Giải câu 3 bài 5: Khảo sát sự biến thiên và vẽ đồ thị của hàm số
Câu 3: Trang 43 - sgk giải tích 12
Khảo sát sự biến thiên và vẽ đồ thị các hàm số phân thức:
a) ![]()
b) ![]()
c) ![]()
Bài làm:
a)
- Tập xác định: D = R \ {1}
- Sự biến thiên:

=> Hàm số nghịch biến trên (-∞; 1) và (1; +∞).
- Cực trị: Hàm số không có cực trị.
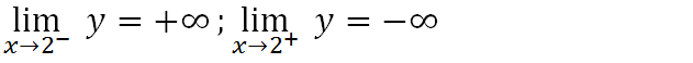
- Tiệm cận:

=> x = 1 là tiệm cận đứng.

=> y = 1 là tiệm cận ngang.
- Bảng biến thiên:

- Đồ thị:

b)
- Tập xác định: D = R \ {2}
- Sự biến thiên:

=> Hàm số đồng biến trên (-∞; 2) và (2; +∞).
- Cực trị: Hàm số không có cực trị.
- Tiệm cận:

=> x = 2 là tiệm cận đứng.

=> y = -1 là tiệm cận ngang.
- Bảng biến thiên:

- Đồ thị:

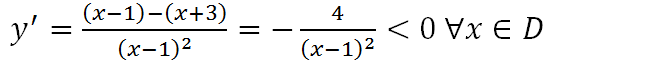
c)
- Tập xác định: D = R \ {
} - Sự biến thiên:

=> Hàm số nghịch biến trên (-∞;
) và (
; +∞).
- Cực trị: Hàm số không có cực trị.
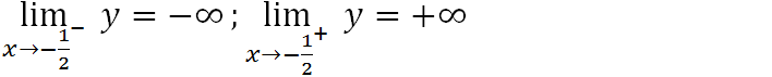
- Tiệm cận:

=>
là tiệm cận đứng.

=>
là tiệm cận ngang.
- Bảng biến thiên:

- Đồ thị:

Xem thêm bài viết khác
- Giải câu 5 bài 1: Sự đồng biến, nghịch biến của hàm số
- Tìm điều kiện của tham số để hàm số thoả mãn một điều kiện nào đó về số lượng các điểm cực trị (cực đại, cực tiểu).
- Giải câu 4 bài: Nguyên hàm
- Dạng 3: Tính tích phân bằng phương pháp đưa về các phân thức có mẫu số là biểu thức bình phương
- Dạng 1: Giải bất phương trình mũ và lôgarit bằng phương pháp đặt ẩn phụ
- Giải câu 1 bài: Tích phân
- Dạng 2: Giải bất phương trình mũ và lôgarit bằng phương pháp lôgarit hai vế
- Giải câu 1 bài 2: Cực trị của hàm số
- Giải bài 3: Giá trị lớn nhất và giá trị nhỏ nhất của hàm số
- Dạng 3: Tìm điều kiện của tham số để hàm số đồng biến trên một khoảng
- Giải câu 5 bài: Tích phân
- Giải câu 4 bài: Phương trình mũ. Phương trình Lôgarit