Giải VNEN toán hình 7 bài 1: Hai tam giác bằng nhau
Giải bài 1: Hai tam giác bằng nhau - Sách hướng dẫn học toán 7 tập 1 trang 111. Sách này nằm trong bộ VNEN của chương trình mới. Dưới đây sẽ hướng dẫn trả lời và giải đáp các câu hỏi trong bài học. Cách làm chi tiết, dễ hiểu, Hi vọng các em học sinh nắm tốt kiến thức bài học.
A. Hoạt động khởi động
1. Thực hiện các hoạt động sau
Quan sát hình 55, dùng thước có chia khoảng và thước đo góc để:

- Đo độ dài các cặp đoạn thẳng AB và A’B’; AC và A’C’; BC và B’C’ và so sánh từng cặp cạnh đó.
- Đo các cặp góc
và $\widehat{A’}$; $\widehat{B}$ và $\widehat{B’}$, $\widehat{C}$ và $\widehat{C’}$ và so sánh từng cặp góc đó.
Trả lời:
Sau khi dùng thước thằng và thước đo góc, ta được kết quả so sánh như sau:
+ AB = A’B’; AC = A’C’ = ; BC = B’C’.
+
= $\widehat{A’}$; $\widehat{B}$ = $\widehat{B’}$, $\widehat{C}$ = $\widehat{C’}$.
2. Nhận xét (sgk trang 111)
B. Hoạt động hình thành kiến thức
1. a) Đọc kĩ nội dung sau (sgk trang 112)
b) Tìm các cặp tam giác bằng nhau trong hình 57 và giải thích vì sao.

Trả lời:
Từ hình vẽ và theo định nghĩa, ta xác định các cặp tam giác có 3 cạnh tương ứng và 3 góc tương ứng bằng nhau sau:
+
.
+
.
2. Thực hiện các hoạt động sau
a) Quy ước (sgk trang 112)
b) Quan sát hình 58 và viết vào vở
Các cạnh và các góc của
và $\bigtriangleup FGE$ được đánh dấu như hình vẽ (các kí hiệu giống nhau chỉ các cạnh bằng nhau hoặc các góc bằng nhau),
- Các đỉnh tương ứng với các đỉnh M, N, P lần lượt là ………………………………………..
; NP = ….; $\widehat{F} = …$
Trả lời:
- Các đỉnh tương ứng với các đỉnh M, N, P lần lượt là F, G, E.
; NP = EG; $\widehat{F} = \widehat{M}$.
B. BÀI TẬP VÀ HƯỚNG DẪN GIẢI
Kiến thức thú vị
C. Hoạt động luyện tập
Câu 1: Trang 113 sách toán VNEN lớp 7 tập 1
Thực hiện các hoạt động sau
a) Quan sát hình 59 và điền vào chỗ trống (…)

Nếu
thì $\widehat{F} = …$; AB = …..
b) Quan sát các hình 60a và 60b, các cạnh bằng nhau được đánh dấu bởi các kí hiệu giống nhau. Viết kí hiệu thể hiện sự bằng nhau của 2 tam giác có trên hình đó.

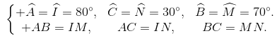
- Ở hình 60a:
có $\widehat{A} + \widehat{B} + \widehat{C} = 180^{\circ}$ (định lí tổng ba góc trong tam giác).
có $\widehat{I} + \widehat{M} + \widehat{N} = 180^{\circ}$ (định lí tổng ba góc trong tam giác).
Mà
(theo hình vẽ) $\Rightarrow \widehat{B} = \widehat{M} = 70^{\circ}$.
Xét
và $\bigtriangleup INM$ có:

$\bigtriangleup ABC =\bigtriangleup IMN$.
- Em hãy làm tương tự với hình 60b vào vở.
Câu 2: Trang 114 sách toán VNEN lớp 7 tập 1
Luyện tập
a) Cho
. Tìm cạnh tương ứng với cạnh BC. Tìm góc tương ứng với góc H. Viết ra các cặp cạnh tương ứng bằng nhau, các cặp góc tương ứng bằng nhau.
b) Cho
trong đó AB = 3 cm, $\widehat{B} = 45^{\circ}$, BC = 5 cm. Em có thể suy ra số đo của những cạnh nào, những góc nào của $\bigtriangleup HIK$?
c) Cho
. Tính chu vi mỗi tam giác, biết AB = 4,5 cm, BC = 7 cm, DF = 5,3 cm.
D. E Hoạt động vận dụng và tìm tòi mở rộng
Câu 1: Trang 114 sách toán VNEN lớp 7 tập 1
Thực hiện các hoạt động sau
Câu 2: Trang 115 sách toán VNEN lớp 7 tập 1
Luyện tập
a) Cho hai tam giác bằng nhau:
(không có hai góc nào bằng nhau, không có hai cạnh nào bằng nhau) và $\bigtriangleup HIK$. Viết kí hiệu thể hiện sự bằng nhau của hai tam giác dó, biết AB = KI, $\widehat{B} = \widehat{K}$.
b) Tìm hiểu qua Internet hình ảnh về hai tam giác bằng nhau trong xây dựng và trong đời sống (ví dụ như hỉnh ảnh các đố của mái nhà, tủ quần áo …).