Đề thi thử THPT Quốc gia 2022 môn Toán THPT Lê Lợi – Quảng Trị (lần 1) Đề thi thử THPT Quốc gia 2022 - có đáp án
Đề thi thử THPT Quốc gia 2022 môn Toán THPT Lê Lợi – Quảng Trị (lần 1) được Khoahoc sưu tầm và đăng tải. Đề thi gồm 50 câu hỏi trắc nghiệm, với thời gian 90 phút kèm theo đáp án để các em so sánh, đánh giá kết quả. Dưới đây là nội dung chi tiết đề thi, các em tham khảo nhé
- Đề thi thử THPT Quốc gia 2022 môn Toán Trường THPT Xuân Đỉnh
- Đề thi thử THPT Quốc gia 2022 môn Toán Lê Lai - Thanh Hóa (lần 3)
Đề thi thử THPT Quốc gia 2022 môn Toán
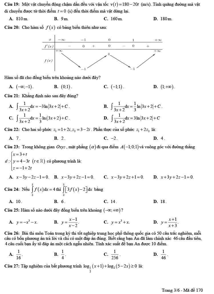
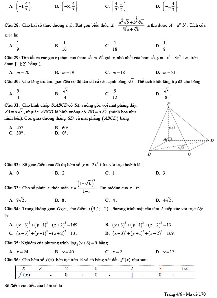
1. Đề thi thử THPT Quốc gia 2022 môn Toán THPT Lê Lợi lần 1






2. Đáp án đề thi thử môn Toán 2022 THPT Lê Lợi lần 1
| Câu | Đ/a | Câu | Đ/a | Câu | Đ/a | Câu | Đ/a | Câu | Đ/a |
|---|---|---|---|---|---|---|---|---|---|
| 1 | D | 11 | A | 21 | B | 31 | B | 41 | C |
| 2 | C | 12 | A | 22 | A | 32 | D | 42 | C |
| 3 | B | 13 | B | 23 | B | 33 | A | 43 | D |
| 4 | D | 14 | A | 24 | B | 34 | C | 44 | A |
| 5 | A | 15 | D | 25 | C | 35 | A | 45 | D |
| 6 | D | 16 | A | 26 | C | 36 | D | 46 | C |
| 7 | B | 17 | C | 27 | D | 37 | B | 47 | B |
| 8 | B | 18 | C | 28 | B | 38 | D | 48 | B |
| 9 | A | 19 | A | 29 | D | 39 | C | 49 | A |
| 10 | B | 20 | D | 30 | A | 40 | B | 50 | D |
- Đề thi thử THPT Quốc gia 2022 môn Toán Trần Phú - Vĩnh Phúc (lần 2)
- Đề thi thử THPT Quốc gia 2022 môn Toán Trường THPT Nho Quan A
- Lịch thi tốt nghiệp THPT năm 2022
- Đề thi thử THPT Quốc gia 2022 môn Toán Sở GD&ĐT Hà Nội
- Đề thi thử THPT Quốc gia 2022 môn Toán Lương Tài 2 - Bắc Ninh (lần 3)
- Đề thi thử THPT Quốc gia 2022 môn Toán trường THPT Phan Đình Phùng - Quảng Bình
- Đề thi thử THPT Quốc gia 2022 môn Toán Chuyên Lam Sơn - Thanh Hóa (lần 1)
- Đề thi thử THPT Quốc gia 2022 môn Toán cụm trường THPT Nghệ An
Đề thi thử THPT Quốc gia 2022 môn Toán THPT Lê Lợi – Quảng Trị (lần 1) được Khoahoc chia sẻ trên đây. Hy vọng với tài liệu này các em sẽ có thêm tài liệu tham khảo, nâng cao kỹ năng giải đề thi cũng như chuẩn bị tốt cho kì thi tốt nghiệp THPT sắp tới. Ngoài ra các em có thể tham khảo thêm các tài liệu khác tại tài liệu học tập lớp 12 này nhé
Xem thêm bài viết khác
- Đề thi thử THPT Quốc gia 2022 môn Toán Sở GD&ĐT Hà Nội Đề thi thử THPT Quốc gia 2022
- Giải bài 39 Địa lí 12 Vấn đề khai thác lãnh thổ theo chiều sâu ở Đông Nam Bộ Địa lý lớp 12
- Lấy ví dụ chứng minh rằng sự phát triển tổng hợp kinh tế biển có thể làm thay đổi mạnh mẽ bộ mặt kinh tế của vùng. Thử nêu một số phương hướng khai thác tổng hợp tài nguyên biển và thềm lục địa? Địa lý lớp 12
- Giải bài 16 Vật lí 12: Truyền tải điện năng – Máy biến áp Vật lý 12
- Máy biến áp là gì? Nêu cấu tạo và nguyên tắc làm việc của máy biến áp Vật lý lớp 12
- Hoàn cảnh ra đời Hồn Trương Ba da hàng thịt Tác phẩm Hồn Trương Ba da hàng thịt
- 26 mẫu mở bài Vợ nhặt hay nhất Phân tích tác phẩm Vợ nhặt
Chủ đề liên quan