Ví dụ 1 :
Cho hai biểu thức :
và $B=\frac{\sqrt{x}}{\sqrt{x}-3}+\frac{2\sqrt{x}-24}{x-9} (x\geq 0,x\neq 9)$
a. Tính giá trị của biểu thức A khi x= 25 .
b. Chứng minh :
.
c. Tìm x để biểu thức P = A.B có giá trị là số nguyên .
< Trích đề thi tuyển sinh vào 10 THPT , TP Hà Nội năm 2016 - 2017 >
Dạng 2 : Hàm số và đồ thị
.
Phương pháp giải :
* Vẽ đồ thị hàm số ![]()
Các bước giải :
- Tìm tập xác định .
- Lập bảng giá trị .
- Vẽ đồ thị .
- Nhận xét tổng quan về đồ thị .
* Lập phương trình đường thẳng (d) : y = ax + b .
Loại 1 : Lập phương trình đường thẳng (d) biết (d) // (d') , (d') : y = a'x + b và (d) đi qua
.
Các bước giải :
- Tìm a , (d) // (d') =>

- Tìm b ,
.
Loại 2 : Lập phương trình đường thẳng (d) : y = ax + b , biết (d) đi qua
.
Cách giải :
<=> $\left\{\begin{matrix}y_{A}=ax_{A}+b & \\ y_{B}=ax_{B}+b & \end{matrix}\right.$
Giải hệ phương trình trên , ta được : ![]()
* Xác định tọa độ giao điểm của hai đồ thị : 2 cách
- Cách 1 : Vẽ hai đồ thị trên cùng một hệ trục tọa độ => Xác định được tọa độ giao điểm giữa chúng .
- Cách 2 : Lập phương trình hoành độ giao điểm => Giải phương trình , ta tìm được hoành độ giao điểm => Xác định tung độ giao điểm => Xác định được tọa độ giao điểm giữa chúng .
* Sự tương giao giữa parabol (P) :
và đường thẳng (d) : $y=mx+n (m\neq 0)$
Phương pháp giải :
Tọa độ điểm chung của (P) và (d) là nghiệm của hệ sau :
<=> $\left\{\begin{matrix}y=ax^{2} & \\ ax^{2}=mx+n (*) & \end{matrix}\right .$
Phương trình (*) là phương trình hoành độ điểm chung của hai đồ thị .
Số nghiệm của (*) chính là số điểm chung giữa (P) và (d ).
* Ví dụ 2 :
Trong mặt phẳng tọa độ Oxy cho đường thằng (d) :
và parabol (P) : $y=x^{2}$ .
a. Chứng minh rằng (d) luôn cắt (P) tại hai điểm phân biệt với mọi m .
b. Gọi
là hoành độ các giao điểm của (d) và (P) . Tìm m để $(x_{1}+1)(x_{2}+1)=1$ .
< Trích đề thi tuyển sinh vào 10 THPT , TP Hà Nội năm 2016 - 2017 >
Dạng 3 : Giải phương trình , hệ phương trình .
Phương pháp giải :
1. Phương trình chứa căn .
- Vận dụng các phép biến đổi tương đương đưa phương trình đã cho về dạng phương trình đã học .
- Vận dụng các phép biến đổi kéo theo đưa phương trình đã cho về dạng phương trình đã học .
=> Giải phương trình sau khi biến đổi => Thử lại => Kết luận .
* Một số phương trình cơ bản :
<=> $\left\{\begin{matrix}A\geq 0 (B\geq 0) & \\ A=B & \end{matrix}\right.$
<=> $\left\{\begin{matrix}B\geq 0 & \\ A=B^{2} & \end{matrix}\right.$
( A , B là các biểu thức chứa căn )
2. Hệ phương trình bậc nhất hai ẩn .
* Phương pháp thế :
- Dùng quy tắc thế biến đổi hệ phương trình đã cho để được một hệ mới , trong đó có một phương trình một ẩn .
- Giải phương trình một ẩn , từ đó thế vào phương trình còn lại để tìm nghiệm của hệ đã cho .
* Phương pháp cộng :
- Nhân hai vế của mỗi phương trình với một số thích hợp ( nếu cần ) , sao cho các hệ số của cùng một ẩn nào đó trong hai phương trình của hệ bằng nhau hoặc đối nhau .
- Vận dụng quy tắc cộng đại số để được hệ mới , trong đó có một phương trình một ẩn .
- Giải phương trình một ẩn , từ đó thế vào phương trình còn lại để tìm nghiệm của hệ đã cho .
3. Phương trinh bậc hai một ẩn :
Lập
hoặc $\Delta {}'=b'^{2}-ac$
* Trường hợp xét
:
+ Nếu
=> Phương trình có hai nghiệm phân biệt : $x_{1}=\frac{-b+\sqrt{\Delta }}{2a};x_{2}=\frac{-b-\sqrt{\Delta }}{2a}$
+ Nếu
=> Phương trình có nghiệm kép : $x_{1}=x_{2}=\frac{-b}{2a}$
+ Nếu
=> Phương trình vô nghiệm .
* Trường hợp xét
:
+ Nếu
=> Phương trình có hai nghiệm phân biệt : $x_{1}=\frac{-b{}'+\sqrt{\Delta{}' }}{a};x_{2}=\frac{-b{}'-\sqrt{\Delta{}' }}{a}$
+ Nếu
=> Phương trình có nghiệm kép : $x_{1}=x_{2}=\frac{-b{}'}{a}$
+ Nếu
=> Phương trình vô nghiệm .
4. Phương trình quy về phương trình bậc hai
* Phương trình trùng phương :
(*)
Đặt
=> (*) <=> ![]()
Giải phương trình tìm ẩn ( t ) => ẩn ( x ) .
* Phương trình tích :
Vận dụng các phép biến đổi đại số đưa phương trình đã cho về dạng : A .B ...C = 0 .
Trong đó :
là phương trình bậc nhất hoặc phương trình bậc hai .
Giải chúng , ta được nghiệm của phương trình đã cho .
* Phương trình chứa ẩn ở mẫu
- Tìm điều kiện xác định của phương trình .
- Quy đồng mẫu thức hai vế và khử mẫu thức .
- Giải phương trình sau biến đổi .
- Kết hợp với điều kiện ban đầu để tìm nghiệm của phương trình đã cho .
* Ví dụ 3 :
Giải hệ phương trình : 
< Trích đề thi tuyển sinh vào 10 THPT , TP Hà Nội năm 2016 - 2017 >
Dạng 4 : Hệ thức Vi - et và ứng dụng .
Phương pháp giải :
1. Tính giá trị của biểu thức chứa nghiệm
Các bước thực hiện :
- Chứng minh phương trình có nghiệm
( $\Delta \geq 0$ hoặc $\Delta {}'\geq 0$ hoặc a và c trái dấu ) - Biểu thị biểu thức chứa nghiệm theo :

