- Tất cả
-
Tài liệu hay -
Toán Học -
Soạn Văn - Soạn đầy đủ
- Tiếng Việt 2 tập 2 KNTT
- Tiếng Việt 2 CTST
- Tiếng Việt 2 sách Cánh Diều
- Tiếng Việt 3 tập 2
- Tiếng Việt 3 tập 1
- Tiếng Việt 4 tập 2
- Tiếng Việt 4 tập 1
- Tiếng Việt 5 tập 2
- Tiếng Việt 5 tập 1
- Soạn văn 6
- Soạn văn 7
- Soạn văn 8 tập 1
- Soạn văn 8 tập 2
- Soạn văn 9 tâp 1
- Soạn văn 9 tập 2
- Soạn văn 10 tập 1
- Soạn văn 10 tập 2
- Soạn văn 11
- Soạn văn 12
- Soạn ngắn gọn
- Soạn văn 12 ngắn gọn tập 1
- Soạn văn 12 ngắn gọn tập 2
- Soạn văn 11 ngắn gọn tập 1
- Soạn văn 11 ngắn gọn tập 2
- Soạn văn 10 ngắn gọn tập 1
- Soạn văn 10 ngắn gọn tập 2
- Soạn văn 9 ngắn gọn tập 1
- Soạn văn 9 ngắn gọn tập 2
- Soạn văn 8 ngắn gọn tập 1
- Soạn văn 8 ngắn gọn tập 2
- Soạn văn 7 ngắn gọn tập 1
- Soạn văn 7 ngắn gọn tập 2
- Ngữ văn VNEN
- Đề thi THPT QG môn Ngữ Văn
- Soạn đầy đủ
-
Tiếng Anh -
Vật Lý -
Hóa Học -
Sinh Học -
Lịch Sử -
Địa Lý -
GDCD -
Khoa Học Tự Nhiên -
Khoa Học Xã Hội
-
Đề thi thử THPT quốc gia môn toán năm 2017- Đề tham khảo số 11
Đây là đề tham khảo số 11 trong bộ đề 8 điểm mình sưu tầm được
Câu 1: Đường cong trong hình bên là đồ thị của một hàm số trong bốn hàm số được liệt kê ở bốn phương án A, B, C, D dưới đây. Hỏi hàm số đó là hàm số nào?
A.
.
B.
.
C.
.
D.
.
Câu 23: Đường cong hình bên là đồ thị hàm ố
. Xét các phát biểu sau:
(1) a=-1.
(2) ad<
(3) ab>0
(4) d=-1
(5) a+c=b+1
Số phát biểu sai là:
A. 2.
B. 3.
C. 1.
D. 4.
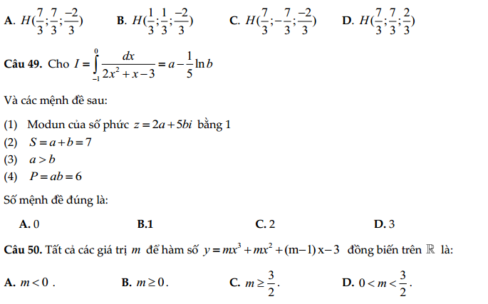
Câu 49: Cho
.
Và các mệnh đề sau:
(1) Modun của số phức
bằng 1.
(2) S=a+b=7.
(3) a >b.
(4) P=ab=6.
Số mệnh đề đúng là :
