- Tất cả
-
Tài liệu hay -
Toán Học -
Soạn Văn - Soạn đầy đủ
- Tiếng Việt 2 tập 2 KNTT
- Tiếng Việt 2 CTST
- Tiếng Việt 2 sách Cánh Diều
- Tiếng Việt 3 tập 2
- Tiếng Việt 3 tập 1
- Tiếng Việt 4 tập 2
- Tiếng Việt 4 tập 1
- Tiếng Việt 5 tập 2
- Tiếng Việt 5 tập 1
- Soạn văn 6
- Soạn văn 7
- Soạn văn 8 tập 1
- Soạn văn 8 tập 2
- Soạn văn 9 tâp 1
- Soạn văn 9 tập 2
- Soạn văn 10 tập 1
- Soạn văn 10 tập 2
- Soạn văn 11
- Soạn văn 12
- Soạn ngắn gọn
- Soạn văn 12 ngắn gọn tập 1
- Soạn văn 12 ngắn gọn tập 2
- Soạn văn 11 ngắn gọn tập 1
- Soạn văn 11 ngắn gọn tập 2
- Soạn văn 10 ngắn gọn tập 1
- Soạn văn 10 ngắn gọn tập 2
- Soạn văn 9 ngắn gọn tập 1
- Soạn văn 9 ngắn gọn tập 2
- Soạn văn 8 ngắn gọn tập 1
- Soạn văn 8 ngắn gọn tập 2
- Soạn văn 7 ngắn gọn tập 1
- Soạn văn 7 ngắn gọn tập 2
- Ngữ văn VNEN
- Đề thi THPT QG môn Ngữ Văn
- Soạn đầy đủ
-
Tiếng Anh -
Vật Lý -
Hóa Học -
Sinh Học -
Lịch Sử -
Địa Lý -
GDCD -
Khoa Học Tự Nhiên -
Khoa Học Xã Hội
-
Giải câu 4 bài: Ôn tập chương 3
Câu 4:Trang 126-sgk giải tích 12
Tính:
a) ![]()
b) 
c) ![]()
d) ![]()
e) 
g) ![]()
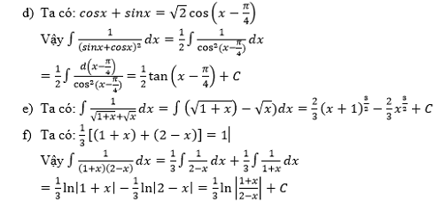
Bài làm:


Cập nhật: 07/09/2021
Xem thêm bài viết khác
- Giải câu 5 bài: Phương trình bậc hai với hệ số thực
- Giải câu 12 bài: Ôn tập chương 4
- Giải bài 3: Giá trị lớn nhất và giá trị nhỏ nhất của hàm số
- Giải câu 5 bài: Ôn tập chương 3
- Tìm điều kiện của tham số để hàm số có hai cực trị thoả mãn điều kiện nào đấy.
- Giải câu 2 bài: Phương trình bậc hai với hệ số thực
- Dạng 2: Dùng tính đơn điệu để chứng minh bất đẳng thức chứa mũ và lôgarit
- Giải câu 1 bài: Ôn tập chương 3
- Dạng 1: Tính tích phân dùng phương pháp đồng nhất hệ số với phân thức có mẫu ở dạng tích
- Giải câu 5 bài: Lôgarit
- Giải câu 3 bài 3: Giá trị lớn nhất và giá trị nhỏ nhất của hàm số
- Giải câu 3 bài: Cộng, trừ và nhân số phức