- Tất cả
-
Tài liệu hay -
Toán Học -
Soạn Văn - Soạn đầy đủ
- Tiếng Việt 2 tập 2 KNTT
- Tiếng Việt 2 CTST
- Tiếng Việt 2 sách Cánh Diều
- Tiếng Việt 3 tập 2
- Tiếng Việt 3 tập 1
- Tiếng Việt 4 tập 2
- Tiếng Việt 4 tập 1
- Tiếng Việt 5 tập 2
- Tiếng Việt 5 tập 1
- Soạn văn 6
- Soạn văn 7
- Soạn văn 8 tập 1
- Soạn văn 8 tập 2
- Soạn văn 9 tâp 1
- Soạn văn 9 tập 2
- Soạn văn 10 tập 1
- Soạn văn 10 tập 2
- Soạn văn 11
- Soạn văn 12
- Soạn ngắn gọn
- Soạn văn 12 ngắn gọn tập 1
- Soạn văn 12 ngắn gọn tập 2
- Soạn văn 11 ngắn gọn tập 1
- Soạn văn 11 ngắn gọn tập 2
- Soạn văn 10 ngắn gọn tập 1
- Soạn văn 10 ngắn gọn tập 2
- Soạn văn 9 ngắn gọn tập 1
- Soạn văn 9 ngắn gọn tập 2
- Soạn văn 8 ngắn gọn tập 1
- Soạn văn 8 ngắn gọn tập 2
- Soạn văn 7 ngắn gọn tập 1
- Soạn văn 7 ngắn gọn tập 2
- Ngữ văn VNEN
- Đề thi THPT QG môn Ngữ Văn
- Soạn đầy đủ
-
Tiếng Anh -
Vật Lý -
Hóa Học -
Sinh Học -
Lịch Sử -
Địa Lý -
GDCD -
Khoa Học Tự Nhiên -
Khoa Học Xã Hội
-
Đề thi khảo sát chất lượng môn toán năm 2017- Sở giáo dục đào tạo Thanh Hóa
Đây là một đề thi hay và bám sát chương trình thi THPT Quốc gia
Đề thi khảo sát chất lượng môn toán năm 2017- Sở giáo dục đào tạo Thanh Hóa
Câu 1: Cho hàm số
. Mệnh đề nào dưới đây đúng?
A. Hàm số nghịch biến trên các khoảng
và $(0,+\infty)$.
B. Hàm số nghịch biến trên các khoảng (-1,0) và
.
C. Hàm số đồng biến trên các khoảng
và $(0,1)$.
D. Hàm số đồng biến trên các khoảng (-1,0) và
.
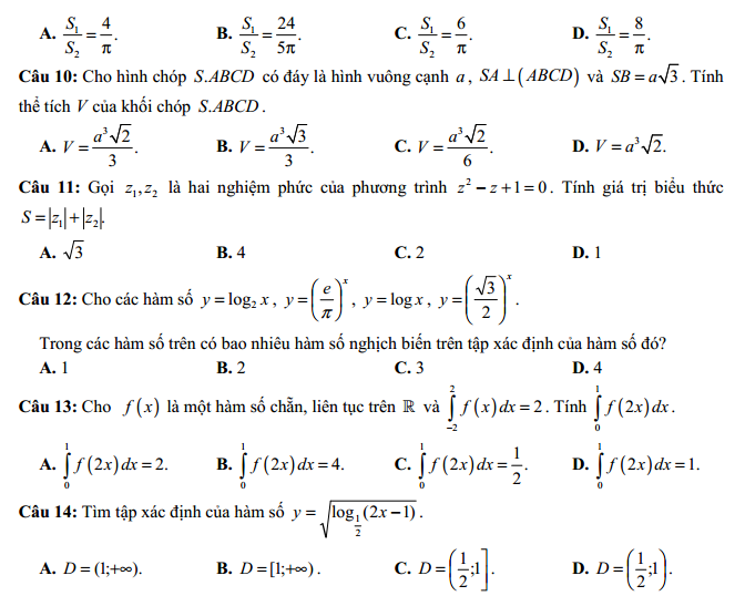
Câu 9:Cho hình lập phương cá cạnh bằng a và một hình trụ (T) có hai đáy là hai hình tròn nội tiếp hai mặt đối diện của hình lập phương. Gọi
là diện tích toàn phần của hình lập phương, $S_{2}$ là diện tích toàn phần của hình trụ (T). Tính tỉ số $ \frac{S_{1}}{S_{2}}$.
A.
.
B.
.
C.
.
D.
.
Câu 40: Một công ty quảng cáo X muôn làm một bức tranh trang trí hình MNEIF ở chính giữa của một bức tường hình chữ nhật ABCD có chiều cao BC=6m, chiều dài CD=12m (hình vẽ). Cho biết hình chữ nhật MNEF là hình chữ nhật có MN=4m, cung EIF có hình dạng là một phần của cung Parabol có đỉnh I là trung điểm của cạnh AB và đi qua hai điểm C và D. Kinh phí làm bức tranh là 900 000 đồng/
. Hỏi công ty X cần bao nhiêu tiền để làm bức tranh đó.
A. 20.400.000 đồng.
B. 20.600.000 đồng.
C. 20.800.000 đồng.
D. 21.200.000 đồng.












B. BÀI TẬP VÀ HƯỚNG DẪN GIẢI
Kiến thức thú vị
- Đề minh họa 2022 môn Toán Đề tham khảo thi tốt nghiệp 2022 môn Toán - có đáp án
- Toán 12 Chương 1: Ứng dụng đạo hàm để khảo sát và vẽ đồ thị của hàm số
- Chương 2: Hàm số lũy thừa. Hàm số mũ và hàm số Lôgarit
- Chương 3: Nguyên hàm. Tích phân và ứng dụng
- Chương 4: Số phức
- Chuyên đề ôn tập Toán 12
- Ôn tập thi THPT quốc gia môn Toán chuyên đề SỐ PHỨC
- Một số công thức và phương pháp tính nhanh trắc nghiệm- Chuyên đề HÀM SỐ
- Thơ hay để nhớ công thức tính đạo hàm của hàm số
- Chuyên đề một số công thức tính nhanh bán kính mặt cầu ngoại tiếp hình chóp
- Một số phương pháp để học tốt hình học không gian
- Phát triển từ đề thi minh họa THPT Quốc gia lần 3 môn Toán
- Chuyên đề đồ thị hàm số chứa dấu trị tuyệt đối
- Hình học 12
- Chương 1: Khối đa diện
- Chương 2: Mặt nón. Mặt trụ. Mặt cầu
- Chương 3: Phương pháp tọa độ trong không gian
- Đề luyện thi 12
- Đề thi thử THPT quốc gia môn toán năm 2017 của trường THPT chuyên- ĐH Vinh lần 3
- Đề thi thử THPT quốc gia môn toán năm 2017 của trường THPT chuyên Thái Bình lần 4
- Đề thi thử THPT quốc gia môn toán năm 2017 của trường THPT Hà Huy Tập lần 1
- Đề thi thử THPT quốc gia môn toán năm 2017- Đề tham khảo số 3
- Đề thi khảo sát chất lượng môn toán năm 2017- Sở giáo dục đào tạo Thanh Hóa
- Đề thi minh họa THPT Quốc gia năm 2017 của Bộ Giáo dục và đào tạo lần 3
- Đề thi thử THPT quốc gia môn toán năm 2017 của GSTT
- Đề thi thử THPT quốc gia môn toán năm 2017- Đề tham khảo số 5