Đề 9: Luyện thi THPTQG môn Sinh học năm 2019
Đề 9: Luyện thi THPTQG môn Sinh học năm 2019. Đề gồm 40 câu hỏi, các em học sinh làm trong thời gian 50 phút. Khi làm xong, các em sẽ biết số điểm của mình và đáp án các câu hỏi. Hãy nhấn chữ bắt đầu ở phía dưới.
Câu 1. Hiện tượng ứ giọt ở các cây thân thảo vào mỗi buổi sáng sớm là do:
- A. Lực thoát hơi nước của lá đã kéo nước từ rễ lên lá.
- B. Lực đẩy của áp suất rễ đã đẩy nước từ rễ lên lá.
- C. Lực liên kết giữa nước với thành phần mạch dẫn đã đẩy nước từ rễ lên lá.
- D. Quá trình hô hấp của cây đã tạo ra nước và ngưng tụ ở bề mặt lá.
Câu 2. Ở loài động vật nào sau đây, hệ tuần hoàn không tham gia vận chuyển O2?
- A. Giun đất.
- B. Bồ câu.
- C. Châu chấu.
- D. Rắn.
Câu 3. Ở tế bào nhân thực, quá trình nhân đôi AND diễn ra ở vị trí nào sau đây?
- A. Nhân tế bào, ti thể, lục lạp.
- B. Màng tế bào.
- C. Màng nhân.
- D. Trung thể.
Câu 4. Loại enzim nào sau đây có khả năng làm tháo xoắn mạch ADN, tách 2 mạch của ADN và xúc tác tổng hợp mạch polinuclêôtit mới bổ sung với mạch khuôn?
- A. Enzim ADN polimeraza.
- B. Enzim ligaza.
- C. Enzim ARN polimeraza.
- D. Enzim restrictaza.
Câu 5. Nhiễm sắc thể trong tế bào sinh dưỡng
- A. tồn tại thành từng cặp tương đồng giống nhau về hình thái, kích thước và trình tự các gen tạo thành bộ nhiễm sắc thể 2n.
- B. tồn tại thành từng cặp tương đồng giống nhau về hình thái, kích thước và trình tự các gen tạo thành bộ nhiễm sắc thể n.
- C. tồn tại thành từng chiếc tương đồng giống nhau về hình thái, kích thước và trình tự các gen tạo thành bộ nhiễm sắc thể 2n.
- D. tồn tại thành từng cặp tương đồng khác nhau về hình thái, kích thước và trình tự các gen tạo thành bộ nhiễm sắc thể 2n.
Câu 6. Loại đột biến nào sau đây thường không làm thay đổi số lượng và thành phần gen trên một nhiễm sắc thể?
- A. Lặp đoạn nhiễm sắc thể.
- B. Đảo đoạn nhiễm sắc thể.
- C. Mất đoạn nhiễm sắc thể.
- D. Chuyển đoạn giữa hai nhiễm sắc thể khác nhau.
Câu 7. Phép lai nào sau đây cho đời con có 3 kiểu gen?
- A. AABB x AaBb.
- B. AABB x AaBb.
- C. AaBB x Aabb.
- D. AaBB x aaBb.
Câu 8. Trong trường hợp không xảy ra đột biến, nếu các cặp alen nằm trên các cặp nhiễm sắc thể tương đồng khác nhau thì chúng:
- A. di truyền cùng nhau tạo thành nhóm gen liên kết
- B. sẽ phân li độc lập trong quá trình giảm phân hình thành giao tử.
- C. luôn có số lượng, thành phần và trật tự các nuclêôtit giống nhau.
- D. luôn tương tác với nhau cùng quy định một tính trạng.
Câu 9. Một cá thể có kiểu gen
(tần số hoán vị gen giữa hai gen B và D là 20%). Tỉ lệ loại giao tử aBD là bao nhiêu?
- A. 5%.
- B. 20%.
- C. 15%.
- D. 10%.
Câu 10. Ở một loài thực vật, cho cây hoa đỏ thuần chủng lai với cây hoa trắng thuần chủng thu được F1 toàn cây hoa đỏ. Cho F1 tự thụ phấn được F2 có 245 cây hoa trắng : 315 cây hoa đỏ. Hãy chọn kết luận đúng về số loại kiểu gen của thế hệ F2.
