Đề thi thử THPT Quốc gia 2022 môn Toán Chuyên Lam Sơn - Thanh Hóa (lần 1) Đề thi thử THPT Quốc gia 2022 - có đáp án
Đề thi thử THPT Quốc gia 2022 môn Toán Chuyên Lam Sơn - Thanh Hóa (lần 1) được Khoahoc sưu tầm và đăng tải. Đề thi kèm theo đáp án chi tiết để các em ôn tập, củng cố kiến thức, đạt điểm cao trong kì thi tốt nghiệp THPT sắp tới. Dưới đây là nội dung đề thi, các em tham khảo nhé.
- Đề thi thử THPT Quốc gia 2022 môn Toán Trần Phú - Vĩnh Phúc (lần 2)
- Đề thi thử THPT Quốc gia 2022 môn Toán trường THPT Phan Đình Phùng - Quảng Bình
Đề thi thử THPT Quốc gia 2022 môn Toán
Đề thi thử THPT Quốc gia 2022 môn Toán Chuyên Lam Sơn lần 1






Đáp án đề thi thử toán 2022 lần 1 chuyên Lam Sơn
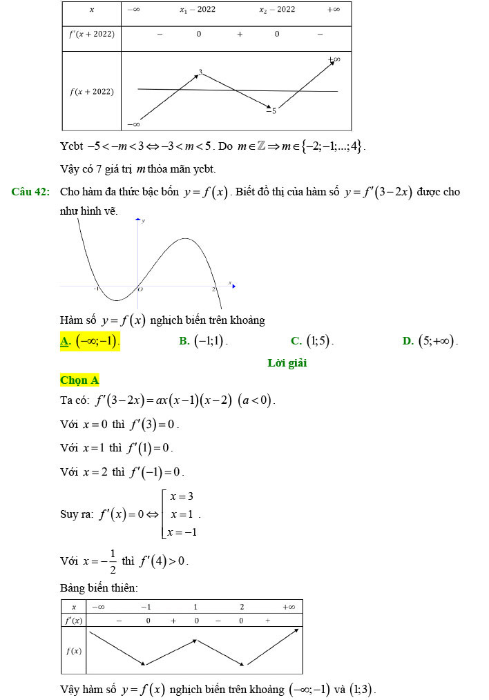
| Đ/a | Câu | Đ/a | Câu | Đ/a | Câu | Đ/a | Câu | Đ/a |
|---|---|---|---|---|---|---|---|---|
| A | 11 | B | 21 | C | 31 | A | 41 | D |
| C | 12 | C | 22 | B | 32 | B | 42 | A |
| A | 13 | A | 23 | B | 33 | D | 43 | C |
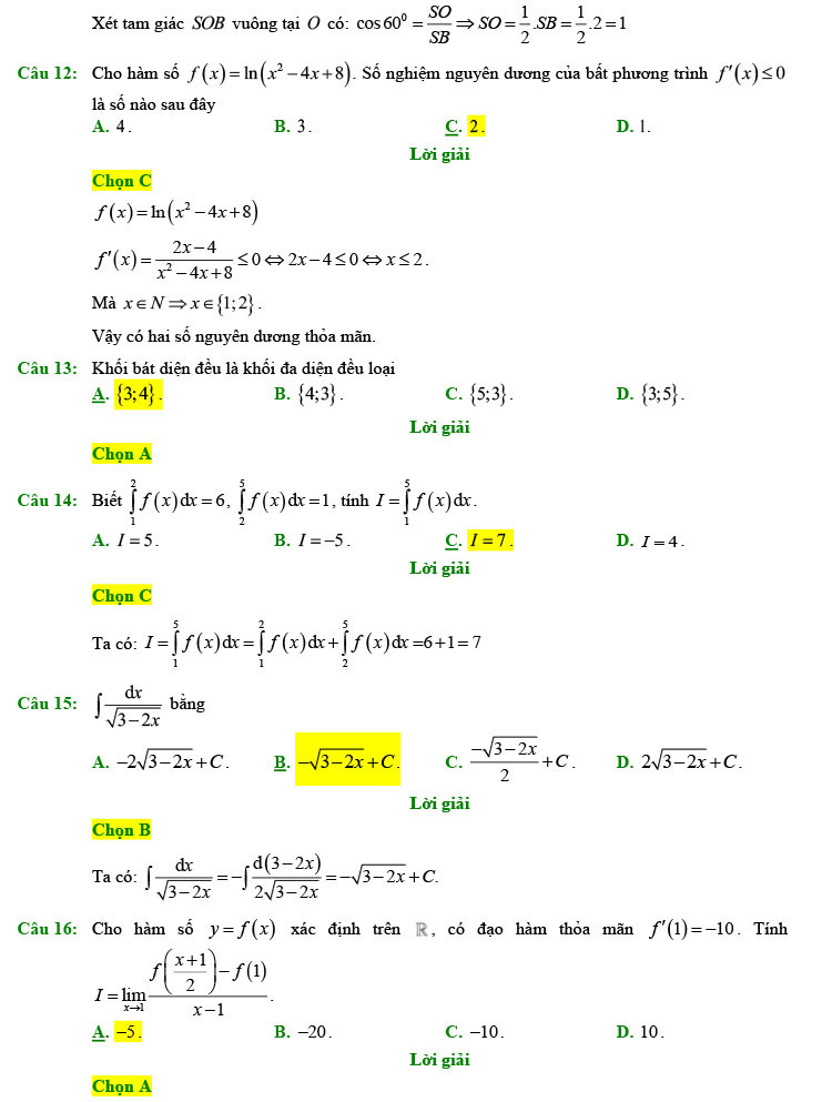
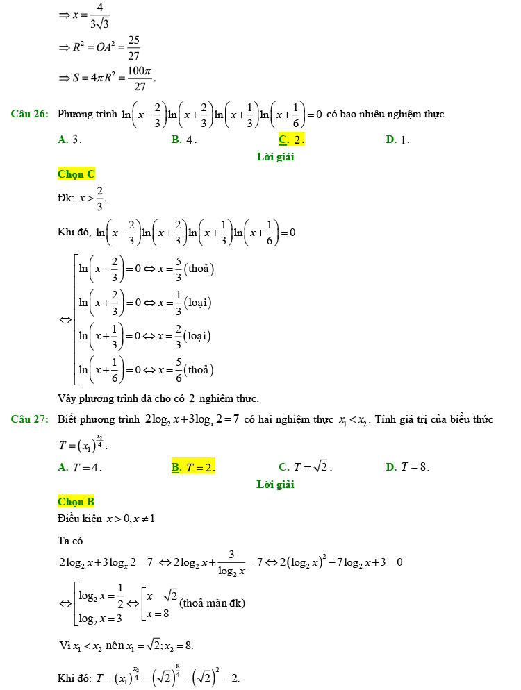
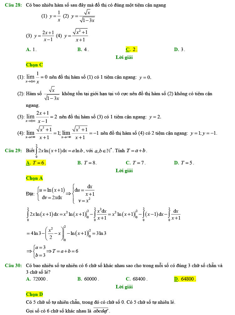
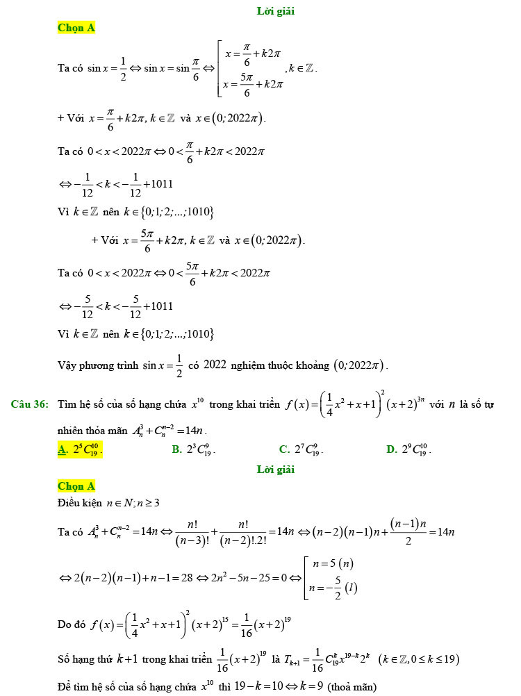
| C | 14 | C | 24 | A | 34 | D | 44 | A |
| A | 15 | B | 25 | C | 35 | D | 45 | D |
| B | 16 | A | 26 | C | 36 | A | 46 | D |
| D | 17 | D | 27 | B | 37 | B | 47 | C |
| C | 18 | C | 28 | C | 38 | D | 48 | B |
| B | 19 | D | 29 | A | 39 | A | 49 | B |
| D | 20 | D | 30 | D | 40 | A | 50 | A |