- Từ đó , tìm được giá trị theo yêu cầu bài toán .
2. Xác định tham số để phương trình có hai nghiệm thỏa mãn điều kiện cho trước .
Các bước thực hiện :
- Xác định m để phương trình có nghiệm
( $\Delta \geq 0$ hoặc $\Delta {}'\geq 0$ ) - Tính :

- Từ điều kiện cho trước , kết hợp với S , P ta tìm được các giá trị tham số ( có thể có ) .
- Đối chiếu các giá trị tham số vừa tìm được với điều kiện bài toán => Xác định giá trị tham số thỏa mãn yêu cầu đề bài.
* Ví dụ 4 :
Cho phương trình :
( x là ẩn số ) (1)
a. Chứng minh (1) luôn có hai nghiệm phân biệt với mọi giá trị m .
b. Định m để hai nghiệm
của (1) thỏa mãn : $(1+x_{1})(2-x_{2})+(1+x_{2})(2-x_{1})=x_{1}^{2}+x_{2}^{2}+2$ .
< Trích đề thi tuyển sinh vào 10 THPT , TP Hồ Chí Minh năm 2016 - 2017 >
Trên đây là tổng hợp các dạng bài toán phân môn Đại số thường gặp trong đề thi tuyển sinh vào 10 .KhoaHoc tin rằng , đây sẽ là nguồn tài liệu vô cùng hữu ích cho các bạn thí sinh tự tin hơn để chinh phục kỳ thi tuyển cận kề tới .
Chúc các bạn vững tin , bình tĩnh có một kỳ thi đạt kết quả tốt !
B. BÀI TẬP VÀ HƯỚNG DẪN GIẢI
Kiến thức thú vị
Xem thêm bài viết khác
- Lời giải Ví dụ 2 Các dạng toán thường gặp trong đề thi tuyển sinh vào 10
- Lời giải Bài 5-Một số bài toán Thực tế thường gặp trong đề tuyển sinh vào 10 năm 2017
- Lời giải Bài 4-Một số bài toán Hình học thường gặp trong đề tuyển sinh vào 10 năm 2017
- Đáp án đề thi môn Toán kì thi tuyển sinh lên lớp 10 ở Hà Nội năm 2017
- Lời giải Bài 6-Một số bài toán Hình học thường gặp trong đề tuyển sinh vào 10 năm 2017
- Lời giải Bài 5 Đề thi thử lên lớp 10 môn toán lần 2 năm 2017 của trường THPT Quang Trung
- Đề thi thử lên lớp 10 môn toán lần 2 năm 2017 của trường THPT Cầu Giấy
- Một số bài toán Thực tế thường gặp trong đề tuyển sinh vào 10 năm 2017
- Lời giải Bài 4 Đề thi thử lên lớp 10 môn toán lần 2 năm 2017 của trường THPT Quang Trung
- Lời giải Bài 5-Một số bài toán Hình học thường gặp trong đề tuyển sinh vào 10 năm 2017
- Lời giải Bài 1, Bài 2 Đề thi thử lên lớp 10 môn toán lần 2 năm 2017 của trường THPT Lương Thế Vinh
- Lời giải Câu 5 Đề thi thử lên lớp 10 môn toán lần 1 năm 2017 của trường THPT Quang Trung