- A. Đời F2 có 9 loại kiểu gen, trong đó có 4 kiểu gen quy định hoa đỏ.
- B. Đời F2 có 16 loại kiểu gen, trong đó có 4 kiểu gen quy định hoa trắng.
- C. Đời F2 có 9 loại kiểu gen quy định cây hoa đỏ, 7 kiểu gen quy định hoa trắng.
- D. Đời F2 có 16 loại kiểu gen, trong đó có 7 kiểu gen quy định hoa trắng.
Câu 11. Một quần thể đang ở trạng thái cân bằng di truyền có tần số alen A = 0,1. Phát biểu nào sau đây đúng?
- A. Tỉ lệ kiểu gen Aa = 9%.
- B. Tỉ lệ kiểu gen aa = 18%.
- C. Tỉ lệ kiểu gen dị hợp bằng 9 lần tỉ lệ kiểu gen đồng hợp trội.
- D. Tỉ lệ kiểu gen đồng hợp lặn bằng 81 lần tỉ lệ kiểu gen đồng hợp trội.
Câu 12. Công nghệ ADN tái tổ hợp cần sử dụng loại enzim nào sau đây?
- A. ARN polimeraza.
- B. Restrictaza.
- C. ADN polimeraza.
- D. Proteaza.
Câu 13. Giao phối không ngẫu nhiên có đặc điểm nào sau đây?
- A. Làm thay đổi tần số alen theo một hướng xác định.
- B. Làm tăng tỉ lệ kiểu gen dị hợp, giảm tỉ lệ kiểu gen đồng hợp.
- C. Chỉ làm thay đổi tần số kiểu gen mà không làm thay đổi tần số alen.
- D. Có thể loại bỏ hoàn toàn một alen nào đó ra khỏi quần thể.
Câu 14. Khi nói về sự phát sinh loài người, phát biểu nào sau đây sai?
- A. Loài người xuất hiện vào đầu kỉ thứ tư (đệ tứ) của đại tân sinh.
- B. Có hai giai đoạn là tiến hóa sinh học và tiến hóa xã hội.
- C. Vượn người ngày nay là tổ tiên của loài người.
- D. Tiến hóa sinh học đóng vai trò quan trọng ở giai đoạn đầu.
Câu 15. Đến mùa sinh sản, ve sầu cái đua nhau phát ra tiếng kêu để tìm con đực. Hiện tượng đua nhau này là thuộc mối quan hệ sinh thái nào sau đây?
- A. Cạnh tranh cùng loài.
- B. Cạnh tranh khác loài.
- C. Ức chế cảm nhiễm.
- D. Hỗ trợ cùng loài.
Câu 16. Chim sáo mỏ đỏ và linh dương có mối quan hệ sinh thái nào sau đây?
- A. Sinh vật ăn sinh vật.
- B. Kí sinh.
- C. Cộng sinh.
- D. Hợp tác.
Câu 17. Khi nói về quang hợp ở thực vật, phát biểu nào sau đây đúng?
- A. Khi không có
thì không xảy ra pha tối nhưng vẫn xảy ra pha sáng. - B. Pha tối không sử dụng ánh sáng cho nên nếu không có đủ ánh sáng thì pha tối vẫn diễn ra.
- C. Quá trình quang phân li nước diễn ra ở pha sáng, do đó nếu không có pha tối thì cây vẫn giải phóng
. - D. Nếu có một chất độc ức chế pha tối thì pha sáng cũng bị ức chế.
Câu 18. Khi nói về đặc điểm tiêu hóa ở động vật, có bao nhiêu phát biểu sau đây đúng?
I. Tất cả các loài thú ăn thực vật đều có dạ dày 4 ngăn.
II. Ở thú ăn thịt, thức ăn là thịt được tiêu hóa cơ học và hóa học trong dạ dày giống như ở người.
III. Ruột non ở thú ăn thịt ngắn hơn so với ruột non ở thú ăn thực vật.
IV. Ở động vật có ống tiêu hóa, thức ăn được tiêu hóa nội bào.
- A. 2.
- B. 1.
- C. 3.
- D. 4.
Câu 19. Khi nói về đột biến gen, có bao nhiêu phát biểu sau đây đúng?
