-
Tất cả
-
Tài liệu hay
-
Toán Học
-
Soạn Văn
-
Soạn đầy đủ
- Tiếng Việt 2 tập 2 KNTT
- Tiếng Việt 2 CTST
- Tiếng Việt 2 sách Cánh Diều
- Tiếng Việt 3 tập 2
- Tiếng Việt 3 tập 1
- Tiếng Việt 4 tập 2
- Tiếng Việt 4 tập 1
- Tiếng Việt 5 tập 2
- Tiếng Việt 5 tập 1
- Soạn văn 6
- Soạn văn 7
- Soạn văn 8 tập 1
- Soạn văn 8 tập 2
- Soạn văn 9 tâp 1
- Soạn văn 9 tập 2
- Soạn văn 10 tập 1
- Soạn văn 10 tập 2
- Soạn văn 11
- Soạn văn 12
-
Soạn ngắn gọn
- Soạn văn 12 ngắn gọn tập 1
- Soạn văn 12 ngắn gọn tập 2
- Soạn văn 11 ngắn gọn tập 1
- Soạn văn 11 ngắn gọn tập 2
- Soạn văn 10 ngắn gọn tập 1
- Soạn văn 10 ngắn gọn tập 2
- Soạn văn 9 ngắn gọn tập 1
- Soạn văn 9 ngắn gọn tập 2
- Soạn văn 8 ngắn gọn tập 1
- Soạn văn 8 ngắn gọn tập 2
- Soạn văn 7 ngắn gọn tập 1
- Soạn văn 7 ngắn gọn tập 2
- Ngữ văn VNEN
- Đề thi THPT QG môn Ngữ Văn
-
Soạn đầy đủ
-
Tiếng Anh
-
Vật Lý
-
Hóa Học
-
Sinh Học
-
Lịch Sử
-
Địa Lý
-
GDCD
-
Khoa Học Tự Nhiên
-
Khoa Học Xã Hội
-
Giải bài 1: Lũy thừa
Mở đầu chương 2 giải tích 12 với bài học Lũy thừa.Một kiến thức không quá khó song đòi hỏi các bạn học sinh cần nắm được lý thuyết. Dựa vào cấu trúc SGK toán lớp 12, KhoaHoc sẽ tóm tắt lại hệ thống lý thuyết và hướng dẫn giải các bài tập 1 cách chi tiết, dễ hiểu. Hi vọng rằng, đây sẽ là tài liệu hữu ích giúp các em học tập tốt hơn
A. Tổng hợp kiến thức
I. Khái niệm lũy thừa
1. Khái niệm
Cho n là một số nguyên dương.
Với a là số thực tùy ý, lũy thừa bậc n của a là tích của n thừa số a.

Chú ý: Trong biểu thức
:
- a gọi là cơ số
- n gọi là số mũ
- Với a khác 0, ta có:


- Đặc biệt:
; $0^{-n}$ không có ý nghĩa.
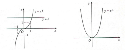
2. Phương trình ![]()

Biện luận số nghiệm của phương trình ![]()
TH n lẻ:
- Với mọi số thực b, phương trình có nghiệm duy nhất.
TH n chẵn:
=> phương trình vô nghiệm.
=> phương trình có một nghiệm $x=0$.
=> phương trình có hai nghiệm trái dấu.
3. Căn bậc n
Cho số thực b và số nguyên dương
. Số a được gọi là căn bậc n của số b nếu $a^{n}=b$.
Ví dụ: ![]()
Khi đó:3 là căn bậc 2 của 9.
Biện luận số nghiệm của phương trình
:
TH n lẻ và ![]()
- Phương trình có duy nhất một căn bậc n của b.
- Ký hiệu:
![\sqrt[n]{b}](https://i.khoahoc.com.vn/data/image/holder.png)
TH n chẵn
=> Không tồn tại căn bậc n của b.
=> Có một căn bậc n của b là số 0.
=> Có hai căn trái dấu, là $\pm\sqrt[n]{b}$.
Các tính chất của căn bậc n:
![]() ![]() |
4. Lũy thừa với số mũ hữu tỉ
Cho số thực a dương và số hữu tỉ
, trong đó $m \in Z$, $n \in N^{*}$. Lũy thừa của a với số mũ r là số $a^{r}$ xác định bởi:
5. Lũy thừa với số mũ vô tỉ
- Ta gọi giới hạn của dãy số
là lũy thừa của a với số mũ $\alpha$. - Ký hiệu:

