Trắc nghiệm hóa học 11 bài 35 Benzen và đồng đẳng. Một số hidrocacbon thơm khác
Bài có đáp án. Câu hỏi và bài tập Trắc nghiệm hóa học 11 bài 35 Benzen và đồng đẳng. Một số hidrocacbon thơm khác. Học sinh luyện tập bằng cách chọn đáp án của mình trong từng câu hỏi. Dưới cùng của bài trắc nghiệm, có phần xem kết quả để biết bài làm của mình. Kéo xuống dưới để bắt đầu.
Câu 1: Benzen có tính chất:
- A. Dễ tham gia phản ứng thế, khó tham gia phản ứng cộng và bền với các chất oxi hóa
- B. Khó tham gia phản ứng thế, dễ tham gia phản ứng cộng
- C. Khó thế, khó cộng và bền với các chất oxi hóa
- D. Dễ thế, dễ cộng và bền với các chất oxi hóa
Câu 2: Dãy đồng đẳng của benzen có công thức chung là:
- A. C
H$_{2n+2}$ - B. C
H$_{2n-2}$ - C. C
H$_{2n-4}$ - D. C
H$_{2n- 6}$
Câu 3: Benzen tác dụng với Cl
có ánh sáng, thu được hexancloran. Công thức của hexancloran là
- A. C
H
Cl$_{2}$ - B. C
H
Cl
- C. C
H$_{5}$Cl - D.C
Cl
Câu 4: Chất nào sau đây có khả năng tham gia trùng hợp tạo polime?
- A. benzen
- B. toluen
- C. propan
- D. striren
Câu 5: Toluen có phản ứng thế ở nhân thơm tương tự benzen nhưng khác với benzen ở chỗ:
- A. Phản ứng của toluen xảy ra chậm hơn và chỉ có một sản phẩm duy nhất
- B. Phản ứng của toluen xảy ra chậm hơn và thường có hai sản phẩm
- C. Phản ứng của toluen xảy ra dễ dàng hơn và thường có hai sản phẩm thế vào vị trí ortho và para
- D. Phản ứng của toluen xảy ra nhanh hơn và chỉ có một sản phẩm duy nhất
Câu 6: Hãy chọn một dãy các chất trong số các dãy chất sau để điều chế hợp chất nitrobenzen?
- A. C
H
, dung dịch HNO$_{3}$ đặc - B. C
H
, dung dịch HNO$_{3}$ đặc, dung dịch H$_{2}$SO$_{4}$ đặc - C. C
H$_{8}$, dung dịch HNO$_{3}$ đặc - D. C
H$_{8}$, dung dịch HNO$_{3}$ đặcdung dịch H$_{2}$SO$_{4}$ đặc
Câu 7: Hỗn hợp C
H
và Cl$_{2}$ có tỉ lệ mol 1: 1,5. Trong điều kiện có xúc tác Fe, nhiệt độ, hiệu suất 100%. Sau đó thu được những chất gì? Bao nhiêu mol?
- A. 1 mol C
H$_{5}$Cl; 1 mol HCl; 1 mol C
H$_{4}$Cl$_{2}$ - B. 1,5 mol C
H$_{5}$Cl; 1,5 mol HCl; 0,5 mol C
H$_{4}$Cl$_{2}$ - C. 1 mol C
H$_{5}$Cl; 1,5 mol HCl; 0,5 mol C
H$_{4}$Cl$_{2}$ - D. 0,5 mol C
H$_{5}$Cl; 1,5 mol HCl; 0,5 mol C
H$_{4}$Cl$_{2}$
Câu 8: Trong phản ứng ankyl hóa benzen dưới đây, sản phẩm thu được có thể là chất nào?
C
H
+ R-Cl $\overset{AlCl_{3}, t^{\circ}}{\rightarrow}$ ?
- A. Monoankyl benzen
- B. Điankyl benzen
- C. Triankyl benzen
- D. Cả A, B, C
Câu 9: Khi đốt cháy 1 mol ankyl benzen thì:
- A. n
= n$_{H_{2}O}$ - B. n
= (n+3)n$_{CO_{2}}$ - C. n
< n$_{H_{2}O}$ - D. n
= (n+3)n$_{H_{2}O}$
Câu 10: Benzen, strizen, naphtalen, chất nào bị oxi hóa với thuốc tím?
- A. Cả ba chất
- B. Striren
- C. Naphtalen
- D. Benzen và naphtalen
Câu 11: Cho hỗn hợp A gồm các hơi và khí: 0,3 mol benzen, 0,2 mol striren va 1,4 mol hidro vào một bình kín, có chất xúc tác Ni. Đun nóng bình kín một thời gian, thu được hỗn hợp B gồm các chất: xiclohexan, etyl xclohexan, benzen, etylbenzen, strizen và hidro. Đốt cháy hoàn toàn lượng hỗn hợp B trên, rồi cho hấp thụ hết sản phẩm cháy vào bình đựng dung dịch nước vôi có dư, để hấp thụ hết sản phẩm cháy. Độ tăng khối lượng bình đựng nước vôi là:
- A. 205,4 gam
- B. 149,6 gam
- C. 340 gam
- D. 47 gam
Câu 12: Dãy đồng đẳng của striren có công thức tổng quát là:
- A. C
H$_{2n-6}$ - B. C
H$_{2n-8}$ - C. C
H$_{2n-10}$ - D. C
H$_{2n-6-2k}$
Câu 13: Phản ứng nào sau đây chứng tỏ benzen có tính chất của hidrocacbon không no?
- A. Phản ứng với dung dịch KMnO