I. Trong quần thể, giả sử gen A có 5 alen và có tác nhân 5BU tác động vào quá trình nhân đôi của gen A thì quần thể sẽ có 6 alen.
II. Tác nhân 5BU tác động gây đột biến gen thì có thể sẽ làm tăng chiều dài của gen.
III. Gen trong tế bào chất bị đột biến thì chỉ có thể được di truyền cho đời sau qua sinh sản vô tính.
IV. Đột biến thay thế một cặp nucleôtit vẫn có thể làm tăng số axit amin của chuỗi pôlipeptit.
- A. 3.
- B. 4.
- C. 1.
- D. 2.
Câu 20. Một loài thực vật có bộ nhiễm sắc thể 2n = 24 đã xuất hiện thể đột biến có 25 nhiễm sắc thể. Thể đột biến này có thể được phát sinh nhờ bao nhiêu cơ chế sau đây?
I. Rối loạn giảm phân, một cặp nhiễm sắc thể không phân li.
II. Rối loạn nguyên phân, một cặp nhiễm sắc thể không phân li.
III. Tiếp hợp và trao đổi chéo không cân giữa 2 cromatit cùng nguồn gốc.
IV. Rối loạn giảm phân, tất cả các cặp nhiễm sắc thể không phân li.
- A. 1.
- B. 3.
- C. 2.
- D. 4.
Câu 21. Ở một loài động vật, xét 2 cặp gen quy định hai cặp tính trạng, alen trội là trội hoàn toàn. Cho 2 cây đều dị hợp 2 cặp gen giao phấn với nhau, thu được F1 có 4% số cá thể đồng hợp lặn về 2 cặp gen. Biết rằng không xảy ra đột biến nhưng xảy ra hoán vị gen ở cả giới đực và giới cái với tần số như nhau. Theo lí thuyết, có bao nhiêu phát biểu sau đây đúng?
I. Nếu hai cây P có kiểu gen giống nhau thì tần số hoán vị là 40%.
II. Ở F1, loại kiểu hình có 2 tính trạng trội chiếm 54%.
III. Cho cây dị hợp về 2 cặp gen lai phân tích, có thể thu được đời con có số cá thể đồng hợp lặn chiếm 10%.
IV. F1 có 5 kiểu gen quy định kiểu hình trội về 2 tính trạng
- A. 2.
- B. 3.
- C. 4.
- D. 1.
Câu 22. Theo thuyết tiến hóa hiện đại, có bao nhiêu phát biểu sau đây đúng?
I. Chọn lọc tự nhiên làm thay đổi đột ngột tần số alen và thành phần kiểu gen của quần thể.
II. Quá trình tiến hóa nhỏ diễn ra trên quy mô quần thể và diễn biến không ngừng dưới tác động của các nhân tố tiến hóa.
III. Các yếu tố ngẫu nhiên làm nghèo vốn gen quần thể, giảm sự đa dạng di truyền nên luôn dẫn tới tiêu diệt quần thể.
IV. Khi không có tác động của các nhân tố tiến hóa thì tần số alen và thành phần kiểu gen của quần thể sẽ không thay đổi.
- A. 2.
- B. 4.
- C. 3.
- D. 1.
Câu 23. Khi nói về kích thước của quần thể sinh vật, phát biểu nào sau đây đúng?
- A. Nếu kích thước quần thể vượt quá mức tối đa thì cạnh tranh giữa các cá thể trong quần thể tăng cao dẫn tới có thể sẽ làm tiêu diệt quần thể.
- B. Nếu kích thước quần thể xuống dưới mức tối thiểu, quần thể dễ rơi vào trạng thái suy giảm dẫn tới diệt vong.
- C. Kích thước quần thể thường ổn định và đặc trưng cho từng loài.
- D. Các quần thể cùng loài luôn có kích thước quần thể giống nhau.
Câu 24. Khi nói về chuỗi thức ăn và lưới thức ăn trong quần xã sinh vật. Phát biểu nào sau đây đúng?
- A. Trong quần xã đỉnh cực, chỉ có một loại chuỗi thức ăn được khởi đầu bằng sinh vật tự dưỡng.
- B. Khi đi từ vĩ độ thấp đến vĩ độ cao, cấu trúc của lưới thức ăn ở các hệ sinh thái càng trở nên phức tạp hơn.