A. 0.
B. 1.
C. 2.
D. 3.













B. BÀI TẬP VÀ HƯỚNG DẪN GIẢI
Kiến thức thú vị
Chủ đề liên quan
Mới nhất trong tuần
- Đề minh họa 2022 môn Toán Đề tham khảo thi tốt nghiệp 2022 môn Toán - có đáp án
- Tuyển tập, sưu tầm những đề thi THPT quốc gia môn Toán mới nhất năm 2020. Các đề thi sẽ liên tục được cập nhật và bổ sung. Hi vọng rằng,các sỹ tử sẽ tìm ra được sự hữu ích
- 1. Đề và đáp án môn Toán kì thi THPTQG năm 2020
- Đề thi và đáp án: Mã đề 101
- Đề thi và đáp án: Mã đề 103
- Đề thi và đáp án: Mã đề 105
- Đề thi và đáp án: Mã đề 107
- Đề thi và đáp án: Mã đề 109
- Đề thi và đáp án: Mã đề 111
- Đề thi và đáp án: Mã đề 113
- Đề thi và đáp án: Mã đề 115
- Đề thi và đáp án: Mã đề 117
- Đề thi và đáp án: Mã đề 119
- Đề thi và đáp án: Mã đề 121
- Đề thi và đáp án: Mã đề 123
- 2. Đề và đáp án môn Toán kì thi THPTQG năm 2019
- Đề thi và đáp án môn Toán: Mã đề 101
- Đề thi và đáp án môn Toán: Mã đề 103
- Đề thi và đáp án môn Toán: Mã đề 105
- Đề thi và đáp án môn Toán: Mã đề 107
- Đề thi và đáp án môn Toán: Mã đề 109
- Đề thi và đáp án môn Toán: Mã đề 111
- Đề thi và đáp án môn Toán: Mã đề 113
- Đề thi và đáp án môn Toán: Mã đề 115
- Đề thi và đáp án môn Toán: Mã đề 117
- Đề thi và đáp án môn Toán: Mã đề 119
- Đề thi và đáp án môn Toán: Mã đề 121
- Đề thi và đáp án môn Toán: Mã đề 123
- 3. Đề luyện thi môn Toán mới nhất năm 2018
- 4. Đề luyện thi môn Toán những năm trước
- Đề thi thử THPT quốc gia môn toán năm 2017 của trường THPT chuyên- ĐH Vinh lần 3
- Đề thi thử THPT quốc gia môn toán năm 2017 của trường THPT chuyên Thái Bình lần 4
- Đề thi thử THPT quốc gia môn toán năm 2017 của trường THPT Hà Huy Tập lần 1
- Đề thi thử THPT quốc gia môn toán năm 2017- Đề tham khảo số 3
- Đề thi khảo sát chất lượng môn toán năm 2017- Sở giáo dục đào tạo Thanh Hóa
- Đề thi minh họa THPT Quốc gia năm 2017 của Bộ Giáo dục và đào tạo lần 3
- Đề thi thử THPT quốc gia môn toán năm 2017 của GSTT
- Đề thi thử THPT quốc gia môn toán năm 2017- Đề tham khảo số 5
- Đề thi thử THPT quốc gia môn toán năm 2017 của Sở giáo dục và đào tạo tỉnh Hải Phòng
- Đề thi thử THPT quốc gia môn toán năm 2017 của trường THPT chuyên Thái Bình lần 5
- Đề thi thử THPT quốc gia môn toán năm 2017- Đề tham khảo số 7
- Đề thi thử THPT quốc gia môn toán năm 2017- Đề tham khảo số 2
- Đề thi thử THPT quốc gia môn toán năm 2017 của trường Sở GD-ĐT Bắc Giang
- Đề thi thử THPT quốc gia môn toán năm 2017- Đề tham khảo số 11
- Đề thi thử THPT quốc gia môn toán năm 2017- Đề tham khảo số 13
- 5. Đề và đáp án môn Toán kì thi THPTQG năm 2017
- Đề và đáp án môn Toán mã đề 102 thi THPT quốc gia năm 2017 đáp án của bộ GD-ĐT
- Đề và đáp án môn Toán mã đề 104 thi THPT quốc gia năm 2017 đáp án của bộ GD-ĐT
- Đề và đáp án môn Toán mã đề 106 thi THPT quốc gia năm 2017 đáp án của bộ GD-ĐT
- Đề và đáp án môn Toán mã đề 108 thi THPT quốc gia năm 2017 đáp án của bộ GD-ĐT
- Đề và đáp án môn Toán mã đề 110 thi THPT quốc gia năm 2017 đáp án của bộ GD-ĐT
- Đề và đáp án môn Toán mã đề 112 thi THPT quốc gia năm 2017 đáp án của bộ GD-ĐT
- Đề và đáp án môn Toán mã đề 114 thi THPT quốc gia năm 2017 đáp án của bộ GD-ĐT
- Đề và đáp án môn Toán mã đề 116 thi THPT quốc gia năm 2017 đáp án của bộ GD-ĐT
- Đề và đáp án môn Toán mã đề 118 thi THPT quốc gia năm 2017 đáp án của bộ GD-ĐT
- Đề và đáp án môn Toán mã đề 120 thi THPT quốc gia năm 2017 đáp án của bộ GD-ĐT
- Đề và đáp án môn Toán mã đề 122 thi THPT quốc gia năm 2017 đáp án của bộ GD-ĐT
- Đề và đáp án môn Toán mã đề 124 thi THPT quốc gia năm 2017 đáp án của bộ GD-ĐT
- 1. Đề và đáp án môn Toán kì thi THPTQG năm 2020