- Tất cả
-
Tài liệu hay -
Toán Học -
Soạn Văn - Soạn đầy đủ
- Tiếng Việt 2 tập 2 KNTT
- Tiếng Việt 2 CTST
- Tiếng Việt 2 sách Cánh Diều
- Tiếng Việt 3 tập 2
- Tiếng Việt 3 tập 1
- Tiếng Việt 4 tập 2
- Tiếng Việt 4 tập 1
- Tiếng Việt 5 tập 2
- Tiếng Việt 5 tập 1
- Soạn văn 6
- Soạn văn 7
- Soạn văn 8 tập 1
- Soạn văn 8 tập 2
- Soạn văn 9 tâp 1
- Soạn văn 9 tập 2
- Soạn văn 10 tập 1
- Soạn văn 10 tập 2
- Soạn văn 11
- Soạn văn 12
- Soạn ngắn gọn
- Soạn văn 12 ngắn gọn tập 1
- Soạn văn 12 ngắn gọn tập 2
- Soạn văn 11 ngắn gọn tập 1
- Soạn văn 11 ngắn gọn tập 2
- Soạn văn 10 ngắn gọn tập 1
- Soạn văn 10 ngắn gọn tập 2
- Soạn văn 9 ngắn gọn tập 1
- Soạn văn 9 ngắn gọn tập 2
- Soạn văn 8 ngắn gọn tập 1
- Soạn văn 8 ngắn gọn tập 2
- Soạn văn 7 ngắn gọn tập 1
- Soạn văn 7 ngắn gọn tập 2
- Ngữ văn VNEN
- Đề thi THPT QG môn Ngữ Văn
- Soạn đầy đủ
-
Tiếng Anh -
Vật Lý -
Hóa Học -
Sinh Học -
Lịch Sử -
Địa Lý -
GDCD -
Khoa Học Tự Nhiên -
Khoa Học Xã Hội
-
Giải câu 6 bài: Ôn tập chương 3
Câu 6:Trang 127-sgk giải tích 12
Tính:
a) 
b) 
c) 
d) 
e) 
g) 
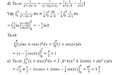
Bài làm:


Cập nhật: 07/09/2021
Xem thêm bài viết khác
- Dạng 4: Tính đơn điệu của hàm hợp
- Dạng 4: Tính tích phân của phân thức có bậc của tử số lớn hơn bậc mẫu số.
- Dạng 1: Tìm điều kiện của tham số để hàm phân thức đồng biến trên từng khoảng xác định
- Giải câu 4 bài 3: Giá trị lớn nhất và giá trị nhỏ nhất của hàm số
- Giải câu 2 bài 2: Sự đồng biến, nghịch biến của hàm số
- Giải câu 5 bài: Lũy thừa
- Giải câu 2 bài 3: Giá trị lớn nhất và giá trị nhỏ nhất của hàm số
- Toán 12: Đề kiểm tra học kì 2 dạng trắc nghiệm (Đề 2)
- Giá trị lớn nhất, giá trị nhỏ nhất của số phức
- Giải bài 6: Bất phương trình mũ và lôgarit
- Giải câu 2 bài: Cộng, trừ và nhân số phức
- Giải câu 1 bài: Hàm số lũy thừa