- C. Trong một quần xã sinh vật, mỗi loài có thể tham gia vào nhiều chuỗi thức ăn khác nhau.
- D. Quần xã sinh vật càng đa dạng về thành phần loài thì các chuỗi thức ăn càng có ít mắt xích chung.
Câu 25. Trong tế bào của một loài thực vật, xét 5 gen A, B, C, D, E. Trong đó gen A và B cùng nằm trên nhiễm sắc thể số 1, gen C nằm trên nhiễm sắc thể số 2, gen D nằm trong ti thể, gen E nằm trong lục lạp. Biết không xảy ra đột biến. Theo lí thuyết, có bao nhiêu phát biểu sau đây đúng?
I. Nếu gen A nhân đôi 5 lần thì gen B cũng nhân đôi 5 lần.
II. Nếu gen B phiên mã 10 lần thì gen C cũng phiên mã 10 lần.
III. Nếu tế bào phân bào 2 lần thì gen D nhân đôi 2.
IV. Khi gen E nhân đôi một số lần, nếu có chất 5BU thấm vào tế bào thì có thể sẽ làm phát sinh đột biến gen dạng thay thế cặp A-T bằng cặp G-X.
- A. 3.
- B. 2.
- C. 1.
- D. 4.
Câu 26. Khi nói về đột biến gen, có bao nhiêu phát biểu sau đây đúng?
I. Đột biến thay thế một cặp nuclêôtit có thể không làm thay đổi cấu trúc của prôtêin.
II. Đột biến gen tạo ra nguồn nguyên liệu sơ cấp cho tiến hóa.
III. Đột biến điểm là dạng đột biến gen liên quan đến một cặp nuclêôtit.
IV. Đột biến gen có thể gây hại nhưng cũng có thể vô hại hoặc có lợi cho thể đột biến.
- A. 1.
- B. 2.
- C. 4.
- D. 3.
Câu 27. Ở một loài thú, cặp nhiễm sắc thể giới tính ở giới cái là XX, giới đực là XY; tính trạng màu sắc thân do hai cặp gen phân li độc lập quy định. Cho con cái thân đen thuần chủng giao phối với con đực thân trắng thuần chủng (P), thu được F1 có 100% cá thể thân đen. Cho con đực F1 lai với con cái có kiểu gen đồng hợp tử lặn, thu được Fa có kiểu hình phân li theo tỉ lệ: 2 con đực cánh trắng : 1 con cái cánh đen : 1 con cái cánh trắng. Cho F1 giao phối ngẫu nhiên, thu được F2. Theo lí thuyết, có bao nhiêu phát biểu sau đây đúng?
I. Tính trạng màu sắc thân di truyền theo quy luật tương tác bổ sung và liên kết giới tính.
II. Trong số con thân trắng ở F2, số con đực chiếm tỉ lệ là 5/7.
III. Trong số con thân đen ở F2, số con cái chiếm tỉ lệ là 2/3.
IV. Trong số con đực ở F2, số con thân đen chiếm tỉ lệ là 3/4.
- A. 1.
- B. 2.
- C. 3.
- D. 4.
Câu 28. Cho phép lai , thu (P)
được F1. Biết rằng không xảy ra đột biến. Theo lí thuyết, có bao nhiêu phát biểu sau đây đúng?
I. F1 có tối đa 32 kiểu gen đồng hợp.
II. F1 có tối đa 8 kiểu gen dị hợp về 5 cặp gen.
III. F1 có tối đa 16 kiểu gen dị hợp về 2 cặp gen.
IV. F1 có tối đa 36 loại kiểu gen.
- A. 1.
- B. 2.
- C. 3.
- D. 4.
Câu 29. Thế hệ xuất phát (P) của một quần thể ngẫu phối có 1000 cá thể với tỉ lệ kiểu gen là 0,36AA:0,48Aa:0,16aa. Theo quan niệm tiến hóa hiện đại, có bao nhiêu phát biểu sau đây đúng?
I. Nếu có 200 cá thể có kiểu gen aa di cư từ nơi khác đến thì khi quần thể thiết lập lại trạng thái cân bằng sẽ cấu trúc là 0,25AA : 0,5Aa : 0,25aa.