Chú ý: ![]()
II.Tính chất của lũy thừa với số mũ thực
Cho a, b là những số thực dương;
, $\beta$ là những số thực tùy ý. Khi đó, ta có:
Nếu Nếu |
B. BÀI TẬP VÀ HƯỚNG DẪN GIẢI
Kiến thức thú vị
Câu 1: Trang 55- sgk giải tích 12
Tính:
a) ![]()
b) ![]()
c) ![]()
d) ![]()
Câu 2: Trang 55- sgk giải tích 12
Viết các biểu thức sau dưới dạng lũy thừa với số mũ hữu tỉ:
a) ![]()
b) ![]()
c) ![]()
d) ![]()
Câu 3: Trang 56- sgk giải tích 12
Viết các số sau theo thứ tự tăng dần:
a) ![]()
b) ![]()
Câu 4: Trang 56- sgk giải tích 12
Rút gọn các biểu thức sau:
a) 
b) ![\frac{b^{\frac{1}{5}}(\sqrt[5]{b^{4}}-\sqrt[5]{b^{-1}})}{b^{\frac{2}{3}}(\sqrt[3]{b}-\sqrt[3]{b^{-2}})}](https://i.khoahoc.com.vn/data/image/holder.png)
c) ![\frac{a^{\frac{1}{3}}b^{-\frac{1}{3}}-a^{-\frac{1}{3}}b^{\frac{1}{3}}}{\sqrt[3]{a^{2}}-\sqrt[3]{b^{2}}}](https://i.khoahoc.com.vn/data/image/holder.png)
d) ![\frac{a^{\frac{1}{3}}\sqrt{b}+b^{\frac{1}{3}}\sqrt{a}}{\sqrt[6]{a}+\sqrt[6]{b}}](https://i.khoahoc.com.vn/data/image/holder.png)
Câu 5: Trang 56- sgk giải tích 12
Chứng minh rằng:
a) ![]()
b) ![]()
Phần tham khảo mở rộng
Dạng 1: So sánh các luỹ thừa, căn số
Dạng 2: Bài toán lãi kép
- Toán 12 Chương 1: Ứng dụng đạo hàm để khảo sát và vẽ đồ thị của hàm số
- Chương 2: Hàm số lũy thừa. Hàm số mũ và hàm số Lôgarit
- Chương 3: Nguyên hàm. Tích phân và ứng dụng
- Chương 4: Số phức
-
Chuyên đề ôn tập Toán 12
- Ôn tập thi THPT quốc gia môn Toán chuyên đề SỐ PHỨC
- Một số công thức và phương pháp tính nhanh trắc nghiệm- Chuyên đề HÀM SỐ
- Thơ hay để nhớ công thức tính đạo hàm của hàm số
- Chuyên đề một số công thức tính nhanh bán kính mặt cầu ngoại tiếp hình chóp
- Một số phương pháp để học tốt hình học không gian
- Phát triển từ đề thi minh họa THPT Quốc gia lần 3 môn Toán
- Chuyên đề đồ thị hàm số chứa dấu trị tuyệt đối
- Hình học 12
- Chương 1: Khối đa diện
- Chương 2: Mặt nón. Mặt trụ. Mặt cầu
- Chương 3: Phương pháp tọa độ trong không gian
-
Đề luyện thi 12
- Đề thi thử THPT quốc gia môn toán năm 2017 của trường THPT chuyên- ĐH Vinh lần 3
- Đề thi thử THPT quốc gia môn toán năm 2017 của trường THPT chuyên Thái Bình lần 4
- Đề thi thử THPT quốc gia môn toán năm 2017 của trường THPT Hà Huy Tập lần 1
- Đề thi thử THPT quốc gia môn toán năm 2017- Đề tham khảo số 3
- Đề thi khảo sát chất lượng môn toán năm 2017- Sở giáo dục đào tạo Thanh Hóa
- Đề thi minh họa THPT Quốc gia năm 2017 của Bộ Giáo dục và đào tạo lần 3
- Đề thi thử THPT quốc gia môn toán năm 2017 của GSTT
- Đề thi thử THPT quốc gia môn toán năm 2017- Đề tham khảo số 5