- B. Phản ứng với brom khan có mặt bột Fe
- C. Phản ứng với clo chiếu sáng
- D. Phản ứng nitro hóa
Câu 14: Chọn dãy hóa chất phù hợp để điều chế toluen?
- A. C
H$_{5}$Br, Na, CH$_{3}$Br - B. C
H
, AlCl$_{3}$, CH$_{3}$Cl - C. C
H
, Br$_{2}$ khan, CH$_{3}$Br, bột sắt, Na - D. Tất cả đều đúng
Câu 15: Hóa chất để phân biệt: benzen, axetilen, striren là:
- A. Dung dịch Brom
- B. Dung dịch Brom, Dung dịch AgNO
/NH
- C. Dung dịch AgNO

- D. Cu(OH)
, dung dịch AgNO$_{3}$/NH$_{3}$
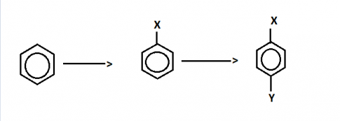
Câu 16: Cho sơ đồ sau:

Các nhóm X, Y phù hợp với sơ đồ trên là:
- A. X(-CH
), Y(-Cl) - B. X(-CH
), Y(-NO$_{2}$) - C. X(-Cl), Y(-CH
) - D. Cả A, B, C đều đúng
Câu 17: Thể tích không khí cần dùng để đốt cháy hoàn toàn 0,1 mol benzen và 0,2 mol striren là ( đo ở đktc):
- A. 84 lít
- B. 61,6 lít
- C. 224 lít
- D. 308 lít
Câu 18: Trong quy trình sản xuất benzen từ hexan, hiệu suất 50%. Để sản xuất 19,5kg benzen cần lượng hexan là:
- A. 1075 kg
- B. 21,5 kg
- C. 43 kg
- D. 19,5 kg
Câu 19: Phản ứng nào dưới đây không tạo thành etylbenzen?
- A. Benzen + etyl bromua

- B. Toluen+ metyl bromua

- C. Benzen + etilen

- D. Strizen + H
\overset{AlCl_{3}}{\rightarrow}$
Câu 20: Benzen có rất nhiều ứng dụng trong thực tế, nó là một hóa chất rất quan trọng trong hóa học, tuy nhiên benzen cũng là một chất khí rất độc. Khí benzen đi vào cơ thể, nhân thơm có thể bị oxi hóa theo những cơ chế phức tạp, và có thể gây nên ung thư. Trước đây, trong các phòng thí nghiệm hữu cơ, vẫn hay dùng benzen làm dung môi, nay để hạn chế những ảnh hưởng do dung môi, người ta tahy benzen bằng toluen vì toluen:
- A. rẻ hơn
- B. không độc
- C. là dung môi tốt hơn
- D. dễ bị oxi hóa thành sản phẩm ít độc hơn
=> Kiến thức Giải bài 35 Benzen và đồng đẳng. Một số hidrocacbon thơm khác sgk Hóa học 11 trang 150