II. Nếu sau một thế hệ, quần thể có cấu trúc di truyền F1 là 0,1AA : 0,4Aa : 0,5aa thì rất có thể quần thể đã chịu tác động của nhân tố ngẫu nhiên.
III. Nếu cấu trúc di truyền của F1: 0,5AA : 0,3Aa : 0,2aa; F2: 0,55AA : 0,4Aa: 0,1aa; của F3: 0,6AA : 0,3Aa : 0,1aa thì quần thể đang chịu tác động của nhân tố chọn lọc tự nhiên.
IV. Nếu quần thể chuyển sang tự phối thì cấu trúc di truyền ở các thế hệ tiếp theo sẽ bị thay đổi.
- A. 1.
- B. 2.
- C. 3.
- D. 4.
Câu 30. Khi nói về kích thước quần thể, có bao nhiêu phát biểu sau đây đúng?
I. Nếu kích thước quần thể giảm xuống dưới mức tối thiểu thì quần thể sẽ rơi vào trạng thái tuyệt chủng.
II. Nếu không có di – nhập cư và tỉ lệ sinh sản bằng tỉ lệ tử vong thì kích thước quần thể sẽ được duy trì ổn định.
III. Cạnh tranh cùng loài góp phần duy trì ổn định kích thước quần thể phù hợp với sức chứa của môi trường.
IV. Nếu môi trường được bổ sung thêm nguồn sống thì tỉ lệ sinh sản tăng và thường dẫn tới làm tăng kích thước quần thể.
- A. 3.
- B. 1.
- C. 4.
- D. 2.
Câu 31. Một lưới thức ăn của hệ sinh thái rừng nguyên sinh được mô tả như sau: Sóc ăn quả dẻ; diều hâu ăn sóc và chim gõ kiến; xén tóc ăn nón thông; chim gõ kiến và thằn lằn ăn xén tóc; chim gõ kiến và thằn lằn là thức ăn của trăn. Khi nói về lưới thức ăn này, có bao nhiêu phát biểu sau đây là đúng?
I. Nếu loài chim gõ kiến bị tiêu diệt thì số lượng diều hâu có thể giảm.
II. Nếu loài diều hâu bị tiêu diệt thì số lượng sóc có thể tăng.
III. Chim gõ kiến và thằn lằn đều thuộc bậc dinh dưỡng cấp 3.
IV. Lưới thức ăn này có 4 chuỗi thức ăn.
- A. 1.
- B. 2.
- C. 3.
- D. 4.
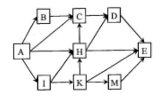
Câu 32. Một lưới thức ăn gồm có 9 loài được mô tả như hình bên. Theo lí thuyết, có bao nhiêu phát biểu sau đây đúng?

I. Loài K tham gia vào 4 chuỗi thức ăn.
II. Có 12 chuỗi thức ăn, trong đó chuỗi dài nhất có 7 mắt xích.
III. Nếu loài H và C bị tuyệt diệt thì lưới thức ăn này chỉ có tối đa 6 loài.
IV. Tổng sinh khối của loài A sẽ lớn hơn tổng sinh khối của các loài còn lại.
- A. 4.
- B. 3.
- C. 1.
- D. 2.
Câu 33. Một loài động vật, xét 3 gen nằm trên 3 cặp nhiễm sắc thể, mỗi gen quy định một tính trạng và alen trội là trội hoàn toàn, trong đó gen 1 chỉ có 1 alen, các gen còn lại mỗi gen có 2 alen. Do đột biến, trong loài đã xuất hiện các dạng thể một tương ứng với các cặp nhiễm sắc thể. Theo lí thuyết, khi nói về kiểu gen và kiểu hình về các gen đang xét, có bao nhiêu phát biểu sau đây đúng?
I. Trong loài này có tối đa 24 kiểu gen.
II. Các cây mang kiểu hình trội về cả 3 tính trạng có tối đa 12 kiểu gen.
III. Các cây mang kiểu hình lặn về hai trong 3 tính trạng có tối đa 4 loại kiểu gen.
IV. Khi giảm phân, trong loài này có tối đa 24 loại giao tử về các gen đang xét.
- A. 1.
- B. 2.
- C. 3.
- D. 4.
Câu 34. Khi nói về đột biến nhiễm sắc thể, có bao nhiêu phát biểu sau đây đúng?
