- Tất cả
-
Tài liệu hay -
Toán Học -
Soạn Văn - Soạn đầy đủ
- Tiếng Việt 2 tập 2 KNTT
- Tiếng Việt 2 CTST
- Tiếng Việt 2 sách Cánh Diều
- Tiếng Việt 3 tập 2
- Tiếng Việt 3 tập 1
- Tiếng Việt 4 tập 2
- Tiếng Việt 4 tập 1
- Tiếng Việt 5 tập 2
- Tiếng Việt 5 tập 1
- Soạn văn 6
- Soạn văn 7
- Soạn văn 8 tập 1
- Soạn văn 8 tập 2
- Soạn văn 9 tâp 1
- Soạn văn 9 tập 2
- Soạn văn 10 tập 1
- Soạn văn 10 tập 2
- Soạn văn 11
- Soạn văn 12
- Soạn ngắn gọn
- Soạn văn 12 ngắn gọn tập 1
- Soạn văn 12 ngắn gọn tập 2
- Soạn văn 11 ngắn gọn tập 1
- Soạn văn 11 ngắn gọn tập 2
- Soạn văn 10 ngắn gọn tập 1
- Soạn văn 10 ngắn gọn tập 2
- Soạn văn 9 ngắn gọn tập 1
- Soạn văn 9 ngắn gọn tập 2
- Soạn văn 8 ngắn gọn tập 1
- Soạn văn 8 ngắn gọn tập 2
- Soạn văn 7 ngắn gọn tập 1
- Soạn văn 7 ngắn gọn tập 2
- Ngữ văn VNEN
- Đề thi THPT QG môn Ngữ Văn
- Soạn đầy đủ
-
Tiếng Anh -
Vật Lý -
Hóa Học -
Sinh Học -
Lịch Sử -
Địa Lý -
GDCD -
Khoa Học Tự Nhiên -
Khoa Học Xã Hội
-
Giải câu 1 bài: Tích phân
Câu 1:Trang 112 - sgk giải tích 12
Tính các tích phân sau:
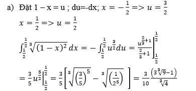
a) ![\int_{-\frac{1}{2}}^{\frac{1}{2}}\sqrt[3]{(1-x)^{2}}dx](https://i.khoahoc.com.vn/data/image/holder.png)
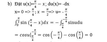
b) 
c) 
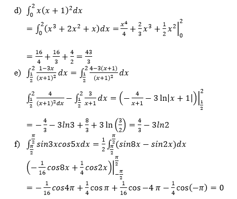
d) 
e) 
g) 
Bài làm:




Cập nhật: 07/09/2021
Xem thêm bài viết khác
- Giải câu 4 bài: Ứng dụng của tích phân trong hình học
- Toán 12: Đề kiểm tra học kì 2 dạng trắc nghiệm (Đề 5)
- Giải bài 4: Hàm số mũ. Hàm số Lôgarit
- Dạng 2: Tìm điều kiện của tham số để hàm số bậc 3 đồng biến trên tập số thực.
- Giải câu 5 bài 3: Giá trị lớn nhất và giá trị nhỏ nhất của hàm số
- Giải bài 2: Hàm số lũy thừa
- Dạng 2: Dùng tính đơn điệu để chứng minh bất đẳng thức chứa mũ và lôgarit
- Giải bài 2: Tích phân
- Giải bài 2: Cực trị của hàm số
- Giải câu 5 bài 1: Sự đồng biến, nghịch biến của hàm số
- Toán 12: Đề kiểm tra học kì 2 dạng trắc nghiệm (Đề 10)
- Giải câu 5 bài: Cộng, trừ và nhân số phức