Đáp án chi tiết đề thi thử toán 2022 lần 1 chuyên Lam Sơn

























- Đề thi thử THPT Quốc gia 2022 môn Toán Trường THPT Nho Quan A
- Lịch thi tốt nghiệp THPT năm 2022
- Đề thi thử THPT Quốc gia 2022 môn Toán Sở GD&ĐT Hà Nội
- Đề thi thử THPT Quốc gia 2022 môn Toán Lương Tài 2 - Bắc Ninh (lần 3)
- Đề thi thử THPT Quốc gia 2022 môn Toán Lê Lai - Thanh Hóa (lần 3)
Đề thi thử THPT Quốc gia 2022 môn Toán Chuyên Lam Sơn - Thanh Hóa (lần 1) được Khoahoc chia sẻ trên đây. Hy vọng với tài liệu này sẽ giúp ích cho các em có thêm tài liệu tham khảo, củng cố kiến thức, chuẩn bị tốt cho kì thi tốt nghiệp THPT sắp tới. Ngoài ra các em có thể tham khảo thêm các tài liệu khác tại tài liệu học tập lớp 12 này nhé
Xem thêm bài viết khác
- Để nâng cao hiệu quả của việc bảo mật, ta cần phải Trắc nghiệm Tin học 12
- Đề thi thử THPT Quốc gia 2022 môn Toán Sở GD&ĐT Hà Nội Đề thi thử THPT Quốc gia 2022
- Giải bài 39 Địa lí 12 Vấn đề khai thác lãnh thổ theo chiều sâu ở Đông Nam Bộ Địa lý lớp 12
- Lấy ví dụ chứng minh rằng sự phát triển tổng hợp kinh tế biển có thể làm thay đổi mạnh mẽ bộ mặt kinh tế của vùng. Thử nêu một số phương hướng khai thác tổng hợp tài nguyên biển và thềm lục địa? Địa lý lớp 12
- Giải bài 16 Vật lí 12: Truyền tải điện năng – Máy biến áp Vật lý 12
- Máy biến áp là gì? Nêu cấu tạo và nguyên tắc làm việc của máy biến áp Vật lý lớp 12
- Hoàn cảnh ra đời Hồn Trương Ba da hàng thịt Tác phẩm Hồn Trương Ba da hàng thịt
Chủ đề liên quan