I. Đột biến chuyển đoạn không bao giờ làm thay đổi số lượng gen có trong tế bào.
II. Đột biến đảo đoạn không làm thay đổi số lượng gen trên nhiễm sắc thể.
III. Đột biến thể ba làm tăng số lượng nhiễm sắc thể có trong tế bào.
IV. Ở các đột biến đa bội chẵn, số lượng nhiễm sắc thể luôn là số chẵn.
- A. 3.
- B. 2.
- C. 1.
- D. 4.
Câu 35. Một loài thực vật, xét hai cặp gen cùng nằm trên NST thường, mỗi gen quy định một tính trạng, alen trội là trội hoàn toàn. Biết không xảy ra đột biến. Cho 2 cơ thể dị hợp về 2 cặp gen giao phấn với nhau, thu được F1. Biết không xảy ra đột biến. Theo lí thuyết, có bao nhiêu phát biểu sau đây đúng?
I. F1 có tối đa 10 kiểu gen.
II. Nếu các gen liên kết hoàn toàn thì F1 có tối đa 3 kiểu hình.
III. Nếu tần số hoán vị gen nhỏ hơn 20% thì F1 có kiểu hình trội về 2 tính trạng luôn chiếm trên 50%.
IV. Nếu hoán vị gen chỉ xảy ra trong quá trình phát sinh giao tử đực thì F1 có tối đa 7 loại kiểu gen..
- A. 1
- B. 2.
- C. 3.
- D. 4.
Câu 36. Một loài thực vật, mỗi gen quy định một tính trạng. Cho cây hoa đỏ, quả tròn giao phấn với cây hoa trắng, quả dài (P), thu được F1 có 100% cây hoa hồng, quả bầu dục. Cho cây F1 giao phấn với cây N, thu đượ F2 có tỉ lệ: 1 cây hoa đỏ, quả bầu dục : 1 cây hoa hồng, quả tròn : 1 cây hoa hồng, quả dài : 1 cây hoa trắng, quả bầu dục. Biết không xảy ra đột biến. Theo lí thuyết, có bao nhiêu phát biểu sau đây đúng?
I. Cây F1 và cây N đều dị hợp về 2 cặp gen.
II. Nếu F1 tự thụ phấn thì F2 có tỉ lệ kiểu hình 3:1.
III. Nếu tất cả F2 tự thụ phấn thì F3 có 12,5% hoa đỏ, quả tròn.
IV. Nếu cây N tự thụ phấn thì đời con có tỉ lệ kiểu hình 1:2:1.
- A. 1.
- B. 2.
- C. 3.
- D. 4.
Câu 37. Một loài thực vật, tính trạng màu hoa do 2 cặp gen Aa và Bb phân li độc lập quy định. Khi trong kiểu gen có A thì quy định hoa đỏ; khi kiểu gen aaB- thì quy định hoa vàng; kiểu gen aabb quy định hoa trắng. Biết rằng không xảy ra đột biến. Theo lí thuyết, có bao nhiêu phát biểu sau đây đúng?
I. Cho cây dị hợp về 2 cặp gen tự thụ phấn, thu được F1 có 6,25% số cây hoa trắng.
II. Nếu cho cây hoa đỏ giao phấn với cây hoa vàng thì có thể thu được đời con có 100% số cây hoa đỏ.
III. Nếu cho 2 cây đều có hoa đỏ giao phấn với nhau thì có thể thu được đời con có 12,5% số cây hoa vàng.
IV. Nếu cho 2 cây đều có hoa vàng giao phấn với nhau thì có thể thu được đời con có 25% số cây hoa trắng.
- A. 1.
- B. 2.
- C. 3.
- D. 4.
Câu 38. Một loài động vật, xét 2 cặp gen Aa và Bb nằm trên nhiễm sắc thể thường, trong đó alen A quy định lông dài trội hoàn toàn so với alen a quy định lông ngắn, alen B quy định lông đen trội hoàn toàn so với alen b quy định lông trắng. Biết không xảy ra đột biến. Theo lí thuyết, có bao nhiêu phát biểu sau đây đúng?
I. Cho con đực dị hợp 2 cặp gen giao phối với con cái lông dài, màu đen. Nếu đời con có 12,5% số cá thể lông dài, màu trắng thì 2 cặp gen phân li độc lập với nhau.
