Đề thi thử THPT Quốc gia 2022 môn Toán Phan Đình Phùng - Quảng Bình Đề thi thử THPT Quốc gia 2022 - có đáp án
Đề thi thử THPT Quốc gia 2022 môn Toán trường THPT Phan Đình Phùng - Quảng Bình được Khoahoc sưu tầm và đăng tải. Đề thi gồm 50 câu hỏi trắc nghiệm kèm theo đáp án, với thời gian thi là 90 phút để các em ôn tập, so sánh đáp án. Để tìm hiểu chi tiết đề thi, các em tham khảo dưới đây nhé
- Đề thi thử THPT Quốc gia 2022 môn Toán Trường THPT Nho Quan A
- Lịch thi tốt nghiệp THPT năm 2022
- Đề thi thử THPT Quốc gia 2022 môn Toán Sở GD&ĐT Hà Nội
Đề thi thử THPT Quốc gia 2022 môn Toán Phan Đình Phùng
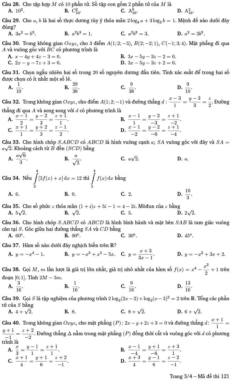
Đề thi thử THPT quốc gia 2022 môn Toán mã đề 121




Đáp án đề thi thử THPT quốc gia 2022 môn Toán mã đề 121
Đáp án mã đề 121
| Câu | Đ/a | Câu | Đ/a | Câu | Đ/a | Câu | Đ/a | Câu | Đ/a |
|---|---|---|---|---|---|---|---|---|---|
| 1 | D | 11 | A | 21 | A | 31 | B | 41 | A |
| 2 | A | 12 | A | 22 | B | 32 | D | 42 | A |
| 3 | A | 13 | D | 23 | D | 33 | A | 43 | C |
| 4 | D | 14 | C | 24 | D | 34 | C | 44 | B |
| 5 | A | 15 | B | 25 | B | 35 | C | 45 | A |
| 6 | D | 16 | A | 26 | B | 36 | D | 46 | A |
| 7 | C | 17 | C | 27 | B | 37 | B | 47 | D |
| 8 | A | 18 | C | 28 | A | 38 | A | 48 | B |
| 9 | B | 19 | D | 29 | A | 39 | A | 49 | D |
| 10 | C | 20 | B | 30 | D | 40 | D | 50 | A |
Đề thi thử THPT Quốc gia 2022 môn Toán trường THPT Phan Đình Phùng - Quảng Bình được Khoahoc chia sẻ trên đây. Hy vọng với đề thi này sẽ là tài liệu hữu ích trong quá trình các em ôn tập, chuẩn bị cho kì thi tốt nghiệp THPT sắp tới. Ngoài ra các em có thể tham khảo thêm các tài liệu khác tại tài liệu học tập lớp 12 này nhé
Xem thêm bài viết khác
- Nghị luận về tầm quan trọng của việc học Văn mẫu 12
- Lịch nghỉ hè của học sinh, giáo viên 2022 Lịch nghỉ hè 2022 của học sinh cả nước
- Để nâng cao hiệu quả của việc bảo mật, ta cần phải Trắc nghiệm Tin học 12
- Đề thi thử THPT Quốc gia 2022 môn Toán Trần Quốc Tuấn – Quảng Ngãi (lần 1) Đề thi thử THPT Quốc gia 2022 - có đáp án
- Đóng bảo hiểm gần 20 năm có được hưởng lương hưu không? Đóng BHXH 20 năm có nhận được lương hưu
- Cách chèn dấu tích vào ô vuông trong Word cực đơn giản Tin học lớp 10
- Điều kiện nâng hạng tiêu chuẩn chức danh nghề nghiệp giáo viên tiểu học Tiêu chuẩn chức danh giáo viên tiểu học
- Mức lương cơ sở và mức lương tối thiểu vùng khác nhau như nào? Phân biệt lương cơ sở và lương tối thiểu
- Anh (chị) hãy viết một sáng kiến kinh nghiệm nhằm phát triển văn hóa đọc cho cộng đồng Đáp án Đại sứ văn hóa đọc 2022 đề 2
Chủ đề liên quan