II. Cho con đực lông dài, màu trắng giao phối với con cái lông ngắn, màu đen, thu được F1 có 25% số cá thể lông ngắn, màu đen thì chứng tỏ F1 có 4 kiểu gen.
III. Cho con đực dị hợp 2 cặp gen giao phối với con cái đồng hợp lặn, thu được F1 có 6,25% số cá thể lông ngắn, màu trắng thì chứng tỏ hai gen cách nhau 12,5 cM.
IV. Cho con đực dị hợp 2 cặp gen giao phối với con cái dị hợp 2 cặp gen thì trong các kiểu hình thu được ở đời con, kiểu hình lông ngắn, trắng luôn có tỉ lệ thấp nhất.
- A. 1.
- B. 4.
- C. 3.
- D. 2.
Câu 39. Ở cừu, kiểu gen DD quy định có sừng, kiểu gen dd quy định không sừng, kiểu gen Dd quy định có sừng ở con đực và không sừng ở con cái. Trong một quần thể cân bằng di truyền có 30% số cừu có sừng. Biết rằng số cá thể cừu đực bằng số cá thể cừu cái và không xảy ra đột biến. Theo lí thuyết, có bao nhiêu phát biểu sau đây đúng?
I. Tần số alen d trong quần thể này là 0,7.
II. Nếu cho các cá thể không sừng trong quần thể ngẫu phối với nhau thì đời con chỉ xuất hiện các cá thể không sừng.
III. Nếu cho các cá thể có sừng trong quần thể giao phối ngẫu nhiên với nhau thì tỉ lệ cừu có sừng ở đời con là 27/34.
IV. Lấy ngẫu nhiên một cặp đực cái trong quần thể đều không sừng giao phối với nhau sinh được 1 con non, xác suất thu được cá thể có sừng là 3/26.
- A. 3.
- B. 4.
- C. 1.
- D. 2.
Câu 40. Sự di truyền bệnh P ở người do 1 trong 2 alen quy định và được thể hiện qua sơ đồ phả hệ dưới đây. Các chữ cái cho biết các nhóm máu tương ứng của mỗi người. Biết rằng bệnh P di truyền độc lập với tính trạng nhóm máu và không xảy ra đột biến.

Theo lí thuyết, có bao nhiêu phát biểu sau đây đúng?
I. Xác định được chính xác kiểu gen của 6 người.
II. Có tối thiểu 3 người mang kiểu gen đồng hợp về nhóm máu.
III. Xác suất sinh 2 con đều có máu O và bị bệnh P của cặp 7-8 là 1/576.
IV. Xác suất sinh con trai có máu A và không bị bệnh P của cặp 7-8 là 5/72.
- A. 2.
- B. 4.
- C. 3.
- D. 1
Xem thêm bài viết khác
- Đề và đáp án môn Sinh học mã đề 207 thi THPT quốc gia năm 2017 đáp án của bộ GD-ĐT
- Đề 9: Luyện thi THPTQG môn Sinh học năm 2019
- Thi THPQG 2020: Đề thi và đáp án môn Sinh học mã đề 214
- Thi THPQG 2020: Đề thi và đáp án môn Sinh học mã đề 217
- Đề và đáp án môn Sinh học mã đề 205 thi THPT quốc gia năm 2017 đáp án của bộ GD-ĐT
- Đề và đáp án môn Sinh học mã đề 213 thi THPT quốc gia năm 2017 đáp án của bộ GD-ĐT
- Đề thi thử THPT quốc gia môn Sinh học năm 2017 số 3Đề thi thử THPT quốc gia môn Sinh học năm 2017 số 3
- Thi THPQG 2020: Đề thi và đáp án môn Sinh học mã đề 223
- Thi THPQG 2019: Đề thi và đáp án môn Sinh học mã đề 203
- Đề thi thử THPT quốc gia môn Sinh học năm 2017 số 6Đề thi thử THPT quốc gia môn Sinh học năm 2017 số 6
- Thi THPQG 2019: Đề thi và đáp án môn Sinh học mã đề 224
- Đề và đáp án môn Sinh học mã đề 217 thi THPT quốc gia năm 2017 đáp án của bộ GD-ĐT